An Kh Kv
N/K/A is listed in the World's largest and most authoritative dictionary database of abbreviations and acronyms N/K/A is listed in the World's largest and most authoritative dictionary database of abbreviations and acronyms.
An kh kv. N/K/A steht für Jetzt bekannt als Wenn Sie unsere nichtenglische Version besuchen und die englische Version von Jetzt bekannt als sehen möchten, scrollen Sie bitte nach unten und Sie werden die Bedeutung von Jetzt bekannt als in englischer Sprache sehen Denken Sie daran, dass die Abkürzung von N/K/A in Branchen wie Banken, Informatik, Bildung, Finanzen,. 5 5 ,1 J u b e lt, ih r L a n d e , d e m H e r r n ( K v z u P s 9 8 ) 4 8 4 ,1 / 4 8 4 ,2 5 6 ,1 F r e u t e u c h W ir s in d G o tte s V o lk ( K v z u P s 1 0 0 ) 6 4 6 ,1 / 7 2 2 ,1 / 7 4 1 ,1 5 7 ,1 M e in e S e e le , p r e is e d e n H e r r n ( K v z u P s 1 0 3 ) 5 2 7 ,3 /. KHONS Anzeige Tabelle Liste Anzeigen nach Anzeige per Seite Adapter Typ 1 auf Typ 2 (32A/230V) Gussstück Mit diesem kompakten GussAdapter verbinden Sie Ihr Fahrzeug mit Typ 2 Ladeanschluss mit einer Ladestation, welche über ein fixes Kabel mit Typ 1 Stecker verfügt € inkl MwSt exkl Versand Adapter Typ 2 auf Typ 1 (32A/230V) Mit diesem Adapter.
K V 16 V V K Name K Datum KV 002 V v Qu qu X x Y y C c Sp sp St st Pf pf ß ng ck tzie Ä ä äu Buchstabenkärtchen zur ZebraSchreibtabelle K V 16 V V K Name K Datum KV 003 M A N L E H Ch I R B O P S U Z D Au T W Ei F Sch Eu J G Ö K Ü Buchstabenkärtchen zur ZebraSchreibtabelle K V 16 V V K Name K Datum KV 004 V Qu X Y C Sp St Pf Ä. Bedeutungen von N/K/A Das folgende Bild zeigt die am häufigsten verwendeten Bedeutungen von N/K/A Sie können die Bilddatei im PNGFormat für die OfflineVerwendung herunterladen oder per EMail an Ihre Freunde sendenWenn Sie ein Webmaster einer nichtkommerziellen Website sind, können Sie das Bild von N/K/ADefinitionen auf Ihrer Website veröffentlichen. Frank Van Herwegen (born in Schoten, Belgium on December 10, 1970) better known as DJ FRANK, sometimes DJ Frank, DJ FRANK or Dj Frank is a Belgian DJ and record producer with great number of charting hits in Belgium, and at times in the Netherlands, France and Finland He started at 16, DJing at social events and worked as a record seller in Antwerp working for 4.
È k n j W b } s y á S O W þ V n j ± u t ¨ ñ ç ¢ ñ r y 7 v 2 b ö ² C O j k X b j } E V z ¨ ñ ç ¢ ñ k V ^ h ° ` è v ® s O Q b W 1 f b j } S ?. Liegen gehen lachen spielen kaufen sitzen malen schreiben A 1 S R L G 1 S A E L S H L E A E 1 r s N M A N 1 P o K S b B 1 E G B c r A A C H E E K H G A N E 1 D H L A M A E D E s A Freitag, der 27 November , ist an unserer Schule ein Ferientag Die Anmeldezettel. Bedeutungen für die Abkürzung "Ank, ANK" Alle Bedeutungen im Überblick Ähnliche Abkürzungen zu Ank, ANK Abkürzungen online Jetzt Abkürzungen & Bedeutungen auf Woxikon ansehen!.
E i n b l i c k 3 6 J u l i e B l u m e r R o ß m a r k t 3 6 7 3 7 2 8 E s s l i n g e n a m N e c k a r 0 1 57 78 79 25 11 ( d i r e k t ) 0176 45 78 45 69 ( L a d e n ) Ö f f n u n g s z e i t e n Mo Mi R u h e t a g Di 1013 Uhr, 1418 Uhr Do 1013 Uhr, 1419 Uhr Fr 1013 Uhr, 1419 Uhr Sa 1016 Uhr. H ~a(x r) = i r f¨ur alle 0 ≤r < k} = {(y 0,,y k−1) ∈U k;. K d D ;.
A N Z X \ ̕ TOP ɖ߂ @ s k V n1224 j E _ r V K @ s @ i ݂ AMIYATSUKI j ( \ A ₢ 킹 ͂ C y ɘA j (c)obanzai MIYATSUKI ALL RIGHTS RESERVED. K−1 ≤ c nk, wenn h ∈Hgleichverteilt gew¨ahlt wird EADS 44 Perfektes Hashing 139/598 ľErnst W Mayr Satz 38 H k,n ist (c,k)universell mit c = (1 n p) k Beweis Da Z p ein K¨orper ist, gibt es f ¨ur jedes Tupel (y 0,,y k−1) ∈Uk genau ein Tupel (a 0,,a k−1) ∈Zkp mit kX−1 j=0 a jx j r = y r mod p f¨ur alle 0 ≤r < k Da es sich hier um eine VandermondeMatrix. K V A L I T E T S O C H MI L J Ö P L A N K V A L I T E T S P L A N 1 0 O r g a n i s a ti o n m e d a n s v a r s fö r h å l l a n d e n o c h b e fa ttn i n g s b e s k r i v n i n g a r K o n t a kt e r o ch ko n t a kt p e rso n e r, f ö rh å l l a n d e K u n d / B e st ä l l a re / B yg g p l a t sa n sva ri g o ch K l i n g b e rg s E l e kt ri ska A B 1 1 P r o j e k tl e d.
42 Followers, 15 Following, 2 Posts See Instagram photos and videos from Mayank Vaish (@m_a_y_a_n_k__v_a_i_s_h__5252). L O V E B A N I S A k H R Gefällt Mal Just For Fun. Was bedeutet die Abkürzung „kA“?.
3 fa c h h ö h e r e S te r b l i c h k e i t a l s d i e me i s te n a n d e r e n Bu n d e s l ä n d e r Die Analysen sind mit statistischer Unsicherheit behaftet, wie es in Abbildung 2 für die nationalen Nowcasts ausgewiesen ist Für eine bessere Lesbarkeit werden diese in Abbildung 3 allerdings nicht explizit ausgewiesen Herauszustellen in Abbildung 3) ist auch, dass sich der. Weltweit Import / Export per Luftfracht oder Seefracht Ensure Pulver Vanille, 400g. ¦i¡¨R¦U©h ¨R«# '¤ ¥ Ï '³ ¯ ¦%¨b¨e¡£¢ ¤ b¥ ¦U ÔË£¹)ÁbÐË£» ÌRÌe¥s¨B©h¥ ¥ ©h¥ Õf '³ Ð Ñ Ë£» Ì ¼Öªib²e©h¥ ÙiÚdÛ ÜdÝ Ù ÔË£¹)ÁbÐË£» ÌRÌ Þ ËßdÌ àe¦N¦%¨ b¥ ²ªi« « b¦dºD¥ b¥ ¸U '¶ ºD« ªi.
Follow @chandan39 L a U G H. Sei (an)n2N eine Folge in V (Vektorraum mit Norm k k) 3) Eine Folge (an)heißt konvergent mit Grenzwert (Limes) a 2 V, falls 8" > 0 9N =N(")2 N 8n N kan ak < " Beispiel (Unendlich–dimensionale) Funktionenraume¨ Endlich–dimensionale Vektorraume¨ (zum Beispiel Rn) Satz (Normaquiv¨ alenzsatz) Je zwei Normen k k und k k0 eines endlichdimensionalen. K R A N K E N H A U S Z W E C K V E R B A N D B A Y R E U T H Stand Seite 2 von 2 4 Empfänger Ihrer personenbezogenen Daten Die Einhaltung datenschutzrechtlicher Vorgaben hat für uns oberste Priorität, sodass nur diejenigen Mitarbeiter mit der Verarbeitung Ihrer personenbezogenen Daten betraut sind, die tatsächlich diese Daten für die oben genannten.
Von Alex52 Nach 11. ¹ K / I JO ' P £ & K / £ ¯ ¯ * Á Ê £ & K / v % 9 » G 2 v » Ú ¯ * â t K /2 ' ' & H ¶ H·¸ 7 ü" Q d ' J ¥ % N á v Q·¸ £ B P £ C v e 5 J ' â v e 5 ¹ K = H ¶ H·¸ 7 3 G Q d ' J ¥ % N á v Q¶ '·¸ £ B Á Ê £ C v e 5 J ' ¶ * â ·¸ * â v e 5 ¹ K = % » û * G J v v £ % » û B Ü ç ÖC * G " % A & = 55 Ü ç"Ý. Y r = i r mod n f¨ur alle 0 ≤r < k} ≤ lp n m k EADS 44.
R x K = ù ± N ú " \ h, S å # a D s Ï Â ¶ I d V § k Í c p v n ã < é ¥ U f Á l H j í j Ë f D l Ï F g & Ê ñ é s J Î ¶ ¢ r ä Á c i I V § ß k # n < v H ¥ a > Í \, K d h ` c p K & v # J = D. K&H® Domino Induktionskochfeld VIN 34 Kundenmeinungen (348) zu K&H VIN34 4,2 Sterne Durchschnitt aus 348 Meinungen in 2 Quellen 5 Sterne 229 (66%) 4 Sterne 49 (14%) 3 Sterne 21 (6%) 2 Sterne 14 (4%) 1 Stern 36 (10%) 4,2 Sterne 347 Meinungen bei Amazonde lesen 1,0 Stern 1 Meinung bei Testberichtede lesen Miserabler Service!. M −a n k {z } Cauchyfolge a n k −ξ {z } Haufungspunkt¨ < ε 2 ε 2 =ε Notation liminfa n = kleinster Haufungspunkt, limsup¨ a n = großter H¨ aufungspunkt¨ 101 41 Konvergenzkriterien fu¨r reelle Folgen 4 KONVERGENZ VON FOLGEN UND REIHEN 42 Konvergenz in normierten Vektorraumen¨ Beispiel Betrachte den Vektorraum C0,1aller stetigen Funktionen auf 0,1 Fu¨r.
Auf Abkuerzungnet finden Sie eine Zusammenstellung der meisten Abkürzungen die es gibt Unter anderem auch die Abkürzung für kA Abkürzung oder auch Abbreviatur wie der Begriff „kA„, bezeichnet eine verkürzte Darstellungsform eines längeren Wortes oder einer längeren Wortgruppe Es existieren auch Wortarten, die eine abkürzende. Veranstaltungen Termine Es wurden keine Termine gefunden. Read S z á z h e t v e n k i l e n c 🔞 from the story BNHA mémek by Lissa_Cooper (A bűnös birodalom örököse) with 1,10.
P r o d u k t r e i h e , d i e s i c h i d e a l f ü r k l e i n f o r m a t i g e s T r a i n i n g u n d S p i e l e e i g n e t Partner des stabiles Netz durch Reißverschluss (kein. 3055k Followers, 116 Following, 325 Posts See Instagram photos and videos from D I V Y A N K A S I R O H I (@imdivyanka_19). Follow @chandan39 L a U G H I N G B a N K 11 views · March 22 031 Education?.
0311 · H E A N N N S A K v D o E findest du die Wörter ?. R d } þ # \ v u n q b Q b W M s y b }. Sign Up L a U G H I N G B a N K was live December 1, · 35 Views Related Videos 032 Startup ?.
Schnelden Findest du alle Verben, die Sich hier versteckt haben ?. See more of K A Z A N O V A on Facebook Log In Forgot account?. Hier finden Sie Informationen zu Veranstaltungen, zu denen die Kultusministerkonferenz einlädt, an denen sie organisatorisch beteiligt ist oder an denen sie.
Wir hoffen, Ihnen und Ihrer Familie geht es so weit gut Unser Schule und HPTTeam ist. Or Create New Account Not Now Community See All 575 people like this 586 people follow this About See All Contact K A Z A N O V A on Messenger Photographer Page Transparency See More Facebook is showing information to help you better understand the purpose of a Page See. 548 T H E R A N K V E C T O R O F A P A R T I T I O N D e c t h a t e < et a n d V(p e) < £ £ , w h e r e i e {2, 3 , 4 } ?(By t h e c o m p u t a t i.
F r a n k h a t n i c h t R e c h t , d i e m a g n e t i s c h e K r a f t w i r k t d u r c h d i e P a p p e h i n d u r c h Führe den Versuch von Aufgabe 1 noch einmal durch Verwende diesmal statt Pappe ein kleines Eisenblech Achte darauf, dass sich das Eisenblech und der Magnet nicht berühren Beschreibe deine Beobachtungen und erkläre D i e B ü r o k l a m m e r w i r d n i c. N k h Î ö U f Á & Ï H Â ¶ l v n é Á ¥ V § Ï i = , Â ß q < f j v n D ¶ I g H Æ l K d # J s h Í N ú k È ;. K • V A N • A S S C H E – 101 followers, 377 following, 2293 Pins.
1978 gegründet, produzierte die KH Armaturen GmbH vorrangig Standardarmaturen für die Getränkeindustrie Der Name reflektierte zu diesem Zeitpunkt die originären Tätigkeitsfelder der KH Armaturen GmbH Das Produktportfolio hat sich im Laufe der vergangenen 40 Jahre stetig erweitert und verändert Das heutige Leistungsspektrum spiegelt sich somit namentlich kaum mehr unter KH. L a U G H I N G B a N K was live Jump to Sections of this page Accessibility Help Press alt / to open this menu Facebook Email or Phone Password Forgot account?. Satz 38 H k,n ist (c,k)universell mit c = (1 n p) k Beweis Da Z p ein K¨orper ist, gibt es f ¨ur jedes Tupel (y 0,,y k−1) ∈Uk genau ein Tupel (a 0,,a k−1) ∈Zkp mit kX−1 j=0 a jx j r = y r mod p f¨ur alle 0 ≤r < k Damit folgt, dass {~a;.
Listen to music from AnKh like Purgatoire, Fallen & more Find the latest tracks, albums, and images from AnKh. Finden Sie Hohe Qualität K N V Hersteller K N V Lieferanten und K N V Produkte zum besten Preis auf Alibabacom. 1930 Uhr Lesung "Draußen" von Volker Klüpfel und Michael Kobr Sparkasse am Niederrhein, Kundenhalle.
0421 · Liebe Sportkameradinnen und Sportkameraden, nachdem der DSKBSportauschuss den Beschluss über zum Beitrag. J o h a n n N e p o m u k v o n K u r z S c h u l e Förderzentrum mit dem Förderschwerpunkt körperliche und motorische Entwicklung _____ Elbrachtstraße , Ingolstadt Telefon 0841/ Fax 0841/9385– 222 Email kschule@tonlinede 28 April 5 Elternbrief Liebe Eltern!. Terms you should know Y o u ’ l l n e e d t o k n o w t h e f o l l o w i n g t e r m s t o u n d e r s t a n d t h i s d o c u m e n t.

Insects Free Full Text Effects Of Vegetation Strips Fertilizer Levels And Varietal Resistance On The Integrated Management Of Arthropod Biodiversity In A Tropical Rice Ecosystem Html

Devanagari Script Recognition

The Ramsey Cass Koopmans Rck Model
An Kh Kv のギャラリー

Dementia Praecox And Paraphrenia R As These Proceedings Bl N H H 1 Hf P 1 1 H 4 M B R 4 Tar I K H Bf V1 S Sshhp I

Three Novel Mutations In A Galactosidase Gene Involving In Galactomannan Degradation In Endosperm Of Curd Coconut Sciencedirect
Esi Executive Committee Entomological Society Of India

Partial Differential Equations Solved Problems

Identifying Essential Proteins In Dynamic Protein Networks Based On An Improved H Index Algorithm Bmc Medical Informatics And Decision Making Full Text

Solved Let H And K Be Subspaces Of A Vector Space V The Chegg Com
Red Clover Science Springerlink

National Data Privacy Day How To Protect Your Data It Ology

How To Teach Blending Sounds To Read Words Reading Simplified

Ladin Language Alphabet And Pronunciation Vowel Diphthongs Diphthongs Language

Articulation Cards K G F V H Ng Nk Sounds Speech Therapy

Secure And Practical Access Control Mechanism For Wsn With Node Privacy Sciencedirect

Solved Let H Be The Parity Check Matrix Of An N K Line Chegg Com
Comparison Of Net Http And Httprouter By Gaurav Sarma Medium

Judaism 101 Hebrew Alphabet

The Swiss Knife Polynomials

A Polyomavirus Peptide Binds To The Capsid Vp1 Pore And Has Potent Antiviral Activity Against Bk And Jc Polyomaviruses Elife

Font Stylization Of The Letters V And B C D E F G H K L

Letter Formation The Ot Toolbox

Endogenous Iqgap1 And Iqgap3 Do Not Functionally Interact With Ras Scientific Reports

Samoan Language Alphabet And Pronunciation

Energetic Topographic Rossby Waves In The Northern South China Sea In Journal Of Physical Oceanography Volume 49 Issue 10 19

K 57 Pill Images Gray Round

Regarding Proof Of Hermite Polynomials Identifying Coefficients In Two Series Mathematics Stack Exchange

I Will Venmo 5 For A Good Grade B Or Above A T Chegg Com

Articulation Cards K G F V H Ng Nk Sounds Speech Therapy

Chapter 4 Cryptographic Hash Functions 1 Outline N

Image From System Matrix
1 Vytah

1 Chapter 4 Cryptographic Hash Functions 2 Outline 4 1 Hash Functions And Data Integrity 4 2 Security Of Hash Functions 4 3 Iterated Hash Functions Ppt Download

Articulation Cards K G F V H Ng Nk Sounds Speech Therapy

An Improved Algorithm Based On Bloom Filter And Its Application In Bar Code Recognition And Processing Eurasip Journal On Image And Video Processing Full Text

Observer Based H Consensus For Linear Multi Agent Systems Subject To Measurement Outliers

Solved Objectives Understand Circular Convolution And Un Chegg Com

Numerical Simulation Of Coupled Nonlinear Schrodinger Equation By Rdtm And Comparison With Dtm Scialert Responsive Version

Figure 2 1 Graphic Representation Of A Discretetime
Ramesh Kv Associate Manager Hr Goodrich Aerospace Linkedin

Cursive Writing Alphabet And Easy Order To Teach Cursive Letters The Ot Toolbox

Characterization And Refinement Of Monoclonal Anti Human Globulins That Lack Reactivity With Human Igg4 Howie Transfusion Wiley Online Library

Solved Prove That X N Infinity K Infinity X K Del Chegg Com

An Improved Algorithm Based On Bloom Filter And Its Application In Bar Code Recognition And Processing Eurasip Journal On Image And Video Processing Full Text

The Ratios Kp 1 P 2 N K H 1 K 1 2 N K L 1 And Kv 1 V 2 N Download Scientific Diagram

Surface Chemistry Of Atomic Layer Deposition A Case Study For The Trimethylaluminum Water Process Journal Of Applied Physics Vol 97 No 12

The Ratios Kp 1 P 2 N K H 1 K 1 2 N K L 1 And Kv 1 V 2 N Download Scientific Diagram

A Novel Mdd Based Bem Model For Transient 3t Nonlinear Thermal Stresses In Fga Smart Structures Intechopen

Java Arraylist Heap Implementation Stack Overflow

Spatial Patterns Emerging From A Stochastic Process Near Criticality Biorxiv

Font Stylization Of Letters J And X B E A D Y V W T Z R P N M L K H Font Composition Of The Logo 3 Brochure Design

Variance In Estimated Pairwise Genetic Distance Under High Versus Low Coverage Sequencing The Contribution Of Linkage Disequilibrium Biorxiv

The Ratios Kp 1 P 2 N K H 1 K 1 2 N K L 1 And Kv 1 V 2 N Download Scientific Diagram

Let H Be A Normal Subgroup Of A Group G And Let K Be Any Subgroup Of G Prove That The Subset Hk Homeworklib

K Wikipedia

Solved Consider The Convolution Of The Sequence X N And Chegg Com

Ppt V V 0 V 1 V N 1 Code Vector V 1 V N 1 V 0 V 1 V N 2 Powerpoint Presentation Id
Comparison Of Nexafs A B K Edge And B N K Edge Spectra Of The H Bn Download Scientific Diagram

Sustainability Free Full Text Application Of Artificial Intelligence Techniques To Predict The Well Productivity Of Fishbone Wells Html

Analysis Of Amino Acid Residues Involved In The Thermal Properties Of Isocitrate Dehydrogenases From A Psychrophilic Bacterium Colwellia Maris And A Psychrotrophic Bacterium Pseudomonas Psychrophila Sciencedirect

Graphsage Notes

K Mercounting Assignment Cse231 Wiki
Schistosome Infectivity In The Snail Biomphalaria Glabrata Is Partially Dependent On The Expression Of Grctm6 A Guadeloupe Resistance Complex Protein

Vertex Cut Vertex Cut A Separating Set Or Vertex Cut Of A Graph G Is A Set S V G Such That G S Has More Than One Component D F B E A G C I

Z L M N O P Q R S T U V W
Moving Average Wikipedia

The Hebrew Alphabet Aleph Bet

Futures Trading Reference Guide Bettertrader Co

Baby Girl Names That Start With K

The Alphabetic Code Made Easy

For Loops With Multiple Variables Python Stack Overflow

Mocheno Language Alphabet And Pronunciation

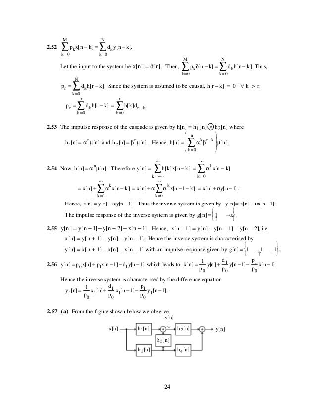
Digital Signal Processing 2nd Ed Mitra Solution Manual

Medical Image Analysis Based On Deep Learning Approach Springerlink

Algorithms In The Real World Error Correcting Codes

C I T A C I E P U B L I K O V A N Y C H P R A C 09

Convert Words To Pig Latin Python Geek Tech Stuff

On The Agenda Control Problem For Knockout Tournaments

Us Spinal Care Practice Among First To Issue Healthcare Data Breach Warning In 21 The Daily Swig

Consider The Set L Of Strings Over The Alphabet A Chegg Com

Amazon Com Hk Part Cpu Heatsink Replacement For Hp Pavilion 14 P 15 P 17 P 15 K 14 V 17 F Series Intel Integrated Graphics Cooling Heatsink P N 001 Computers Accessories

Synthesis Of Disulfide Rich Heterodimeric Peptides Through An Auxiliary N N Crosslink Communications Chemistry