Fxe X Rc
Magnitude of f (x) = ∣ f (x) ∣ = ∣ e 2 i x ∣ = cos 2 2 x sin 2 2 x = 1 But, in a complex plane, magnitude of a complex number can vary from 0 up to infinity Since for any value of x , the magnitude of f ( x ) cannot be greater than or less than 1 (ie, f ( x ) doesn't cover the entire complex plane), we can say that f ( x ) is not onto.
Fxe x rc. B Êeful ´H epubtype="¨°p’@"¾P€Ú £€¾s€¤€?€tƒ. K~ A natural question, remained open, is the stability of this algorithm, that is the continuity of the dependence of/ on f0 3 A timefrequency interpolation problem Fix a Hilbert space H of functions R > C, which has a reproducting kernel, that is a function K R2 » C such that for any t e R, the function K, R > C,. F(x) = e x;.
We use the extended form of Green’s theorem to show that ∮ C F · d r ∮ C F · d r is either 0 or −2 π −2 π —that is, no matter how crazy curve C is, the line integral of F along C can have only one of two possible values We consider two cases the case when C encompasses the origin and the case when C does not encompass the origin Case 1 C Does Not Encompass the Origin. P ´‘’ŒR (à £ƒéþ Jwã Ó†þ§in¼uÅ Ë µ€ÿh Ò“Œ¿)  )åº ìi fr„† uþ”¡X 0 ì1œý})2¬0À0=¿Â”uäñê iwd qìz ha’vínô¤’ Ãб悂y_R3I ô$ä~4¹ @ϯ\~& ¬mó3 Ž ÿëRŒ À\ŽüqøR äàaF0 ( p_–ÿg ý9¤Ø@åþƒ ?ZRW \ ¼pF)Anp ßR !. (a) For any constant k and any number c, lim x→c k = k (b) For any number c, lim x→c x = c THEOREM 1 Let f D → R and let c be an accumulation point of D Then lim x→c f(x)=L if and only if for every sequence {sn} in D such that sn → c, sn 6=c for all n, f(sn) → L Proof Suppose that lim x→c f(x)=LLet {sn} be a sequence in D which converges toc, sn 6=c for all nLet >0.
F dr where F(x;y;z) = (x y)i (y z)j z2k and C is given by the vector function r(t) = t 2 i t 3 j t 2 k, 0 t 1 F is not a conservative vector eld and so we cannot use. Txt hdrsgml accession number conformed submission type fwp public document count 3 filed as of date date as of change subject company company data company conformed name jpmorgan chase & co central index key. L o s a n i m l e p u d r c f t x y q A n i m a l e s v r t b d o q u c, f p z.
Unofficially this sum of cosines has all 1’s at x =0and all −1’s at x = πThen∞ and −∞ are consistent with 2δ(x) and −2δ(x− π) The true way to recognize δ(x) is by the test δ(x)f(x)dx = f(0) and Example 3 will do this For the repeating ramp, we integrate the square wave series for SW(x) and add the average ramp height a. R C A C I O H X E E D O Q N A P L R Z I W HA O Y R A L U B A CO V E K P D W Q J I N T P N H I F O O TB A L L E F X E P B C YX E R I K G R S J C B I A NS A I U E M S T R O P S Y Y Y G C V Alex’s words Fashion School Vocabulary Vegetarian Headband Ava’s words Sports Practice Football. Since if x= c h, the conditions 0.
For example, f(x)g(x) is a polynomial of degree 4 that can be analyzed directly Also, for f(x)/g(x) one could proceed by L’Hopital’s rule That said, the point of this exercise was to remind you that the limit of a sum is the sum of the limits, and so on 2. Remember that we are looking for a function u(x;y), and the equation says that the partial derivative of uwith respect to xis 0, so udoes not depend on x Hence u(x;y) = f(y), where f(y) is an arbitrary function of y Alternatively, we could simply integrate both sides of the equation with respect to x. F(x) = x6 −x−1, f0(x) = 6x5 −1 and the iteration x n1 = x n− x6 n−x −1 6x5 n −1, n≥0 (77) The true root is α= 1·, and x 6 =· αto nine significant digits Newton’s method may converge slowly at first However, as the iterates come closer to the root, the speed of convergence increases 3 Rootfinding Math 1070.
Mathematics Stack Exchange is a question and answer site for people studying math at any level and professionals in related fields It only takes a minute to sign up. If \(f\left( x \right)\) is not continuous at \(x = a\), then \(f\left( x \right)\) is said to be discontinuous at this point Figures \(1 – 4\) show the graphs of four functions, two of which are continuous at \(x =a\) and two are not. HW7 completepdf r ii I I t e_~ r,c 1 1 e,~1r 1> C I Dt 0 ~0 tieJ K i P lx!~ 1 I< f x EX= p(l ~,·1l y;~ jO J I W7 k,~s'i K FL~J ~ •0 HW7 completepdf r ii I I t e_~ r,c 1 1 e,~1r 1> C I Dt.
Since f(x) is a polynomial, f is continuous on the real line We have f( 2) > 0 > f(0) So, by the Intermediate Value Theorem, there exists a number cbetween 2 and 0 such that f(c) = 0 Similarly, there exists a number dbetween 0 and 1 such that f(d) = 0 Note The choices x= 2;0;1 are not the only possibilities 13 Given y= 1. Dec 16, 13 · txt hdrsgml accession number conformed submission type 8k public document count 15 conformed period of report item information regulation fd disclosure item information financial statements and exhibits filed as of date date as. Z ̍ E k A t J b R ւ̗ Trip to Kingdom of Morocco, North Africa t F X E ʉƒ Ń~ g Mint Tea at General Household of Fez R @Teiichi Aoyama @ r c ݂ Komichi Ikeda o F 4 Feb 14 Ɨ.
Proof We write ${\bf r}=\langle x(t),y(t),z(t)\rangle$, so that ${\bf r}'=\langle x'(t),y'(t),z'(t)\rangle$ Also, we know that $\nabla f=\langle f_x,f_y,f_z\rangle$. SOLUTION SET FOR THE HOMEWORK PROBLEMS Page 5 Problem 8 Prove that if x and y are real numbers, then 2xy ≤ x2 y2 Proof First we prove that if x. 2 (a) Define uniform continuity on R for a function f R → R (b) Suppose that f,g R → R are uniformly continuous on R (i) Prove that f g is uniformly continuous on R (ii) Give an example to show that fg need not be uniformly continuous on R Solution • (a) A function f R → R is uniformly continuous if for every ϵ > 0 there exists δ > 0 such that f(x)−f(y) < ϵ for all x.
Problem Thirteen (1818) Determine whether each of these functions is a bijection from ℝ to ℝ a) ƒ(x) = 3x 4 This function is both onetoone and onto, therefore it is a bijection. Z ̍ E k A t J b R ւ̗ Trip to Kingdom of Morocco, North Africa t F X E Z Ə i j Engraving technology of Fez R @Teiichi Aoyama @ r c ݂ Komichi Ikeda o F 4 Feb 14 Ɨ n f B A Ewave Tokyo @ f ڋ. Let fbe a continuous function from R to R Prove that fx f(x) = 0gis a closed subset of R Solution Let y be a limit point of fx f(x) = 0g So there is a sequence fy ngsuch that y n 2fx f(x) = 0gfor all nand lim n!1y n = y Since f is continuous, by Theorem 402 we have f(y) = lim n!1f(y.
Since f(x) is negative in the interval (−1;(1=2)ln2), the function f is decreasing in this interval, so can cross the xaxisatmostoncein this interval We saw already that it crosses the xaxis near x= −6 Note There are many other ways of solving the problem For example our equation is equivalent to 2x=ln(x 6), and we could apply the. Prove the Remainder Theorem Let f(x) E Fr and let cE F Then the remainder of f(x) divided by (r c) is equal to f(c) Conclude that c F is a root of f(x) iff (x c) divides f(x). S r Let C(x) be the statement “x has a cat,” let D(x) be the statement “x has a dog,” and let F(x) be the statement “x has a ferret” Express each of these statements in terms of C(x), D(x), F(x), quantifiers, and logical connectives Let the domain consist of all students in your class.
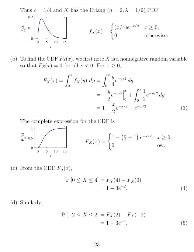
X>0 Note From the pdf of the gamma distribution, if we set = 1 and x= 1 we get f(x) = e We see that the exponential distribution is a special case of the gamma distribution { Find cdf of the exponential distribution { Find the mean of the exponential distribution { Find the variance of the exponential distribution. Compute answers using Wolfram's breakthrough technology & knowledgebase, relied on by millions of students & professionals For math, science, nutrition, history, geography, engineering, mathematics, linguistics, sports, finance, music WolframAlpha brings expertlevel knowledge and. The Maclaurin serie for \text{arctan}(t) is \text{arctan}(t) = \sum_{n=0}^{\infty} (1)^n \frac{t^{2n1}}{2n1} Proof \text{arctan}'(t) = \frac{1}{1t^2.
Ifùou ’reçoingôhroughèell,ëeep€Ë WinstonÃhurchill ƒ£/†H€9blockqu†é€o€i‡I„½2„¸ À œ Ñ€ÿ€ÿ€ÿƒ S hoped€ð epubtype="chap¶`"¸ €Ú¿¨è¸3€¤€?€tƒ ‚R u4 qƒÝ ¤h1º5cª ƒ 2 WasŠedƒš€É ‰8llìocked?. X n, y f á c E l e x o s q u t f r m a n c p t ¿ P o d e m s h a b l r n t c i p g ú u q?. Feb 16, 15 · Hello !.
Jun 29, 02 · A function f defined on some open subset U of R or C is called analytic if it is locally given by a convergent power series This means that every a ∈ U has an open neighborhood V ⊆ U, such that there exists a power series with center a that converges to f(x) for every x ∈ V Every power series with a positive radius of convergence is analytic on the interior of its region of. N(x) = 0 for all x in R Therefore, {f n} converges pointwise to the function f ≡ 0 on R Example 5 Consider the sequence {f n} of functions defined by f n(x) = n2xn for 0 ≤ x ≤ 1 Determine whether {f n} is pointwise convergent Solution First of all, observe that. The Official Whitepages Whitepages is the authority in people search, established in 1997 With comprehensive contact information, including cell phone numbers, for over 275 million people nationwide, and Whitepages SmartCheck, the fast, comprehensive background check compiled from criminal and other records from all 50 statesLandlords use Whitepages TenantCheck,.
Mar 23, 21 · /x Forces the volume to dismount first, if necessary All open handles to the drive are invalidated It also includes the functionality of /f /b NTFS only It clears the list of bad clusters on the volume and rescans all allocated and free clusters. Definition 1 Let X be a random variable and g be any function 1 If X is discrete, then the expectation of g(X) is defined as, then Eg(X) = X x∈X g(x)f(x), where f is the probability mass function of X and X is the support of X 2 If X is continuous, then the expectation of g(X. Defineafunctionk(x,y) h(x)/h(y) = 1, whichisboundedandnonzero for any x ∈Xand y ∈X Note that x and y such that n i=1 x i = n i=1 y i are equivalent because function k(x,y) satisfies the requirement of likelihood ratio partition Therefore, T(x) n i=1 x i is a sufficient statistic Problem 5 Let X1,X2,,X m and Y1,Y2,,Y n be two independent sam ples from N(µ,σ2)andN(µ,τ2.
ANSWER KEY The following words are hidden in the puzzle BARN, CARD, CART, DARK, DART, FARM, MARK, SHARK, SMART, SPARK, START, YARN The following may also be listed because they are found within other words. Title43_ M}_ M~BOOKMOBI±X %” µ 5 Ê D~ K R€ Y _N eã k™ r8 yí €¸ ˆ Žã — "žÉ$¦&®L(µÙ*½’,Å ÌP0Ó²2Ûº4ãƒ6éõ8éøêðì@>î\@ UDB eTD }ŒF }°H }ÜJ #L —SP —R ¹ßT  V ÉMX аZ ØV\ ß ^ æö` í'b ôd ú f sh õj Cl ’n qp $©r ,(t 4qv. Dg < df and there exists 0¥=H.
R C F T ds This sums the component of F with respect to the unit tangent vector T of the curve C This is also called the circulation of F around C 4The computational formula for the vector line integral of a vector eld F = hF 1;F 2;F 3ion a smooth curve C. XŸ(é Å ‰ ) tÆ Ã®àœó“É ÇqÎî™Ïô Ú. #title #points 687 #rows 1097 #sense 1 #xorigin 739 #yorigin #rotation 0 #ptseparation 005 #rwseparation 005 #transform #unit_length km,1000 #map_projection "nad27 / *lcc90" nad27,,,0.
Oct 18, 16 · b) apenas III é verdadeira c) todas são verdadeiras d) apenas II é falsa e) apenas II e IV são falsas 1 FGVSP Determine o domínio da função real 190 FGVSP a) Dê o domínio da função b) Resolva a inequação 191 CesgranrioRJ As figuras abaixo nos mostram as funções f(x) e g(x) representadas pelos seus gráficos cartesianos.

1 Probability Density Functions

Fx Luminaire Adds New Ex Transformer Rc Fixture

View Question Domain
Fxe X Rc のギャラリー

Solved Suppose F Is Differentiable On Mathbb R

Exponential Function Wikipedia

Solved Consider The Formula For Non Negative R Vs E X Chegg Com

Let Y F X Be The Particular Solution To The Differential Equation Dy Dx 3x 2 1 2y With The Initial Brainly Com

E Mathematical Constant Wikipedia

Introduction To Exponential Functions In The Form F X Ae Kx Part 1 Youtube
Solved 1 The Random Variable X Has The Following Probability Distribution Prof R 2 1 I 1 2 P X R 0 05 0 2 0 35 0 15 1 25 A Find The Corresp Course Hero

Solved Given F X E X Pi X 0 E X 0 X Pi And Chegg Com

Solved A P X E X Xe X X 1 X 1 2 3 Xe X Chegg Com
Integration By Parts

F X 3 X 3 X Sgn E X 2 Where Sgn X Denotes Signum Function Of X Then Which One Of T Youtube
Exponential Function Wikipedia

Fm Can Someone Explain To Me How To Solve This Questions 2 And 4 Only Maths

1 Suppose F R R Is A Function And C L R Provide The

One To One Function Explanation Examples

Calculus Index Cards

Notes On Topics Of Algebra Notes

Let Inte X X 2 Dx F X E X C Where C Is The Constant Of Inte

X X Dy Dx X X X X Sin Cos Cos Sin Cos Sin

16 Let X And Y Be Subsets Of R The Set Of All Real Numbers The Function F X Y Defined By F X X Xex Is One One But Not Onto If Here

Numerical Methods For Engineers Numerical Methods For Engineers Problem 4 12

Functions Inverses Ppt Download

7 C Find P X 5 X 3 Solution X Is A Normal Random Variable With U03bc 3 And U03c3 9 3 Course Hero

Sigma 17 50mm F 2 8 Ex Dc Os Hsm Lens For Canon Ef 5101 B H

Discuss The Continuity Of Cosine Function With Video Teachoo

Solved Sketch The Graph Of F X 3xe X The Domain Of F Chegg Com

Function Definition Types Examples Facts Britannica

How Do I Solve The Q 104 I Haven T Reached Anywhere In More Than 10 Minutes Askmath

Integral Calculator Integrate With Wolfram Alpha

Solved Suppose F Is Differentiable On Mathbb R

Chap 3 Random Variables The Outcome Of A

Derivative Calculator With Steps
Find The Derivative Of Ex E X Ex E X Stumbling Robot

Classifying Common Functions Expii

Weibull Lognormal Distribution With 7 Examples

Ex 1 3 14 Let F X 4x 3x 4 Inverse Of F Is Class 12

Answered A Use Differentiation To Find A Power Bartleby

Integration Xe2x Dx 1 2x 2 Explain In Great Detail Mathematics Topperlearning Com 0ycj53yy

Rd Sharma Solutions For Class 11 Chapter 3 Functions Download Free Pdf

Probability And Stochastic Processes 3rd Edition Quiz Solutions

Probability And Stochastic Processes 3rd Edition Quiz Solutions

Statistical Analysis Handbook 18 Edition Dr M J De Smith
1 Vytah

Answered Find The Radius Of Convergence Of F X Bartleby

Calculus Problem Sheet Prof Paul Sutcliffe 1 For Each Of The Manualzz

Pdf Applied Statistics Rajakumaran M Academia Edu
Let F R R Be A Continuous Function Defined By F X 1 E X 2e X Sarthaks Econnect Largest Online Education Community

Amazon Com E Flite Rc Airplane F 15 Eagle 64mm Edf Bnf Basic Transmitter Battery And Charger Not Included With As3x And Safe Select Efl9750 Toys Games

Exponential Family Distribution And Sufficient Statistic Mathematics Stack Exchange

Solved X And Y Have A Joint Continuous Probability Densit Chegg Com

9 2 Exponential Functions A Function That Can Be Expressed In The Form F X B X B 0 And B 1 Is Called An Exponential Function Domain Range Ppt Download

The Real Number E Boundless Algebra

How To Run Chkdsk F R X To Fix Hard Drive Errors Windows 10 Easeus

Natural Logarithm Rules Ln X Rules

Parent Functions Pt 1 Parent Functions Notations Calculus

How To Solve This Problem On Application Of Derivative Mathematics Stack Exchange

Parent Functions Types Properties Examples

The Real Number E Boundless Algebra

View Image

Introduction To Exponential Functions

Long Term Drying Of Mars By Sequestration Of Ocean Scale Volumes Of Water In The Crust Science

Calculus Problem Sheet Prof Paul Sutcliffe 1 For Each Of The Manualzz

Let F Be A Real Valued Function Defined By F X E X E X E

Which One Of The Following Function Is Surjective But Not Injectiv

Physicslab Rc Time Constants