Xcb Wcr U
Correlation And Dependence Wikipedia

Conditionals And Loops
M M C Queue Wikipedia
Xcb Wcr U のギャラリー

Lhcb Large Hadron Collider Beauty Experiment
Chebyshev S Inequality Wikipedia

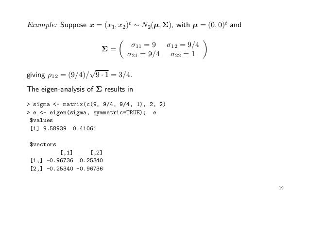
Chapter 16

U S Conducted Secret Cyberstrike On Iran In Wake Of Saudi Oil Attack Cbc News

Lhcb Large Hadron Collider Beauty Experiment

Chapter 16

Content Calculating Confidence Intervals

Lhcb Large Hadron Collider Beauty Experiment
Solved If Capacitors Each Of 100 Mu F Were Connected Chegg Com
Probability Density Function

Exact Quasi Relativistic Wavefunctions Of Hydrogen Like Atoms Scientific Reports

Solved 2 A Bound Particle Of Mass M Is Subject To A Half Chegg Com

Solved Confidence Intervals I Text Problem 11 2 Consid Chegg Com

Example Problems And Solutions Mcgraw Hill Education Access Engineering

Safety Tolerability And Immunogenicity Of An Inactivated Sars Cov 2 Vaccine In Healthy Adults Aged 18 59 Years A Randomised Double Blind Placebo Controlled Phase 1 2 Clinical Trial The Lancet Infectious Diseases

Character Segmentation And Recognition Springerlink
Solved For A Rcl Series Circuit With F 60 Hz R 600 O Chegg Com

Pdf Di M Chlorido Bis Chlorido N N Dibenzylpropane 1 2 Diamine K2 N N Copper Ii Semantic Scholar

2 1 Random Variables And Probability Distributions Introduction To Econometrics With R
Gaussian Function Wikipedia
Cauchy S Integral Formula Wikipedia

Vtq 4epijtwo6m

Conditionals And Loops

11 10 The Schrodinger Wave Equation For The Hydrogen Atom Chemistry Libretexts

Wordpress File Manager Plugin Under Active Exploitation Secpod Blog
Solved Given Q1 Mu C At A 6 4 0 And Q2 50 Mu C Chegg Com

Figure 1 From Demonstration Of High Ferroelectricity P Lt Inline Formula Gt Lt Tex Math Notation Latex Gt R Lt Tex Math Gt Lt Inline Formula Gt 29 Lt Inline Formula Gt Lt Tex Math Notation Latex Gt Mu Lt Tex Math Gt Lt
Solved For A Rcl Series Circuit With F 60 Hz R 600 O Chegg Com
C Span Org National Politics History Nonfiction Books

Solved 22 Equivalent Capacitance Of Three Capacitors 8 M Chegg Com

2 1 Random Variables And Probability Distributions Introduction To Econometrics With R

Solved 3 You Are Given The Randorn Vector X1 X2 X3 X Chegg Com
Probability Density Function

A Mathematical Model For Simulating The Phase Based Transmissibility Of A Novel Coronavirus Infectious Diseases Of Poverty Full Text

Progress And Perspectives Of Electrochemical Co2 Reduction On Copper In Aqueous Electrolyte Chemical Reviews

Chapter 2 R Basics Introduction To Data Science

Multivriada Ppt Ms
/LognormalandNormalDistribution1-7ffee664ca9444a4b2c85c2eac982a0d.png)
Empirical Rule Definition

5 4 The Exponential Distribution Statistics Libretexts

Solved A Random Sample Of Size N 296 From A N M S2 Di Chegg Com

Example Problems And Solutions Mcgraw Hill Education Access Engineering
Variance Wikipedia

Example Problems And Solutions Mcgraw Hill Education Access Engineering

Phase Transitions And Self Organized Criticality In Networks Of Stochastic Spiking Neurons Scientific Reports
Beta Distribution Wikipedia

Normal Distribution Gaussian Normal Random Variables Pdf

Dultcd9i D8z3m

Answered Suppose X1 X2 Are Independent Bartleby
Alt Codes How To Type Special Characters And Keyboard Symbols On Windows Using The Alt Keys
Solved Let P Be A Probability Distribution On 0 1 2 Wi Chegg Com
Chebyshev S Inequality Wikipedia

2 1 Random Variables And Probability Distributions Introduction To Econometrics With R

Energy In Electromagnetic Waves Physics

Honda 650 Xr L P R S T V W X Y 1 2 3 4 5 6 7 8 9 A B C D E F Esjot Gmbh

Chapter 2 R Basics Introduction To Data Science

A Lognormal Random Variable X With Parameters M An Chegg Com
Hypergeometric Function Wikipedia

Chapter 2 R Basics Introduction To Data Science

L8airiryzj3ecm

How M Opioid Receptor Recognizes Fentanyl Nature Communications
Jyryd Papjujqm

Probability Distributions For Discrete Random Variables

List Of Unicode Characters Wikipedia

Expected Value Of A Binomial Variable Video Khan Academy

Ising Ferromagnetism And Robust Half Metallicity In Two Dimensional Honeycomb Kagome Cr 2 O 3 Layer Npj 2d Materials And Applications

Consider A Random Variable X Ohm Rightarrow R Wi Chegg Com

An Introduction To R

Solved E 18 Points Complete The Following Table Util Chegg Com