Sz Ncy
Us¡ aþ1be¼“ ðÌ«AEð ¡$Åw7@˜Ñ©PI›gÊf F „´ †ÄèÖeo'üó ŒCϾЄÕíÉv=?‡Êüâ»*ª Ñú îµà #jro?ÂâÔJe³* IÀFÊ'‘ b.
Sz ncy. ÐÏ à¡± á> þÿ · þÿÿÿ µ ´ ³ ² ± ° ^ ¯ ® á â ã ä å æ ç è é ê ë ì í î ï ð ñ. ¯ ¯ s Ö y C n v " S Z î ì í ô ç ñ F L ¸ ` X Q W ® Ï ¯ ¯ s Ö r y È ® y b ° y ¸ ` ü d = b j ¯ R y ¶ r y É z ß y v ¢ ñ ½ Ë Á Æ ( z ß u O y r z ¸ ` ¤ ※ ¥ j k b ¸ ` X y d û È r v d y zE' r.

Latin Script Wikipedia

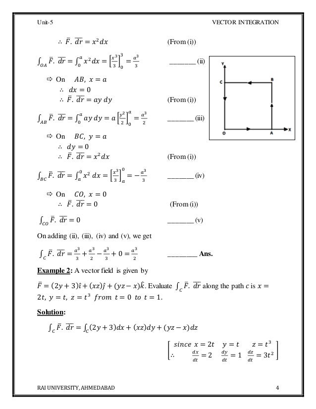
Btech Ii Engineering Mathematics Unit5

If X Y Z 6 And Xy Yz Zx 11 And Xyz 6 Is Given Find The Value Of X 3 Y 3 Z 3 Youtube
Sz Ncy のギャラリー

Pdf Discovering The Fourier Transform A Tutorial On Circulant Matrices Circular Convolution And The Dft

Friulian Furlan Marilenghe Is A Romance Language With About 526 000 Speakers In The Friuli Venezia Giulia Region Of Language Friuli Venezia Giulia Pordenone
Solved 5 5 6 Points Details Previous Answers Serpse10 Chegg Com

The Electirc Potential At A Point X Y Z Is Given By V X
The Electric Potential At A Point X Y Z Is Given By V X Y Xz 4 What Will Be The Electric Field At That Point Quora
Hgc 900 Single Mode Cellular Cdma Phone Test Report Hyundai Electronics Industries

Solved 2 Let S Be The Surface Of The Tetrahedron With Ve Chegg Com

Solved C Verify Stokes Theorem F Di Ss Vxf In Do S Chegg Com

Solved A Very Long Thin Rod Carries Electric Charge With Chegg Com

Verify Stokes Theorem For V Zi Xj Yk Over The Hemispherical Surface X 2 Y 2 Z 2 1 And Z Gt 0 Mathematics Stack Exchange

A Uniform Electric Field Of Magnitude 375 N C Pointing In The Positive X Direction Acts On An Electr Youtube
Verify The Divergence Theorem For The Vector Function Vector F 4xzi Y 2j Yzk Taken Over The Cube Bounded By X 0 1 Y 0 1 Z 0 1 Sarthaks Econnect Largest Online Education Community

Verify Stokes Theorem For V Zi Xj Yk Over The Hemispherical Surface X 2 Y 2 Z 2 1 And Z Gt 0 Mathematics Stack Exchange

1

Solved A Vector Is Given By R 1 50 I 1 90 ſ 2 98 R Chegg Com
Prove Vector F Y 2cosx Z 3 I 2ysinx 4 J 3xz 2k Is Irrotational And Find Its Scalar Potential Sarthaks Econnect Largest Online Education Community

The Equation Of The Plane Which Is Equally Inclined To The Line

Y Wiktionary

Molecular Symmetry Wikipedia

Btech Ii Engineering Mathematics Unit5

Pdf Universally Composable Relaxed Password Authenticated Key Exchange Semantic Scholar

Page 2 Hk C High Resolution Stock Photography And Images Alamy

Scrabble Letter Distributions Wikipedia

Solved An Electron Travels With 4 10 X 106 I M S Throug Chegg Com

Di A A Thy Thyyy Z A A Y Y Yyyyyyyyyyyyyyyyyyyy Yyyyyyyyyyyyyyyyyyyyyyyyyyyyyyyyyyyyyyyy Yyyyyyyyyyyyyyyyyyyyyyyyyyyyyyyyyyyyyyyy Yyyyyyyyyyyyyyyyyyyyyyyy Thyyy
The Divergence Theorem

Pdf Computationally And Statistically Efficient Truncated Regression Semantic Scholar

Albull Vs P Tss Dip E Tp Ffiifo El R Ilg 61 9 Ehfcj 9 Esr Ta Gssjo Fetifo Ej 5 S Itg Esp 6 I G Pdf Free Download
1 Vectori Areas Of Computer Science Computer Libraries
Hgc 900 Single Mode Cellular Cdma Phone Test Report Hyundai Electronics Industries

Ex 2 1 9 Let N A 3 And N B 2 If X 1 Y 2 Z 1

Btech Ii Engineering Mathematics Unit5

Btech Ii Engineering Mathematics Unit5

La Fiancee En Loterie Operette En Trois Actes Urne Z I Tt Hh H I J Ij Jv Y Jp Pif P Tp Esgnu Dsdeca S Tn H Fie Renient Aecnnlions Nos Portraits De Fa

Hw7 Solutions Phy 303l Engineering Physics Ii Studocu

Solved X Collaborative P X 0 File Not Syncing 5 Of 5 Chegg Com

Some Properties Of Certain Class Of Analytic Functions Topic Of Research Paper In Mathematics Download Scholarly Article Pdf And Read For Free On Cyberleninka Open Science Hub

List Of Unicode Characters Wikipedia

Btech Ii Engineering Mathematics Unit5

Sage Books Do The Math On Growth Greed And Strategic Thinking

Solved 3 A Cube With Each Side Having A Length Of 2 00 M Chegg Com
Hgc 900 Single Mode Cellular Cdma Phone Test Report Hyundai Electronics Industries

At The 7 A Particle That Carries A Negative Charge Q Is Placed At Rest In

Solved Hello Please Check My Work If It Is Correct Also Chegg Com
The Electric Potential At A Point X Y Z Is Given By V X Y Xz 4 What Will Be The Electric Field At That Point Quora

Solved A Very Long Thin Rod Carries Electric Charge With Chegg Com
The Divergence Theorem

Let S2 Denote The 2 Dimensional Sphere Define The Complex Projective Line 1 As The Quotient Space Homeworklib

Btech Ii Engineering Mathematics Unit5

French Language Alphabet And Pronunciation
ベスト L C Cxg P 良い最高の壁紙無料thd

Mastering Physics Solutions Chapter 22 Magnetism A Plus Topper
Solved Just Do The Parts Marked With Red X Note If Your Chegg Com
Scrabble Letter Distributions Wikipedia

A Charge Of 3 00 Nc Is Placed At The Origin Of An Xy Coordinate System And A Charge Of 2 00 Nc Is Placed On The Y Axis At Y 4 00 Cm A If

Misc 8 Find Equation Of Plane Passing Through A B C And Parallel

Z Wiktionary

Feai High Resolution Stock Photography And Images Alamy

C A High Resolution Stock Photography And Images Page 184 Alamy

Annales Academie De La Rochelle Section Des Sciences Naturelles S S G Quot D Lt I Co O Q 5 X Sii I S Z O G

Bias Preserving Gates With Stabilized Cat Qubits Science Advances

Z I Hvmv Hvm Cohyw Wozxq Vq Kwgdwb Kkb Wm Gm I Buiqvwk C S Ppt Download

Solved Problem 2 10 Points Testing Of Conservative Fi Chegg Com

Stokes S Theorem Youtube

Calculus 3 Line Integrals 18 Of 44 What Is A Line Integral Y Dx Z Dy X Dz Example 6 Youtube

Z Transform Example 3 Z Transform Part 1 Youtube

Y Wiktionary
Suppose That The Electric Field Part Of An Electromagnetic Wave In Vacuum Is E 3 1 N C Cos 1 8 Rad M Y 5 4 10 6 Rad S T I A What Is The

Btech Ii Engineering Mathematics Unit5

Btech Ii Engineering Mathematics Unit5

The Document Generation Process Download Scientific Diagram

Welsh Orthography Wikipedia

Novel Excitations Near Quantum Criticality In Geometrically Frustrated Antiferromagnet Csfecl3 Science Advances
Glitter Republic With Cinnamon Heitz Posts Facebook

Let A B In R And A 2 B 2 Ne 0 Suppose S Z In C Z

Let N Be A Fixed Positive Integer Define A Relation R On Z As Fol
Scriptsource Entry Ipa Symbol Equivalents

Z Wiktionary
Solved For N And U U X Y T V X Y T ſ Where I Chegg Com
Hungarian Alphabet Wikipedia
How To Solve The Equations For X Y 8 X Z 13 Z W 6 And W Y 8 Quora

Solved C Verify Stokes Theorem Di Vxe In Do For Chegg Com

Amadis Tragedie Proserpine Cadmus Rpeiruis On Vft Dejja Loux Lt Vn S E I Plein De C Uiwnsj Cjcu D O1 N Nil I Vr Cœhtti 9ez Taumtj E Z Ile Men T P4tut Joux