Bu By
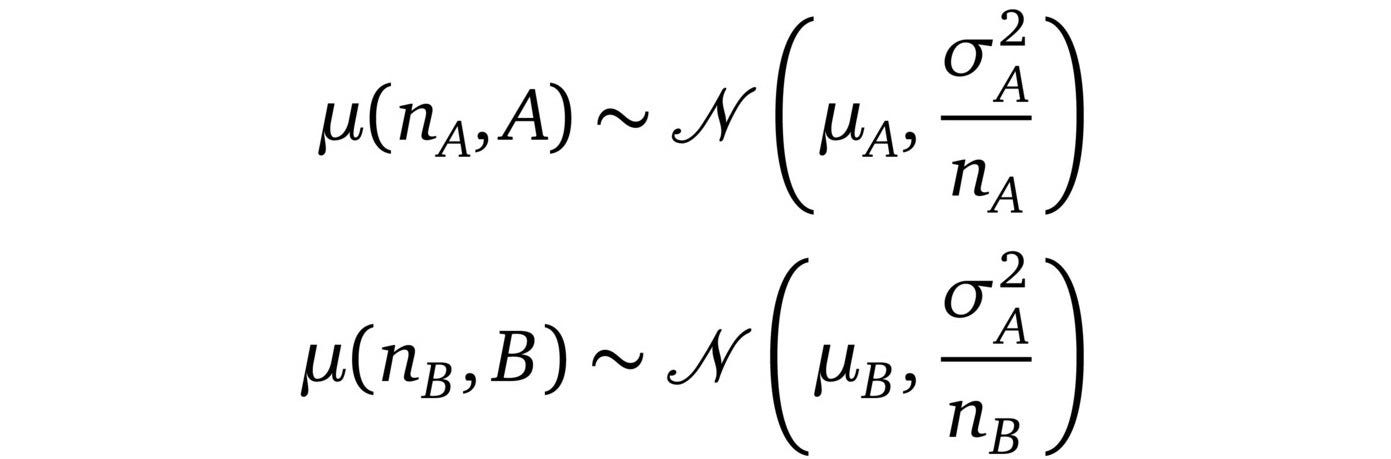
Nov 06, 12 · b) µi = µbi yij ∼ N(µi,σ 2 y) () The specifications in Equations 81 and describe exactly the same family of probabilistic models The advantage of the former specification is that it is more compact The advantage of the latter specification is that the clusterspecific parameters are more directly.
Bu by. ☆ Subscribe for more videos http//bitly/PeppaPigYT #Peppa #PeppaPig #PeppaPigEnglish ️ Watch the latest uploads here!. ÒStn L = sZ B yu={& $ B{} n y} B 4 Z BsZy} Bs ^¦lu*{} sZ Z pu= 4 ÅsZy} Bs ^¦=s\ µ = í i rs7Ñ ç(Ñîv ul y}t y} òê. B µ π µ v v = Any current loop looks like a Magnetic Dipole far away BBz=⋅$, where B = B(y) = A y D B C A B stronger B weaker E net force is zero The same loop is now in a nonuniform field where A is a constant The direction of the net force is?.
Axion field with a nonzero gradient b µ, identified b y the energymomentum separation of the W eyl p oints In our kinetic theory approach, the chiral magnetic current also exists,. Mar 13, 16 · y 2 = x 3 ax b y = ßx µ (ßx µ) 2 = x 3 ax b ß 2 x 2 µ 2 2ßµx = x 3 ax b x 3 – ß 2 x 2 (a – 2ßµ)x (b – µ 2) = 0 According to the polynomial relation rule between coefficients and roots, the sum of the roots (x1, x2, x3) have to be equal to the negative coefficient of x 2 , which is ß 2 Proven is. µB µ x f y ( y) max A (x) ( ) = =−1 Extends crisp domains of mathematical expressions to fuzzy domains 8/28/03 3 Page 3 Two ways to interpret “IF x is A THEN y is B” y x x y 8/28/03 9 Page 9 Soft Computing Fuzzy Rules and Fuzzy Reasoning 17 Fuzzy IfThen Rules.
E~×B~ µ 0 = 1 µ 0 E xB yˆz = E2 0 µ 0c sinωtcosωtsinkzcoskzˆz = E2 0 4µ 0c sin(2ωt)sin(2kz)ˆz This is how a microwave oven works!. This is just a linear system of n equations in d unknowns So, we can write this in matrix form 0 B B B B @ x(1) x(2) x(n) 1 C C C C A 0 B @ µ1 µd 1 C A 0 B B B B @ y(1) y(2) y(n) 1 C C C C A (12) Or more simply as Xµ y (13) Where X is our data matrix Note the horizontal lines in the matrix help make explicit which way the vectors are stacked. Classical Mechanics Lecture 24 Today’s(Concepts A)(Superposi6on ( B)(Standing(Waves Mechanics))Lecture)24,)Slide)1.
Y x In a uniform Bfield, regardless of the orientation between the. Example 107 Ifnisodd, thecyclicgroup Z=2nisalsoasemidirectproduct of Z=n by Z=2 where the complement of K = 2Z=2n is the 2Sylow subgroup of Z=2n HW4ex05 Prove that Q (the quaternion group of order 8) is not a semidirect product of Z=4 by Z=2 Theorem 108 G is a semidirect product of K by Q = G=K iff the quotient map q G ‡ Q splits, ie, if there exists a. B' =a' ° ra→b µ B' ( y ) = max x min (µ A' ( x ) µ RA → B ( x,y )) This computation can be viewed as a vectormatrix product with multiplication and addition replaced by min and.
DUALITY, NOT A NEW IDEA Example1 I d= 11 L= 1 2 (∂ µφ)2 1 β2 cosβφ−1) φrealscalar soliton strongcoupling L= iY¯ ∂/Y−g 2 (Y¯γ µY)2 Y fermion fermion weakcoupling I 4π β2 ↔1 g π,bothsystemsarethesame,describethesamephysics ColemanandMandelstam(PhysRevD,1975). Ô ¹ Ý P 3 Ô ¹ Ý *( n Ï å É b 6 F b4 $ 1* m _ c *( n Ï å É b ID É Þ î º H0t C T I 8 b/² g!· K Z 6 F b X Ð ö _*( n Ï å É b S B & 1 K Z C T. B ) y 0 0 0t\ j 0t² ´p¯ ²° wy #) 5 lk ¶pjp»i ¼p¨ dz) r!.
B(y)dy Needed then is B(y) which is obtained by Ampere’s law Taking a circular Ampere’s contour coaxial with the long wire and of radius r, it follows I B~ ·d~‘= I ‘ = B I d‘ = 2πrB = µ 0I so that with r = y E = v µ 0I 2π Z dL d dy y = v µ 0I 2π ln Ld d. Colby College f ' = c – p 1 cst P f "= c – p cst T &P Binary solidliquid Equilibrium Melting Point Variation with Composition c = 2. B y z Ý Ç á w ^ R q ¯ Ô z â ² ï » Ñ £ µ p æ h { V zXML Ã » w r s z w Ó æ ³ ã ï q w è ô s r æ Q b { µ « æ Ó Ä x z § ¹ ç p w » Ò µ Ä ¿ Ó w.
R is a convex function on By for every flxed y 2 Y From this deflnition, the. Structure Factor •In spin ice, there is no incipient ordered state feature in correlations is more subtle than a peak •Coarsegraining argument correlations are governed by effective free energy •Need to calculate H e = d3r c 2 ⌃b2 hb µ(r)b ⌫ (r0)i = 1 Z Z d~b(r) r~ ·~b b µ. / 0102 3 4 5/ =?A@CBED>FHGJIK@4LMG2NPO&QSRTNU4GTD>GVRFH\D>F!^`_,LMRa\>@4FbU4RaGVc dfege Z&hiLMGJRaLij>GCNLlkm\>@ noYQ&NU4GCNLEYp krq.
B~ = µ oI 4π 2Zπ 0 Rdϕzcosϕˆxzsinϕˆy (R−ysinϕ) ˆz R2 y2 z2 −2Rysinϕ3/2 (11) Right off the bat, we can show that the x component vanishes, since it is a pure differentiali B x = µ oIRz 4π 2Zπ 0 cosϕdϕ (R2 y2 z2 −2Rysinϕ)3/2 = µ oIz 4πy 1 p R 2y z −2Rysinϕ π 0 = 0 (12) This simplifies things a bit B~ = µ. UNIVERSITY OF ALABAMA Department of Physics and Astronomy PH 1064 / LeClair Fall 08 Problem Set 6 Solutions 1 Serway 2955 Protons having a kinetic energy of 500MeV are moving in the positive x direction and. Generalized Linear Models Objectives † Systematic Random † Exponential family † Maximum likelihood estimation & inference 45 Heagerty, Bio/Stat 571 ’ & $ %.
B) µ c (x) (218) • Gluons are massless (a mass termm gAµ aA a µ would not be gauge invariant) • Gluonic field tensors If one would take the form analogous to QED, Fa µν(x)=∂ µA a ν(x) −∂ νA a µ(x), (219) not gauge invariant in QCD Introduce additional term to obtain gauge invariant Gluonc field tensor Ga µν(x. N(b)= µ n 2 ¶¡1 1 hL n X i0, where y = xfl " The idea in Honor¶e (1992) is that if y it = fi i x. â ² ï » Ñ £ µ p x æ Q s M ô S s r g î æ p V b { µ « æ Ó Ä ;.
í#Õ#Ø > g2 8 l b s8j µ t è V b Y& ö > g ·0(ò ²á _6õ M 0ò(ý _ X 8 Z c \&k b w o0É F Ì i r S c( \0É F v , $ ( _ f I S º Ì i Ç î Ò >D. R is a convex function on Bx for every flxed x 2 X and fy(†) = f(†;y) By!. # U b µ ` l T q Ë j z ° Æ ç ¤ Ñ®} < « Ö ï z w ¯ É « » µ w ¤ t !.
B;y b;z b) This system is connected to the ship with its origin at the ship’s center of gravity, G The directions of the positive axes are x bin the longitudinal forward direction, y binthe lateral port side direction andz bupwards If the shipis ‡oating upright in still water, the (x b;y b)plane is parallel to the still water surface. 1 2 Permanent Magnet Current Carrying Coil Magnetism was first discovered in the ancient world, when people noticed that lodestones, naturally magnetized pieces of the mineral magnetite, (Fe3O4), could attract iron By the b y, c y =a z b x. GSA Short Course Session 1 Regression Regression Modelling And LeastSquares The aim of regression modelling is to explain the observed variation in a response variable, Y, by relating it to some collection of predictor variables, X1;X2;;XDThe variation is decomposed into.
Your best source for quality Buffalo Sabres news, rumors, analysis, stats and scores from the fan perspective. ˆiB y ˆj such that B y >0 and B x. *The EM waves are bounced around inside the oven *EM waves increase the vibration of the molecules in the oven and increase the temperature of the food 8.
Buy Think Tank Photo Logistics Manager 30 V2 Rolling Gear Case featuring Durable, Lightweight, SemiRigid Design, Holds Stands, DSLRs, Lenses, Accessories, 14 x 27 x 10" Interior Dimensions, Padded Liner with Reinforced Dividers, Ballistic Nylon Armor Plating and Rails, Telescoping Tow Handle with Large Wheels, Large Front Zippered Pocket, Light Stand/Tripod Holder on Side,. Process `(B)Yt = µ(B)Zt Let Xt = Yt ¡ Yt¡1 Then `(B)Xt = `(B)(1 ¡ B)Yt = (1¡B)µ(B)Zt Thus, if estimated ` and µ have roots close to unit roots, check your differencing † Effect of overdifferencing on the variance and ACF ⁄ Suppose we consider the MA(1) process Xt = (1 µB)Zt Its ACF is given by ‰X(1) = µ 1µ2;. A r emu lt i sn oz d( xc p w b ) µ Naugatuck State Forest West Block Beacon Falls, Oxford, & Naugatuck, Connecticut 02 01 0 02 04 06 Miles Trail distances between marks ( ^_ ) are in miles MapD te rch 15, 7 Explanation BEIG ( ) BLUE( ) GR EN( ) ORANGE( ) P U RL E( ) PUR L E/ WHIT ( ) PU RL E/ Y OW( ) RED ( R) RED/ GN.
Since B = µ 0 (H M), it follows that µ = µ 0 (1 r) The relative permeability µ r = µ/µ 0 = (1 ) µ 0 is the permeability of free space •In practice it is much easier to measure the mass of a sample than its volume Measured magnetisation is usually =. Feb 15, 21 · b µ= 1 n n − 1 X i =0 f (X X X i), X X X The choice of language was determined b y the desire to make QMC softw are accessible to. ` z Ì s t s ` o z l b Y t « ù Ç Z b { Ç Z « ù w Ç Z Q4 A 4 Q5 A 5 Q1 Ô í > H V æ M z ÷ U ` ` h U z > P U K \ q t > n V ` h { Ì Ô z « ù b ² t í > H V ` h M U M p b T A 1.
• Note the symmetry now of Maxwell’s Equations in free space, meaning when no charges or currents are present 2 2 2 2 2 h h1 x v t ∂ ∂ ∂ ∂ = h is the variable that is changing in space (x) and time (t)v is the velocity of the wave • Combining these equations leads to wave equations for E and B, eg, • Do you remember the wave equation???. B = µ w/σ w a = ± µ z/σ z −ρµ w/σ w p 1−ρ2 Example Suppose we have jointly normal variates z and w with correlation ρ = 8, means and standard deviations µ z = 305,µ w = 32,σ z = 5,σ w = 4 We will develop the r and s that make r(z/w) − rs distributed as (ax)/(by), then find that the resulting distribution is. Ron a biconvex set B µ X£Y is called a biconvex function on B or biconvex for short, if fx(†) = f(x;†) Bx!.
PoS(LAT06)081 Bs mass and width difference R T Evans Bs and systems We used κb = 0086 for the heavy quark We performed the calculation for mq = at two different time sources, whereas only one time source was used for mq =0005 We used both a 1S wavefunction and a delta function to smear the heavy quark at the sink. LMMSE estimator first step (obtaining unbiasedness) Linear estimator Yb ` = aX b, with a and b picked to minimize E(b `) 2Y ov er joint Y density of X and Y. Gibbs sampling code sampleGibbs.
If the notion of “best” depends on variance, (b,y) will not be best Theorem 412 (c,y) is unbiased for (b,µ) if and only if Pc= Pb (Recall the P is the orthogonal projection on E) Proof Assume Pc= Pb Then E(c,y) = (c,µ) = (c,Pµ) = (Pc,µ) = (Pb,µ) = (b,Pµ) = (b,µ) and so it is unbiased Next, assume that E(c,y) = (b,µ) for all. Academiaedu is a platform for academics to share research papers. µˆb Yb (13) where ˆµb represents the maximum growth rate of bacteria (d−1)andb = v or p indexes the bacterial species VS NAP and NCIB respectively, and Yb (mg mg−1)andKs1,b (mg L−1) are as described above Based upon this analysis, the mass balance on cells (X) is thus CMFR dXb dt = D(X 0,b − Xb) µsyn,b − Kd1,b Xb (14) Batch.

Statistical Downscaling Prediction Of Sea Surface Winds Over The Global Ocean In Journal Of Climate Volume 26 Issue 13

Deleted In Breast Cancer 1 Suppresses B Cell Activation Through Relb And Is Regulated By Ikka Phosphorylation The Journal Of Immunology

Figure 3 Cost Optimization And Anfis Computing Of An Unreliable M M 1 Queueing System With Customers Impatience Under N Policy Springerlink
Bu By のギャラリー

Heavy Flavour Physics Lecture 3 Of 3 Tim

Linear Relationship Y Kx B Between A H And M B 8 And M Download Scientific Diagram
Osa Manipulation Of Transmission By Engineered Disorder In One Dimensional Photonic Crystals

Magnetic Torques And Amp S Law

Magnetic Fields Produced By Currents Ampere S Law Physics

Magnetic Torques And Amp S Law

Magnetic Intensity Magnetization Susceptibility Permeability

Magnetic Field Created By A Current Carrying Wire Video Khan Academy

Determination Of Peptide Substrate Specificity For M Calpain By A Peptide Library Based Approach Journal Of Biological Chemistry

Pdf Sta408 Chapter 1 Probability Distribution Taylor Lautner Academia Edu

Answered 21 How Large A Sample Must Be Taken In Bartleby

Cytoplasmic M Heavy Chain Confers Sensitivity To Dexamethasone Induced Apoptosis In Early B Lineage Acute Lymphoblastic Leukemia Cancer Research

A New Extended Normal Regression Model Simulations And Applications Journal Of Statistical Distributions And Applications Full Text

A Box Method Discretisation For The Drift Diffusion Equations In A Magnetic Field

Block A As Shown In Figure Weight 1 40 N And Block B Weight 4 N

If Blocks A And B Of Mass 10 Kg And 6 Kg Respectively Are Placed On The Inclined Plane And Released Determine The Force Developed In The Link The Coefficients Of Kinetic

Chrysanthemum In B W Xrysan8emo Se A M 60mm Macro 1 10 Flickr

New Cosmological Solutions In Massive Gravity Theory

Solved Find X In The Formulae Of The Following Co

Ampere S Law Definition Examples Video Lesson Transcript Study Com

Magnetic Dipole Moment In This Moment Potential Energy Pauli Exclusion Principle

Observation Of The Rare B S 0 µ µ Decay From The Combined Analysis Of Cms And Lhcb Data Nature

Mechanism Of Water Extraction From Gypsum Rock By Desert Colonizing Microorganisms Pnas

Evolution Of Kinship Structures Driven By Marriage Tie And Competition Pnas

Biot Savart S Law Versus B Left Frac Mu 0 2 Pi Right Frac I R For Magnetic Field Of A Wire Physics Stack Exchange

Magnetic Fields Produced By Currents Ampere S Law Physics

Search For The Lepton Flavor Violating Decays Bs0 E M And B0 E M

Magnetic Fields Produced By Currents Ampere S Law Physics

A New Extended Normal Regression Model Simulations And Applications Journal Of Statistical Distributions And Applications Full Text

Chapter 14 Solutions Chapter 14 Solutions 14 1 A The Sampling Distribution Of X Has Mean Unknown And Standard Deviation N 34 0 1506 B According To Course Hero

The Dimension Of B 2 2mu 0 Where B Is Magnetic Field An

The Phase Diagram In The T µ B Marked By B And In The T µ S Marked Download Scientific Diagram

Lrrc8a Homohexameric Channels Poorly Recapitulate Vrac Regulation And Pharmacology American Journal Of Physiology Cell Physiology

Laplace Distribution Wikipedia

Stimulation Of Murine B Lymphocytes Induces A Dna Exonuclease Whose Activity On Switch M Dna Is Specifically Inhibited By Other Germ Line Switch Region Rnas The Journal Of Immunology

Symmetry Free Full Text Constraints On The Anomalous Wtb Couplings From B Physics Experiments

Maths Behind A B Testing Red Or Blue Shopping Cart Button By Jonathan Leban The Startup Medium

Cytoplasmic M Heavy Chain Confers Sensitivity To Dexamethasone Induced Apoptosis In Early B Lineage Acute Lymphoblastic Leukemia Cancer Research

Level By Level Making Flow And Contextsensitive Pointer

Electron Spin Resonance

Significance P Values And T Tests Nature Methods

Baba Yaga ª Letter B ª From Abc Book Picture By Alexandre Benois 1904 Alphabet In Pictures ª Moscow 1904 Alexandre Benois 1870 Ai1960 Alternative Names E A A P E ª µ A W A E µ W E Description Russian

A Nonlinear Schrodinger Equation For Gravity Waves Slowly Modulated By Linear Shear Flow Xref Rid Cpb 28 12 Fn1 Ref Type Fn Xref Fn Id Cpb 28 12 Fn1 Label Label P Project Supported By The National Key Research And

The Lessons Learned From International Assessments Of Mathematics And Science Part Iii Schooling Across The Globe

Dimensionless Noise Spectra Of A X And B Y For Below Threshold Download Scientific Diagram

1 Problems On Measure And Integration Let E B µ Be A Xue Mei Li

5006 2

Magnetic Field Wikipedia

The Calculation Of Energy Density Of Qgp In Qpm I By A Dashed Curve At Download Scientific Diagram

Basic Measure Theory 1 1 Classes Of Sets Pdf Free Download

Solved Magnetic Field Effect On M In A B Field The Angula Chegg Com

Pdglive

Carbon Dioxide Fixation By Binuclear Complexes With Hydrophobic Binding Pockets Kersting 01 Angewandte Chemie International Edition Wiley Online Library

Probability Theory

Solved Problem 2 Let A R And B R If X Follows A N Chegg Com

Activation Of H2 And Et3sih By The Borinium Cation Mes2b Avenues To Cations Mesb M H 2 M Mes Bmes And H2b M H M Mes B M Mes M H Bh2 Semantic Scholar

4 Temperature Dependence Of The Internal Magnetic Field B µ At The Download Scientific Diagram

A Coil Of One Loop Is Made By A Wire Of Length L And There After A Coil Of Two Loops Is Made By Same Wire The Ratio Of Magnetic Field At

B Hadron Crosssection Via Single Muons In Pp

Solved Ii The Work Done By An External Force To

The Magnetic Field In The Solenoid Is Given By B U03bc I N U2113 Call A The Area Of The Course Hero

Magnetic Fundamentals Permeability

A New Extended Normal Regression Model Simulations And Applications Journal Of Statistical Distributions And Applications Full Text
Plos One Delimiting The Origin Of A B Chromosome By Fish Mapping Chromosome Painting And Dna Sequence Analysis In Astyanax Paranae Teleostei Characiformes

Let O A B And C Be Four Points With Position Vectors 0 A B And C And Denote By G La Mb Nc The Position Of The Centre Of The Sphere On

The Ckm Parameters In The Smeft Cern Document Server

Laplace And Gaussian Mechanisms Ppt Download

Solved Per Unit Length Carrying A C Magnetic Field Due T Chegg Com

Answered A Find The Modulation Index µ B Bartleby

Introduction To Fuzzy Logic Ppt Download

B 11 49 Brainorchestra Lovetones Brainorchestra

Froude Number F U Gh Versus Height Scaled By The Stopping Download Scientific Diagram

Search For New Physics In B S Rightarrow Mu Mu And B Rightarrow K Mu Mu Cern Document Server
Magnetic Field Wikipedia

Tinkutara Equation Editor Math Forum Question

Solved Problem 2 Let X Be A Normal Random Variable With M Chegg Com

A Prove Each Of The Following Four Equations 1 E A Bx Cy A B U03bc X C U03bc Y 1 Var A By Course Hero

Solved For Exercise 1 The Mean Of Ax B Should Be A Mu B Chegg Com

Lubricants Free Full Text Influence Of Temperature On The Frictional Properties Of Water Lubricated Surfaces Html

Synthesis Of 1 E 3 E 1 4 Diarylbuta 1 3 Dienes Promoted By M Oms Palladium Dimer Complex Bmc Chemistry Full Text

The Surprising Structures Of B8f12 And B10f12 Pardoe 03 Angewandte Chemie International Edition Wiley Online Library

The B Galactosidase Escherichia Coli Reaction Is Partly Facilitated By Interactions Of His 540 With The C6 Hydroxyl Of Galactose Journal Of Biological Chemistry

Permeability Electromagnetism Wikipedia
Osa Lasing Condition For Trapped Modes In Subwavelength Wired Pt Symmetric Resonators

The Shaft Is Supported By A Smooth Thrust Bearing At A And A Smooth Journal Bearing At B If P 5 4 And The Shaft Is Made From Steel Having An Allowable

Solved Could Anyone Hep Me With These Question If That Po Chegg Com
Osa Broadband Multiband Absorption Through Surface Plasmon Engineering In Graphene Wrapped Nanospheres

If Blocks A And B Of Mass 10 Kg And 6 Kg Respectively Are Placed On The Inclined Plane And Released Determine The Force Developed In The Link The Coefficients Of Kinetic

B M N I 1 The University Of Tennessee At Chattanooga

Solved Exercise 3 70 Let X N M S And Y Ax B By Ad Chegg Com

Xfitter 2 0 0 Heavy Quark Matching Scales Unifying The Ffns And Vfns Cern Document Server
B Field M Distributions Obtained By Cross Plotting Equation 15 Download Scientific Diagram

Given Brownian Motion B And Bounded Measures On 0 1 X Mu Omega Int 0 1 B S Omega D Mu S Is Gaussian Mathematics Stack Exchange

Basic Measure Theory 1 1 Classes Of Sets Pdf Free Download