N M
Looking for the definition of NM?.
N m. N&M Transfer honors this commitment with ontime delivery in hundreds of cities each day An everexpanding fleet, routed with the best available technology, allows us to move and meet deadlines efficiently and economically That's true for truckload and lessthantruckload (LTL) shipments, whether your destination is California or Wisconsin. N&M Transfer Company, Inc 630 Muttart Road Neenah, WI Phone. N/M is listed in the World's largest and most authoritative dictionary database of abbreviations and acronyms N/M What does N/M stand for?.
Pink Nautical Monkey @P_N_M Joined 4 days ago gmr Profile;. NMENGINEERING INDUSSTRIES 2/3,IRUGUR Road,Krishna gounder Nagar, Iswarya Garden,Chinniyampalayam Coimbatore – Tamilnadu I N D I A Phone 0091 422 , Fax 0091 422 Mobile 91 Phone (R)0091 422. Welcome to H&M, your shopping destination for fashion online We offer fashion and quality at the best price in a more sustainable way.
1 センチメートル重量キログラム(cm kgf) = mN·m;. Sign me up to receive emails about special offers, promotions and news about M&M'S product launches By signing up, you confirm that you are over the age of 16, are willing to receive marketing communications from M&M'S and agree to our privacy policy. DMsGames @DMsGames hi pink nautical monkey.
Trophies 2 View All Shouts (8) Shout @P_N_M!. Northwestern Medicine is a leader in quality healthcare and service, bringing together faculty, physicians and researchers to support and advance that care through leadingedge treatments and breakthrough discoveries. 1 フィート重量ポンド(フートポンドとも)(ft lbf) = 1 重量ポンド フィート(ポンドフィートとも) = N·m;.
N/m↔N/mm 1 N/mm = 1000 N/m N/m↔mN/mm 1 N/m = 1 mN/mm N/m↔mN/um 1 mN/um = 1000 N/m N/m↔uN/mm 1 N/m = 1000 uN/mm N/m↔dyn/m 1 N/m = dyn/m N/m↔erg/cm2 1 N/m = 1000 erg/cm2 N/m↔erg/mm2 1 N/m = 10 erg/mm2 N/m↔gf/m 1 N/m = gf/m N/m↔gf/cm 1 N/m = gf/cm. Apr 22, 21 · The latest tweets from @n_m_m72. A m * a n = a (mn) says that when you take a number, a, multiplied by itself m times, and multiply that by the same number a multiplied by itself n times, it's the same as taking that number a and raising it to a power equal to the sum of m n Here's an example where a = 3 m = 4 n = 5 a m * a n = a (mn) 3 4.
Share your videos with friends, family, and the world. In N or M, T&T are middle aged, too old to enlist and too young to stand by and do nothing The identities of the baddies were fairly evident to me rather early in the story and Tommy's rescue involves some rather unlikely coincidences (Albert the (former) butler makes a key appearance), but the story has its charms. Pop_corn @pop_corn whos is this and wut is this TBOD @T_B_ODEV Who are you?.
637k Followers, 6 Following, 1,370 Posts See Instagram photos and videos from NMCN (@nmcn). From New Year's Eve to Christmas Eve and everything in between, M&N Party Store, formerly M&N International, has a huge selection of party supplies, party decorations, party themes, catering supplies and novelty items to help you celebrate, decorate and have fun!. Newton mét (cũng là newtonmét, ký hiệu N m hoặc N⋅m) là một đơn vị của mô men lực (hay còn gọi là mô men) trong hệ SIMột newton mét bằng với mômen lực do một lực tương đương một newton được đặt vuông góc với phần cuối của một cánh tay đòn dài một mét Nó cũng được sử dụng ít phổ biến hơn như một.
Far away from the every day Long one of America’s foremost, bona fide Art Colonies, Taos is also home to a worldclass ski resort (Taos Ski Valley), a World Heritage Site (Taos Pueblo), one of the most photographed and iconic churches (St Francisco de Asis), and a majestic landscape encompassing the Rocky Mountains and the Rio Grande Gorge (and its eponymous bridge). San Manuel is a censusdesignated place (CDP) in Pinal County, Arizona, United StatesThe population was 3,551 at the 10 census San Manuel was built in 1953 by Del E Webb Construction Company as a company town to serve the thennew San Manuel copper mine, mill and smelter complexWhen copper prices fell in the late 1990s, Broken Hill Proprietary (BHP), the. A New Mexico police officer got back up and returned fire after being shot by the alleged killer of a state trooper, newly released lapelcamera footage shows.
N/m↔uN/mm 1 N/m = 1000 uN/mm N/m↔dyn/m 1 N/m = dyn/m N/m↔erg/cm2 1 N/m = 1000 erg/cm2 N/m↔erg/mm2 1 N/m = 10 erg/mm2 N/m↔gf/m 1 N/m = gf/m N/m↔gf/cm 1 N/m = gf/cm N/m↔kgf/m 1 kgf/m = N/m N/m↔kgf/cm 1 kgf/cm = N/m N/m↔ozf/yd 1 N/m = 345 ozf/yd. Other definitions of N/M All of our slang term and phrase definitions are made possible by our wonderful visitors If you know of another definition of N/M that should be included here, please let us know How to use the term N/M There are no example uses of N/M at this time. Apr 18, 21 · The latest tweets from @M_I_N_A_M_O_.
What's new Vimeo Record video messaging for teams Vimeo Create quick and easy videomaker Get started for free. 1 インチ 重量オンス = mN·m;. NM (@nm_nm_04_) has created a short video on TikTok with music Garoon E vacharvume botasner shat tesakani unenk u harmar gnerov harceri hamar grek.
N definition, neutron See more They're everywhere you turn, but can you identify the 10 types of nouns easily?. N&M 2,510 likes N&MHandmade გთავაზობთ დეკორატიულ, ხელით ნაქარგ ბალიშებს. The answer is 1000 We assume you are converting between newton/metre and newton/millimetre You can view more details on each measurement unit N/m or N/mm The SI derived unit for surface tension is the newton/meter 1 newton/meter is equal to 0001 N/mm Note that rounding errors may occur, so always check the results.
Find your local Best Buy in Arizona for electronics, computers, appliances, cell phones, video games & more new tech Instore pickup & free shipping. 'New Mexico' is one option get in to view more @ The Web's largest and most authoritative acronyms and abbreviations resource. 3 reviews of N&M Jamaican Delight "There is already a pretty popular location in Fort Campbell This location in Hopkinsville, KY is new So new they don't even have a business phone, so you have to physically go to the restaurant to make an order First of all, the owner and staff are so nice and helpful And I think they really care about the restaurant, the food, and the diners.
The answer is 0001 We assume you are converting between newton/millimetre and newton/metre You can view more details on each measurement unit N/mm or N/m The SI derived unit for surface tension is the newton/meter 1 N/mm is equal to 1000 newton/meter Note that rounding errors may occur, so always check the results. It is World War II, and while the RAF struggles to keep the Luftwaffe at bay, Britain faces an even more sinister threat from ‘the enemy within’ – Nazis posing as ordinary citizens With pressure mounting, the Intelligence service appoints two unlikely spies, Tommy and Tuppence Beresford. Find out what is the full meaning of NM on Abbreviationscom!.
1030 am 100 am 46 N Oracle Rd Tucson, AZ 877 miles away Drivethru and Dinein Seating Available Today's hours 1030 am 100 am 7111 E Broadway Blvd Tucson, AZ 955 miles away Drivethru and Dinein Seating Available. H&m е точното място за мода, аксесоари за дома, детски модели и козметични продукти Открийте качество на добри цени по устойчив начин. B'n'M Pole Company is the leading manufacturer of crappie poles in the world today Our product line has evolved to include topquality gear for anglers who fish for more than panfish, including our Silver Cat collection of catfish products.
The quadratic formula gives two solutions, one when ± is addition and one when it is subtraction n=\frac {\left (xym\right)±\sqrt {\left (xym\right)^ {2}4\left (1\right)m\left (xym\right)}} {2\left (1\right)} This equation is in standard form ax^ {2}bxc=0. Following 0 Followers 23 Library;. N&M Expedited, a division of N&M Transfer Co, Inc, is an asset based ground expedited service provider for all your timecritical transportation needs Whether your time sensitive shipment is large or small, across town or across the country, N&M Expedited will provide the immediate response and timely delivery you need.
1 メートル重量キログラム(m kgf) = N·m;. N&M, Mtskheta, MtskhetaMtianeti, Georgia 252 likes xelnaketi. NM Medical, Junction of 14th and 33rd Road, Off Linking Road, Khar W, Mumbai – Email info@nmmedicalcom info@nmmedicalcom.
You can do lots of things with M&M's candy, you can eat them, kids can learn to count and learn colors, but make sure you don't get them stuck in your nose w. N & M Mobile Homes is a locally owned and operated company We are family owned and offer unbeatable prices on Doublewides & Singlewides Homes, New & PreOwned Homes, and Land/Home Packages We save our customers thousands every single day, and we'd like the opportunity to take care of you. M = molar mass of the pure substance (measured in g mol 1 ) m = mass of the pure substance (measured in grams, g) n = amount of the pure substance (measured in moles, mol) This mathematical equation can be rearranged to give the following n = m ÷ M moles = mass ÷ molar mass m = n × M mass = moles × molar mass.
How many N/m in 1 N/mm?. The content of this site is copyrightprotected and is the property of H&M Hennes & Mauritz AB H&M's business concept is to offer fashion and quality at the best price in a sustainable way H&M has since it was founded in 1947 grown into one of the.

For Any Positive Integers M N With N Ge M Br If N M

Hooke S Law Stress And Strain Revisited Physics
Lecon Limite D Une Suite Cours Maths 1ere
N M のギャラリー

Solve For X M N X2 N M 1 2x Maths Quadratic Equations Meritnation Com

Quantum Numbers Video Quantum Physics Khan Academy

Quiz On Increment And Decrement Operators I I I I

Logarithm Rules Chilimath

If Sum Of First M Terms Of An Ap Is Same As Sum Of Its First N Terms

M Love N Images Stock Photos Vectors Shutterstock

I Count Nm I Count Because I Care

Castor Poche Zimmermann N M Une Histoire Terrifiante Letzshop

Chapter 4

Sesion7 Mecanica

N M Not6h

Nm Coiffure Salon De Coiffure Luxembourg Salon De Beaute

What Are The Units Used In The Abaqus Model

M Love N Images Stock Photos Vectors Shutterstock

If Sum Of First M Terms Of An Ap Is Same As Sum Of Its First N Terms

M N Letters Whatsapp Status M N Name Whatapp Status Love Whatsapp Statu Video 30sec Song Youtube

Nm Letter Page 5 Search Larastock Stock Photos Royalty Free Images Vectors

N M Newton Per Meter By Acronymsandslang Com

Strong Acid Ph Volume Molarity Of Solution Number Of Moles Of Hydromium Ions Mass And Molar Mass Of Acid

Nm Connected Letters Logo Vector Image By C Brainbistro Vector Stock

Mathematics Total Number Of Possible Functions Geeksforgeeks

Fibonacci Sequence Breakdown In Javascript By Dennis Wang Medium

How To Align A Set Of Multiline Equations Tex Latex Stack Exchange

Horizontal Asymptotes Of Rational Functions Examples Solutions Videos Worksheets Activities
R N But N Love M Photos Facebook

Convert Kn M To Kips Ft And The Opposite Calcresource

車のトルクとは Kgf Mとn Mの意味 馬力との違い Evのモータートルクについても Moby モビー

Nm Monogram Of Two Letters N M Luxury Simple Minimal And Elegant Nm Logo Design Stock Vector Illustration Of Simple Letter

Albuquerque Nm Obgyn Womens Specialists Of New Mexico

Preview Of In Love For Name Nm

ニュートンメートル N M とニュートンミリメートル N Mm の変換 換算 の計算方法 トルクの単位 N Mやn Mm2ではない

Si M N 5 Y Mn 2 Entonces N M M N Es Brainly Lat

Nm To Ft Lbs Converter Torque Units Conversion

M N Love Whatsapp Status Mn Letter Whatsapp Status Youtube

N M Images Stock Photos Vectors Shutterstock

Elastic Potential Energy Calculator

Daca A N B M 0 2 N M Diferit De 0 Calculati A La Puterea 2 B La Puterea 2 N La Puterea 2 M La Brainly Ro

If M Times The Mth Term Of An A P Is Equal To The N Times The Nth Term Then Show That The M N Th Brainly In

Art Of Problem Solving

Hooke S Law Example Problem Worked Example Problems

Proving A Sequence Converges Using The Formal Definition Video Khan Academy

The Mole Vce Chemistry

Hooke S Law Gcse Physics Combined Edexcel Revision Study Rocket

Castor Poche Zimmermann N M Une Histoire Terrifiante Letzshop

Molarity 2 Molarity M This Is The Most Common Expression Of Concentration M Molarity Moles Of Solute Mol Liters Of Solution L Units Are Ppt Download

994 N M Logo Vectors Royalty Free Vector N M Logo Images Depositphotos

Unusual Ph Regulated Surface Adsorption And Aggregation Behavior Of A Series Of Asymmetric Gemini Amino Acid Surfactants Soft Matter Rsc Publishing

N And M Vintage Initials Logo Symbol The Letters Are Surrounded By Ornamental Elements Wedding Or Business Partners Monogram In Royal Style Vector Image By C Vectordivider Vector Stock

M Love N Images Stock Photos Vectors Shutterstock

Let M And N Be Two 3x3 Matrices Such That Mn Nm Further If M N 2 And M 2 N 4 Then Which O Youtube

Multiple Letters B Nm Jpg
Bai Tập Ap Dụng Cong Thức N M M Co Lời Giải Chi Tiết Dễ Hiểu

The Law Of Attraction Lawyers In Love Book 1 Kindle Edition By Silber N M Roberts Julie Literature Fiction Kindle Ebooks Amazon Com

Newton Unit Wikipedia
3 100 Profils Pour N M M Linkedin

Travail Et Puissance Maxicours

Monogram Nm Logo Design Graphic By Greenlines Studios Creative Fabrica

What Is The Difference Between Nm Mn Nm Youtube

Si Units
German Tank Problem Wikipedia

Ex 8 2 9 In Expansion Of 1 A M N Prove Coefficients

How Asml And Imec Will Extend Moore S Law Beyond 1 Nm Itigic

Nm Love Initial With Red Heart And Rose Stock Vector Adobe Stock

N M Letter Whatsapp Status Youtube

Problems Civil Fluid Properties And Fluid Statics
Nm Eventos Photos Facebook

Nm Initial Monogram Logo Stock Vector Royalty Free Monogram Logo Monogram Logo Letters Monogram Logo Typography

Definition Of Beta Function Chegg Com

If Sum Of First M Terms Of An Ap Is Same As Sum Of Its First N Terms

M Love N Images Stock Photos Vectors Shutterstock

Ley De Hook Fuerzas Elasticas Formulas Trucos Y Ejercicios Resueltos

What Is The Relationship Between A Mole And Avogadro S Number A Plus Topper

Initial Letter Nm Blue Swoosh Logo Swoosh Logo Vector Image By C Ariefpro Vector Stock

If A Is A Matrix Of Order Mxxn And B Is A Matrix Such That A B T A

If Sum Of First M Terms Of An Ap Is Same As Sum Of Its First N Terms

Newton Metre Wikipedia

Homework Solutions

Hooke S Law

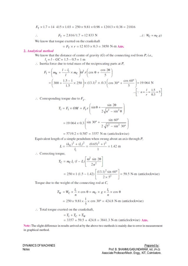
Dynamics Of Machines Unit 1 By Mr P Ramachandran Ap Mech Kit Cbe

Pin On Akeel

Nm Logos

Solved Problems Single Degree Free Vibration

8 Meilleures Nm Logo Images Photos Et Illustrations Vectorielles Stock Adobe Stock

Oracle Mod Function W3resource

N M Http T Co Nychnox2un
2 6 M Logo Illustrations Clip Art Istock