M Xypx
S @ z t e t ͝D @ 吳14 N S 14 i j _ ˓ @ l \ l { Z Z ɉ ě t D s ӁB j c i j g i ܁j _ R ̉ Ɍߌ l O \ J n B O ɂĖ{ Z B R U B.
M xypx. M _ 싅 o V L n 吳11 N S 29 i y j R O E h @ { N x _ ːV Ẩ ɊJ B { Z T Q B. But avoid Asking for help, clarification, or responding to other answers. Note that conditions #1 and #2 in Definition 511 are required for \(p(x,y)\) to be a valid joint pmf, while the third condition tells us how to use the joint pmf to find probabilities for the pair of random variables \((X,Y)\).
P(X = x) or p(x) denotes the probability or probability density at point x Actual meaning should be clear from the context (but be careful) Exercise the same care when p() is a speci c distribution (Bernoulli, Beta, Gaussian, etc). The line x y = p meets the x and yaxes at A and B,respectively A triangle APQ is inscribed in triangle OAR, O being the origin, with right angle at Q P and Q lie respectively, on OR and AB If the area of triangle APQ is 3/8th of the area of triangle OAB, then AQ/BQ is equal to. Let \mathbf{F}=\mathbf{F}(x, y)=P(x, y) \mathbf{i}Q(x, y) \mathbf{j} be a vector field, where the functions P and Q are continuous on some simply connected, o Hurry!.
M x ` Y P L ̃ V s A ʐ^ ŏЉ Ă ܂ B @ m x ` Y P L N ` Y50 ȏ ̂m x ` Y P L B x C N h ^ C v B ށ@ @ @ 18cm P L ی^ @ @ y. 4/16/16 · Given equations are (1) m/x n/y = a (2) n/x m/y = b let 1/x = u & 1/y = v then, m/xn/y = munv And, n/x m/y = numv so, new equations are (1) munv = a or, munv a = 0 (2) nu mv = b or, numvb = 0 Solving for u and v by crossmultiplication method u = (b1c2 b2c1) ÷ (a1b2 a2b1). D r e a m y P i x e l s 909 likes Dreams captured in to pixels Facebook is showing information to help you better understand the purpose of a Page.
Y P X փR ^ N g Y P A p i m v g L A Y v X ~6 {( n h R ^ N g Y @ P A p i @ ^ p N @ ۑ t @ t @ s v j P A p i ƃR ^ N g Y Y P X ɂ ďЉ j. (p x, p y, m) where λ is the Lagrange multiplier (b) Check second order sufficient condition for a utility maximum (c) Derive the indirect utility function (d) Calculate the optimum values (x?, y?, λ?) if p x = 4, p y = 6, and m = 130 Interpret the λ?. Please be sure to answer the questionProvide details and share your research!.
O A V P A X Y P Y R A M I D S N Y S D S J T X M V F S E S B W E Y I B Q G E P W N K K E G R H Y S X V V F Q R A M E S S E S B A U J A Z M H R D M M I V F M M T B O N D X Ancient Egypt Word Search Created Date. E N H Y P E NM X 1,705 likes · 72 talking about this Fan Page HELLO!, We are E N H Y P E N MX First, we want to thank all the people who are here and we. Value in the context of this problem.
Compute answers using Wolfram's breakthrough technology & knowledgebase, relied on by millions of students & professionals For math, science, nutrition, history. 5/16/ · Respuesta 100 Explicación paso a pasoComo los polinomios M(x) y P(x) se multiplican, sus grados se suman dando 0Ahora como el nuevo polinomio esta dividido con N(x) entonces sus grados de restan dando 100. Solve your math problems using our free math solver with stepbystep solutions Our math solver supports basic math, prealgebra, algebra, trigonometry, calculus and more.
C r l x y p t z v w f x l n x s o a n i a u w t v m i g r a t e f n k u s r r c w o j n o i g v y i l j w t u u n q i k g h b i f w e r a y c j n d l x z s j e u o g e f antenna hatch nectar butterfly larva transform caterpillar flutter insect chrysalis wings habitat egg migrate monarch. A 5 B 50,000 C 100 D 0 8 Suppose The Economy Is Growing At 3% Per Year And The Money Supply Is Growing At 10% Per Year According To The. X y p É P T x p \ f 9 Ì Z ` o S p q O _ M b å ` X S & M ` b 7 Hp S¿L h 2 A @QRFÅL ?Ä í w ¶ ê ^ r > Á q ¨ ) K.
Only 1Day Left to Win a PS5 in our Study and Meet Discord Server. Y P X ̔ z j } G A t B b gM 58 ~3 j E ` p c M @ iJAN R h j ̃y W ł B i 13 ܂ł̒ ͓ ܂ i y j j B DCM I C ̓ j E ` ( ) ̎ p c w z Z ^ ʔ̃T C g ł BDCM I C ł͐ p i ͂ ߂Ƃ A 34 _ ̏ i 舵 Ă ܂ B z Z ^ ʔ DCM I C ł̂ y ݂ B. 9/26/16 · It is not saying that $\forall x\exists y P(x,y)$ implies that $\exists y\forall x P(x,y)$ is false Proving nonimplication is easy All you have to do is find one case where the lefthand side is true and the righthand side is false.
̓ X C c k C y Y O M t g ` Y P L ^ I b H i X C c A m َq yYahoo v _ N g J e S ܁z e r ɂĕ ܂ u n i ^ i b N X EX ʕҁv ŁA h D u t } W Љ ܂ I ͂ K w 艺 B ͂ w Ȃ ꍇ ͂ 4 ł̂ ͂ ƂȂ ܂ B ۂ ߂ɁA } g ^ A N Ⓚ ւł ͂ ܂ ̂ŁA Ⓚ ɂɂĕۊǂ ܂ B LeTAO M m َq ܃ ^ I ́u Ղ̌ ǂ v ` Y P L A h D u t } W B k C Y ̏ c. 7/15/08 · P(X and Y) = P(X Y) * P(Y) This is the definition of 2 events occuring using Conditional Probability P(X Y) is the chance that event X occurs given that event Y has already occured In the case that the two events are independent, P(X Y) = P(X) since Y does not affect X. A M y P X w ̎q J ʊJ y P X M s N u K 19 N11 1650 ~.
The Quantity Equation States A M = P X Y X V B M X V = P X Y C M X P = V X Y D M X Y = P X V 7 If Money Supply Is 500, The Velocity Of Money 10, And Real GDP Is 1,000 Then The Price Level Is?. Listen to RAV3 M!XRead All About It〤Ravers Fantasy〤Euro DancerRMX Y'P'DJS L!V3 M!X V0L56 by DJ'HAVARD (Founder Of Y'P'DJs) for free Follow DJ'HAVARD (Founder Of Y'P'DJs) to never miss another show. (p x, p y, m) and λ?.
That the distributions (or the pmf’s) fX(x) = P(X = x) of X and fY(y) = P(Y = y) of Y are called the marginal distributions of the pare (X;Y) and that fX(x)=å y fX;Y(x;y) and fY(y)=å x fX;Y(x;y) If fY(y) 6= 0, the conditional pmf of XjY = y is given by fXjY(xjy) def= fX;Y (x;y) fY (y) and the conditional expectation by E(XjY =y)def. X Q P R } C Ŕ̔ ԗ ͂ 121 } C ōē ɁB G W ̂Ȃ炵 ܂ ꂩ Ƃ ł 摜 ł 悤 Ɏԗ ̓m X I W i ێ ȃo C N x X ɐ i ƂŃG W ͂ ߋ Ԑ t Ɏ{ H ꐶ U Ƃ ɏo o C N Ɏd オ Ă ܂. 2/22/21 · Calcula el valor de los ángulos exteriores de un triángulo cuya medida son M = 135º, N = x – 3 y P = x Seleccione una a M = 135º, N = 108º y P = 111º.
Listen to 《EDM X PSY TRANC3 X HARD STYL3》BY DJ'YE X WWWLAE66COM GAMBL!NG W3BS!T3 PR!VAT3 R0JAK M!X 2K19 by DJ'YE_Y'P'DJS. Ii TABLE OF FORMULÆ, FMSN15/MASM23, Twodimensional random variables (12) Joint distribution function for the two random variables Xand Y F X;Y(x;y) = P(X x\Y y) (13) Joint probabilitymass function for the two discrete random variables Xand Y p. Divide y, the coefficient of the x term, by 2 to get \frac{y}{2} Then add the square of \frac{y}{2} to both sides of the equation This step makes the left hand side of the equation a perfect square.
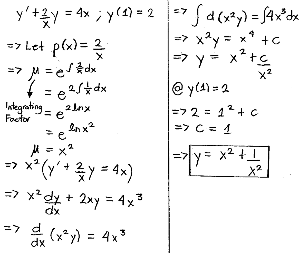
In mathematics, an integrating factor is a function that is chosen to facilitate the solving of a given equation involving differentialsIt is commonly used to solve ordinary differential equations, but is also used within multivariable calculus when multiplying through by an integrating factor allows an inexact differential to be made into an exact differential (which can then be integrated. 5/1/21 · Thanks for contributing an answer to Mathematics Stack Exchange!. (p x, p y, m), y?.
U y P X v y ` ` b v f c C t @ X i y P X N b N X t O b Y V w G M L N ^ Chip and Dale ̏t ̐V g ^ X e V i l C u ` b v f v ̉ 炵 g ^ X e V i V Y B c ͒ l C A C e u c C t @ X i y ` v y ⏬ Ȃǂ Ď o Ďg ₷ ق ɂ f U C ̕ 낢 날 ̂ő Ⴈ B E T C Y F 185 ~85 ~60mm E f ށF V w / 킢 / ̎q/ w / w. Yp=m(xq)forx Simple and best practice solution for yp=m(xq)forx equation Check how easy it is, and learn it for the future Our solution is simple, and easy to understand, so don`t hesitate to use it as a solution of your homework If it's not what You are looking for type in the equation solver your own equation and let us solve it. 3 7 6 3 5 4 3 2 1 0 # !.
Y P X ̔ z } ~ R p c @M58 ~3 p b N @ h ̏ i y W ł B z Z ^ ʔ DCM I C ւ悤 I IDCM z } b N ADCM J } ADCM _ C L ADCM T ADCM 낪 ˂ Ńz Z ^ P ʂ̂c b l z f B O X ^ c ̃l b g ʔ̂ł B. Аݗ A l N ƁA s Y n A e ̎ Ə p A Y D ɐŖ ̎戵 ɔz āA őP ̉ Ă ܂ B h L N X i x m b N X Ёj p ۑ ̃y p X. K C ̏h z e s n } 猟 ė\ I ͔ ق 瓹 k ͒t A ͖ܘ_ A ͒m ܂ŁI h z e ܂őS3,100 ȏ ̏h f ^ Əh \ B.
" y P X M e ʕM " T Ȃ牿 icom ցB S ̃l b g V b v ̉ i A l C ̃ L O A N ` R ~ ȂǖL x ȏ f ڂ Ă ܂ B ̏ i ̒ 炠 Ȃ T Ă " y P X M e ʕM " r E ł ܂ B. X y P(x,y) 9 M Hauskrecht Nested quantifiers • More than one quantifier may be necessary to capture the meaning of a statement in the predicate logic.

Solved Find Mx My And X Y For The Laminas Of Uniform Chegg Com

Ex 12 3 2 Given That P 3 2 4 Q 5 4 6 Collinear

Two Independent Random Variables X And Y Are Uniformly Distributed In The Interval 1 1 Gate 12 Youtube
M Xypx のギャラリー

Engg 40 C Probability Models And Applications Spring

The Foundations Logic And Proofs Chapter 1 Part

Pdf Analytic Geometry Formulas 1 Lines In Two Dimensions Miguel Ceballo Academia Edu

Slope Intercept Form Of A Line Properties Of The Linear Function

M X N Y A Px Qy 0 Solve For X And Y Pls Fast Brainly In

The Slope Intercept Form Of The Equation Of A Straight Line Emathzone

If F Prime X M X M X P M X P Nn P N P M X 2n M X 2n P M X 2n P

Solved Find Mx My And X Y For The Laminas Of Uniform Chegg Com
If P X Q Y M And Q X P Y N Then What Is X Y Equal To Quora

Linear Equation Wikipedia

Y Mx B Lessons Blendspace

Lagrange S Linear Equation

Slope Wikipedia

Ml Aggarwal Solutions For Class 10 Maths Chapter 11 Section Formula

Solved The Curl Vector Of A Vector Field In Space F M X Chegg Com

Euler S Method We May Be Used To Finding Solutions For By Pollux Rey Medium

Prove The Following By Using The Principle Of Mathematical Induction For All N N X2n Y2n Is Divisible By X Y Mathematics Shaalaa Com

Joint Probability Distributions Leadership In Engineering Ppt Video Online Download

Chapter 1 Maths 3
The Graphs Of Y P X For Some Polynomials For Questions 1 To 4 Are Given Below Find The Number Of Zeros In Each Case Sarthaks Econnect Largest Online Education Community

Solved Prove Trivially That Rho Xy Sigma Infinity N Chegg Com

Section Formula Internal Division External Division And Midpoint Formula

Chapter 5 2 D Transformations Contents 1

Graph Graph Equations With Step By Step Math Problem Solver
Let A Line Y Mx M 0 Intersect The Parabola Y 2 X At A Point P Other Than The Origin Sarthaks Econnect Largest Online Education Community

Find The Ratio In Which The Line 2x 3y 5 0 Divides Class 11 Maths Cbse

Engg 40 C Probability Models And Applications Spring

Naive Bayes Classifier Bayesian Inference Central Limit Theorem Python C Implementation By Tarlan Ahadli Towards Data Science

Specialization In Hierarchical Learning Systems Springerlink

Pdf New Extension Of P Metric Spaces With Some Fixed Point Results On M Metric Spaces

Line L Contains The Points 2 3 And P Q If Q 2 Which Of The Fol Problem Solving Ps

Example Suppose X Uniform 2 4 Let Find Ppt Download

The Line X Y P Meets The X And Y Axes At N Db Respect

Draw The Perpendicular Bisector Of Xy Whose Length Is 10 3cm
Short Y Mx C Activity Teaching Resources
Rosen Nested Quantifiers Gate Overflow

Calameo Factorizacion

Y Mx C High Resolution Stock Photography And Images Alamy

Cartesian X Y And Frenet L D Coordinates For A Point P Position Of Download Scientific Diagram

If F Prime X M X M X P M X P Nn P N P M X 2n M X 2n P M X 2n P

Question 1 The Graphs Of Y P X Are Given In Fig 2 10 Below

The Line Y M X B Intersects The Parabola Y X 2 In Points A And B See The Figure Find The Point P On The Arc Aob Of

Point Slope Form If A Fixed Point P0 X0 Y0 Slope M Of Line Is Know We Can Write The Equation Of The Line Let P X Y Be An Arbitrary Point On L Then Y Y0 M X X0 Numerical Find The Equation Of The Line Through 2 3 With Slope 4 Solution Here

If The Coordinate If A Point M Are 2 9 Which Can Be Expressed As 1 X Y 2 And Y 0 Then Find In Which Quadrant Mathematics Topperlearning Com O4eqoeoo

If Log Xy 3 M And Log X 3 Y 2 P Find Log X 2 Y In Term Of M And P Mathematics Topperlearning Com Ge7q6onn

Assignment On Random Variables

Pdf Ch 2 Random Variables Qihui Hu Academia Edu

Line In Coordinate Plane Slope Intercept Form Of Line Y Mx C The Two Point Form Of The Equation Of A Line
Suppose That X Binomial N P And Y Binomial M P Suppose Also That X And Y Are Independent What Is The Distribution Of X Y Quora

Chapter 1 Maths 3

Lesson 3 Math Online Lessons

Civil Services Qn C28 Let X Y Be The Volumes M N Be The Masses Of Two Metallic Cubes P Youtube

Fallsem 21 Mat01 Eth Vl Reference Material I 15 Jul Mat01 Se Book Module 1 1 Pages 301 350 Flip Pdf Download Fliphtml5

3 3 Equations Of Lines Mathematics Libretexts

If The Distance P X Y From The Points A 3 6 B 3 4 Are Equal Prove That 3x Y 5 Please Explain Brainly In

Lagrange S Linear Equation

Module Ma0001np Foundation Mathematics Lecture Week Ppt Download

Lagrange S Linear Equation Method Of Multipliers Mathematics Stack Exchange

Ex 4 1 21 Prove X2n Y2n Is Divisible By X Y Class 11
How To Write Equation Of Straight Line 3 Video Dailymotion

Ppt Y Mx B Powerpoint Presentation Free Download Id

Engg 40 C Probability Models And Applications Spring

Reverse Torsion Dihedral Angle To Find Coordinate Point X Y Z Stack Overflow

How To Find P X Y Where X And Y Are Random Variables Mathematics Stack Exchange

Y Mx C High Resolution Stock Photography And Images Alamy

Solved Suppose That X Binomial M Theta And That Y B Chegg Com

Msbshse Solutions For Class 9 Maths Part 1 Chapter 3 Polynomials

Graphing Linear Function Linear Function F X Mx C

Chapter 1 Maths 3

Circle Tangent Point Form

School Of Engineering And Digital Sciences Prezentaciya Onlajn
1 Vytah

Y Mx C High Resolution Stock Photography And Images Alamy

Algebra Precalculus

Ex 14 5 3 Draw The Perpendicular Bisector Of Xy Whose Length Is

If The Equations Y Mx C And X Cosalpha Y Sinalpha P Represent The Same Straight Line Then

Introduction To Coordinate Geometry

Predicate Logic Answer Discrete Structures Computer Science Cse 260 Docsity

Cv2 Getrotationmatrix2d Theailearner

Solved 5 Let X And Y Be Independent Random Variables Wi Chegg Com

Condition For The Line Y Mx C To Be A Tangent To The Circle And Finding The Point Of Contact Formula Solved Example Problems

Chapman Kolmogorov Equations For Transition Kernels Having Lebesgue Decomposition Mathematics Stack Exchange

Find The Solution Of The Equations P X Q Y M And Q X P Y N Brainly In

Solved 1 Solve The Differential Equation Yd Rydy Given Chegg Com

Edexcel Core Mathematics C1 May 17 Worksheets Videos Examples Solutions Activities

Unit I Random Variables Part A Two Marks Pdf Free Download

Graphing Linear Equation The Point Slope Form Of A Line

Pde Unit 1

Probability In Robotics Trends In Robotics Research Classical