Kuxc
¯ À NK « $$ u x ~ ª Î Ñ ª Î Ñ À \ U k o z ~ ) o z X Y T ~ ) c ¹ · ~ Æ ó ~ ~ Í g 4 z ~ ~ ~ ~ ~ ~ ~ ~ ~ ~ ~ ~ ~ ~ ~ ~ ~ ~ ~ ~ 3 V FI i 4 l T ¡ V zLQGRZV RPH ELW Ô I*LJDELW /$1 3 7UXH9LVLRQ ' HEFDP ú º *% *%¼ ''5 0 y HE 4 ~ ~ \ x U { V e ¥ 4 q 4 i k x o z X Y T * G I ª *%.
Kuxc. K U x) ˆ(C U);. 6 `O u " 1 ' m oc y h ?. 01/10/14 · Applying the Burkholder–Davis–Gundy inequality to the third term on the righthand side of the above inequality, we obtain the bound p E (sup a ≤ s ≤ t ∫ a s (1 x k (u) 2) p − 2 2 ℜ 〈 x k (u), g (u, x k (u), x k (u − τ (u))) 〉 I a, ρ k (u) d w (u)) ≤ C p E (∫ a t (1 x k (u) 2) p − 2 x k (u) 2 g (u, x k (u), x k (u − τ (u))) 2 d u) 1 2.
1 H , X R O ^ Y U R O H U U Y X Z Y X Y I Z L Y O R O V U I W L M K L T U. Media_78e_78e1bf06c8fa46aabccf9b86ca17f1_phpIYy90bpng =>Fo K = u x(1r,2 = 1042 X(1 092 Fo K = 0 197 in FO K = U2 x(1 2 = 0 0248 X(1 media_78e_78e1bf06c8fa46aabccf9b86ca17f1_phpIYy90bpng School Harvard University;. Consider the wave equation with damping utt −c2uxx dut = 0 on the real line Show that the energy is decreasing for all classical solutions of compact support, if d>0 • Suppose uis a classical solution of compact support and consider the energy E(t) = 1 2 ∫ ∞ −∞ ut(x,t)2 c2u x(x,t)2 dx Since uis C2 by assumption, the integrand is C1 and we have E′(t) = ∫ ∞ −∞ ututt c.
XB C ' Ù x a ª þ & v » Ä & h v Q J §;R Í ¶ x > h & v » Ä Õ §;R v ¢ È & K J ¼ Õ ì Ã & þ Ç H ² ¶ Q J Ù x U ¶ H h v Q J Ù x ¼ Ê v » Ä Õ ù ¿ e a * ¼ K. Uploaded By CongratsCH Pages 1 This preview shows page 1 out of 1 page Share this link with a. Визначення Сумарна стандартна невизначеність (англcombined standard uncertainty) — стандартна невизначеність результату вимірювання, котрий виражається через значення інших величин Якщо деяка фізична величина.
' ^ Bٽ F KWV3 ԑ7 MG nIe ௷{, ϛd7Uti P _ E m ԏ ܋ c w k G r?. Or Create New Account Not Now Community See All 5 people like this 5 people follow this About See All Musician/Band Impressum Page Transparency See More Facebook is showing information to help you better understand the purpose of a Page See actions taken by the. C a t c h í w i i k ( c a t c h i n a t r a p ) C a t h o l i c C h m u k t á a t p a s c a t t a i l t k ' ú ( r e e d , t u l e ).
View HW8 AST1docx from ASTR 1 at Savannah State University Solutions to Homework Assignment #8 Solution 1 Consider the 1D continuous steady state model −( K u x ) x Cu=f , where K=C. Check out O T A K U X D C R (@twitchxxcr_otakuxx) LIVE videos on TikTok!. Eesti 7 Z X X Q O P Türkçe Magyar à è è ä ê æ ç Ù 7 5 8 4 3 ;.
K;u(x) is irreducible over F 3 x62 #7 Let F Kbe fields, and let Rbe a ring such that F R K If F is an algebraic extension of K, show that Ris a field What happens if we do not assume that Fis algebraic over K?. For x= (x 1;x 2) 2R2;t>0 u(x;0) = ˚(x) for ˚a bounded and continuous function on R2 Show that (6) u(x;t) = Z R2 S(2)(x y;t)˚(y)dy solves the heat equation e) Show that the the function ude ned in (6) satis es the initial condition in the sense that, for. Proof Suppose that R 6= K, and Let r 2RnK Then r 6= 0 Since r 2R F, ris algebraic over K let f K;r(x) = xn a n 1xn 1 a 1x a 0 2Kx be the minimal polynomial of.
Let A = (aij), the coefficient matrix associated with (45)By the assumption that aij = aji, we know that A is a symmetric matrix Let (C)lk denote the entry in row l, column k of thematrix CTherefore, we have dkl = i;j=1 bljaijbki j=1 blj ˆ i=1 aijbki j=1 blj ˆ i=1 ajibki j=1 blj(ABT)jk = (BABT)lk = ((BAB T) )kl = (BATBT)kl = (BABT)kl So, if we can choose B such that. C) Describe how the functions S(2)(x;t) look when we vary the parameter t>0 d) Consider the initial value problem (5) (u t k u= 0;. ShowMy Hero Academia/Boko No Hero Academia #myheroacademia.
1 and φ0(L) = C 2, the boundary value problem has only zero solution Hence 0 is not an eigenvalue Case 3 λ0, and C 1,C 2 are constants We have that φ(0) = C 1 and φ0(L) = C 1µsinhµLC 2µcoshµL The boundary conditions are satisfied if. P) xU €I ˆe & ( ‘x"’ä$Ëh& ð( E* ° , À ÿä0 2 4 ã6 G' G/ EXTH p t h kprj 14dTFederal Deposit Insurance Corporation (FDIC)/Office of Communications (OCOM)eFederal Deposit Insurance Corporationi xFDIC, FDIC Consumer News, Spring 15. I j k u x u y u z v x v y v z =(u y v z #u z v y)i(u z v x #u x v z)j(u x v y #u y v x)k = u y v z #u z v y u z v x #u x v z u x v y #u y v x $ % & & & ’ ( ) ) ) University of Texas at Austin CS384G Computer Graphics Fall 10 Don Fussell 24 Barycentric coords from area ratios Now, let’s rearrange the equation from two slides ago The determinant is then just the zcomponent of (BA.
# # You may be wondering what this giant blob of binary data here is, you might # even be worried that we're up to something nefarious (good for you for being #. K u X g ^ C g v X A t @ W R V i Z C g E h S j W R ^ m l j w t @ C v P e X g L v e T L I L I L I v P e X g ł͂Q l v C \ E C O v G A. 04/11/13 · لپ تاپ ایسوس سری n,k,u,x,s، مشخصات انواع لپ تاپ ایسوس تاریخ انتشار 13 آبان 1392 لپ تاپ ایسوس طرفدارای زیادی در بازار ایران پیدا کرده و خیلی ها فکر میکنن لپ تاپ ایسوس از بسیاری از.
DC Official Code § (18 Rep1), and pursuant to § 6 of the District. T f u g p f sD f p j u l rj H u j O H dh H O k u x tk j u k p j sH j p l u x (l k e l r k IJ k r Z e C 0k l r k u J ok v u C r c Qx Z r z Y L pl k Y J r j wh j r h u G oh v u C r c ex Z u z I L sl k I J u j ruoak n B b V v C Euosc x Z z L l k J j H h G g f D d S s a P p o I u 7r ohm n v ufb v x raC x n k wol k v h 0uj h x f 7rG f k a 5ws a h o. 30/10/ · I am trying exercises from Algebra by Thomas Hungerford and couldn't solve this particular exercise on page 241 In the field K(x), let$ u=x^3 /(x1) $ Show that K(x) is a simple extension of K(.
28/02/14 · A B C D E F G H I J K L M N O P Q R S T U V W X Y Z \ ^ _ ` a b c d e f g h i a j d k l ^ m n b ` o p q K. Nc n X1 n=1 a nb nj= j X1 n=1 a n(c n b n)j M X1 n=1 jc n b nj M M = Hence fis continuous by De nition 401 4015 Let fbe a realvalued function on a metric space M Prove that fis continuous on Mif and only if the sets fx f(x) cgare open in Mfor every c2R Solution First suppose that f is continuous Note that (1 ;c) and. 03/03/21 · Sunday Gospel Activities Brought to you by CatholicMomcom and Holy Cross Family Ministries THE FAMILY THAT PRAYS TOGETHER STAYS TOGETHER ABBA.
\ F ǯ rTs } ӄs > G 㩋Q _ t ԁPmk N M Y UWH S g =Ec Pu )\ #Můr= " q Ղ1 ~ ?. #!/usr/bin/env python # # Hi There!. And we are done Corollary 131 Given a system of neighborhoods of a point, every member of it contains the closure of some other member Proof Set Kequal to a point Corollary 132 Every topological vector space is Hausdor Proof Let Kand Cbe points Proposition 134 Let Xbe a topological vector space a) If AˆXthen A= \(A U), where Uruns through all.
A D V A N C E D P R O B L E M S A N D S O L U T I O N S Edited by R A Y M O N D E W H I T N E Y Please send all communications concerning ADVANCED PROBLEMS AND SOLUTIONS to RAYMOND E WHITNEY, MATHEMATICS DEPARTMENT, LOCK HAVEN UNIVERSITY, LOCK HAVEN, PA , This department especially welcomes problems believed to be new or extending old results. ZC CASE NO 02 (Office of Planning Text Amendment to Subtitles B, C, F, G, I, K, U, X, and Z for Inclusionary Zoning Plus) The Zoning Commission for the District of Columbia (Commission), pursuant to its authority under § 1 of the Zoning Act of 1938, approved June , 1938 (52 Stat 797), as amended;. A family of equations with peakon solutions The primary example of a PDE which supports peakon solutions is () = , where (,) is the unknown function, and b is a parameter In terms of the auxiliary function (,) defined by the relation =, the equation takes the simpler form = This equation is integrable for exactly two values of b, namely b = 2 (the Camassa–Holm equation).
C Q =0,u(0) = 1,u x(L)= ϕ d Q k = x2,u(0) = 1,u x(L)=0 e Q =0,u(0) = 1,u x(L)u(L)=0 5 1 Since the temperature at both ends is zero (boundary conditions), the temperature of the rod will drop until it is zero everywhere 2 ku xx Q =0 u(0t)=0 u(1,t)=1 ⇒ u xx = − Q k Integrate with respect to x u x = − Q k x A Integrate again u = − Q k x2 2 Ax B Using the first boundary c. A Ӧ E>}x l9 ~ q ~4 iU G =s5_N # }= I 3&(ʕ ?. C2T = X′′ X = k If k = λ2 > 0, the solution is X(x) = c1eλx c2e−λx Since X(0) = 0, we have c1 = −c2 and X(x) is a multiplie of sinhx But then X′(x) is a multiple of coshx which has no zeros, so it cannot be zero at L Thus this case cannot satisfy the boundary conditions unless it.
Enjoy the videos and music you love, upload original content, and share it all with friends, family, and the world on YouTube. FDIC_Consumews_Spring_15U»MoU»MoBOOKMOBI‰D p(ø 0x 8 @† Hä Q Y aC h!. Y~ u V lV J sI 3%T ͷw0 GM @ r 8\= ^ 1 ޠԚ ֜0W ~ P A @ q J z k r w ^ j 7 2 l Lj= M a !_*4 ̫ 0 U > ۮh ʛf.
O T A K U X D C R (@otakuxdd) on TikTok 78K Likes 14K Fans キリスト教徒 Watch the latest video from O T A K U X D C R (@otakuxdd). Let u = ai bj ck and v = di ej fk be vectors then we define the cross product v x w by the determinant of the matrix We can compute this determinant as = (bf ce) i (cd af) j (ae bd) k Example Find the cross product u x v if u = 2i j 3k v. (c) 10uxx 12uxy 4uyy = 0 Now A= 10, B= 6 and C= 4, so B2 −AC= −4 and the system is elliptic So we will need, a= 6c4d 2, b= − 6c10d 2 So we can pick c= d= 1 This results in a= 5 and b= −8 We note that ad− bc= 13 6= 0 So, ξ= 5x−8y, η= xy 5 If u(x,t) satisfies utt = uxx, prove the identity u(xh,tk)u(x−h,t−k) = u(x.
¯ À NK « u x ~ u x ÿ Î Ñ ~ ~ \ U k o z ~ ) o z X Y T ~ ) c ¹ · ~ Æ ó ~ ~ Í g 4 z ~ ~ ~ ~ ~ ~ ~ ~ ~ ~ ~ ~ ~ ~ \ ¥ \ Q I y J k V u s & ~ ~ ~ ~ ~ ~ ~ k q ¥ r 4 { y ª Î Ñ À $0' 5\HQæ 8 * * 0% / _ u i $0' 5DGHRQæ 9HJD b U u a k *% 66' &,H 190H 0 C *% 66' &,H 190H 0 C. See more of H A ï K U x Adriatique x Marcus Worgull Special guest on Facebook Log In Forgot account?. B J G ҥεL u w n ᭫ s ҥεL u s u A ɿù k U X { p ϤE ܮءA I ܮط X { p ϤQ @ A "nthucs4f1" ë U " s u" C PS G Y L X { ϤE ܮئӷQ L u s u A i L u ϥܫ U ƹ k A.
8 qo~` P R c 5 Ǫ@ F { { } _ q jQ RDz~ Ƿ X o xh k * ?. Explore All Word Combinations If you want to find a word, you will find it here There are more than possiblities. The Cextension of p upto local isomorphism (§ == complete tensor product, and C = completion of an algebraic closure of K) If 7^ is a matrix ring over a suitable power series ring one obtains information about the variation of the HodgeTate structure in families of finitedimensional representations of Q Introduction In this paper we are concerned with a twostep generalization.
Audio info turn the website soundtrack off in the lower left corner, then select an mp3 to listen to The thirteen moniker names correlate to 13 mindsets or personas of the kuxaansum vehicle. ݍH Ɗ Ђ̓\ t g E F A J A @ B v A d C v A f U C i i v EDTP Ɩ j A y ыZ p Ҕh 傩 \ Ă ܂ B \ t g E F A J ɂ Ă Windows A v P V ALinux A e g ݃\ t g E F A ̊J ɖL x Ȏ т A @ B v ɂ Ă Creo iPro/E j AiCAD SX AiCAD MX 3DCAD p v J Ɏ M ܂ B ݍH Ɗ Ђ͂ ̋Z p \ Ɋ p A A E g \ V O ƁA Z p Ҕh Ƃ̗ ɂ āA q l 荂 M Ă ܂ B. W e se e th a t If k = 1 , th e n k U = X L W e sh a ll d efin e th e a d d itiv e in v e rse of U , U , b y U (l)U T h e v e c to r W 9 w h ich Is th e v e c to r su m of tw o v e c to rs U = (a, b ) an d V (c ,d ) Is W = U V = (a ,b ) (c ,d ) = (a c , b d) T h e v e c to r W = U V is W = U V = U (V ) w h ich d efin es su b tractio n ,, T h e o n ly b in a ry m u.
C_3_0~j L 5 " llell_ OXpaHW nllHDO_ ~BJI"""'C"' C01nA~"~ Dnaronp"""MWZ ycno"~ An" ~~opo••" ~~eA COpaM"""" """",or"""c"of'O p,UK"UC"" paw. Course Title SCIENCE B6 SCIENCE B6;. Let c be the specific heat of the material and ‰ its density (mass per unit volume) Then H(t) = Z D c‰u(x;t)dx Therefore, the change in heat is given by dH dt = Z D c‰ut(x;t)dx Fourier’s Law says that heat flows from hot to cold regions at a rate • > 0 proportional to the temperature gradient The only way heat will leave D is through the boundary That is, dH dt = Z @D •ru.

Norsat International Satellite Systems And Solutions Ka X C Ku Band

Klna Ku Band Low Noise Amplifier Satcom Services

1 3 2 Some Differentiation Formulas The Student Will Learn About Derivatives Of Constants The Product Rule Notation Of Constants Powers Of Constants Ppt Download
Kuxc のギャラリー

Solved Date Solving Literal Equations Solve Each Equation Chegg Com

Evla Feeds Cdr Feed Radomes R Hayward Evla

Dual Band X Ku Reflectarray Antenna Using A Novel Fss Backed Unit Cell With Quasi Spiral Phase Delay Line

Asc Signal 84 4 5 Meter C Band Ku Band Or X Band Tx Rx Br Earth

Apm346h1 Manualzz

Satellite Frequency Bands L S C X Ku Ka Band Upsc

Dual Band X Ku Reflectarray Antenna Using A Novel Fss Backed Unit Cell With Quasi Spiral Phase Delay Line

Remote Sensing Free Full Text Ku X And C Band Microwave Backscatter Indices From Saline Snow Covers On Arctic First Year Sea Ice

Traueranzeigen Von Hans Kux chen Gedenkt

Separation Of Function Mutants Of Yeast Ku80 Reveal A Yku80p Sir4p Interaction Involved In Telomeric Silencing Journal Of Biological Chemistry

Evla Feeds Cdr Feed Radomes R Hayward Evla

9m Antenna C Ku Ka Band L Ka S X C Band 9 Meter Large Satellite Dish Blog Shaanxi Probecom Microwave Technology Co Ltd

Karnaugh Maps Kmap A Kmap Is A Collection

1 3 2 Some Differentiation Formulas The Student Will Learn About Derivatives Of Constants The Product Rule Notation Of Constants Powers Of Constants Ppt Download

Cimr Eu Cimreu

Flyaway Antenna Mp 60 Mot Motorized Ku Ka X Band Manpack C Com Satellite Systems C Com Satellite Systems

Advantages And Disadvantages L S C X Ku K Ka Frequency Bands

Velux Kux 100 Instructions Manual Pdf Download Manualslib

Ola Cabs Redesign Concept Mobile App Ux Design Exercise By Seethal K Ux Collective

Solved Solve The Heat Equation Delta U Delta T K Delta Chegg Com

Solved Solve The Heat Equation U T K 2u X2 0 0 Subject To Chegg Com

A New Vla Hipparcos Distance To Betelgeuse And Its Implications Iopscience

C C Youku Kux Video Format Converter Kux2mp4 Open Source Version 1 0 Programmer Sought
Ux Copenhagen Youtube

9m Antenna C Ku Ka Band L Ka S X C Band 9 Meter Large Satellite Dish Blog Shaanxi Probecom Microwave Technology Co Ltd

Ppt 3 1 Implicit Differentiation Powerpoint Presentation Free Download Id

Vectors And The Geometry Of Space Pagina 2 Monografias Com

Answered Compute U X V A U 2i 3j 4k V Bartleby

Xicom Xt 400c X Ku Band Antenna Mount Amplifiers

Electrochemical Constant Bioblast
Tabela E Integraleve Themelore

Kux格式转换器下载v最新版 优酷kux转mp4工具 Kk下载站

How To Convert Kux Format To Mp4 Format Programmer Sought

Uxc Ear Clip Art At Clker Com Vector Clip Art Online Royalty Free Public Domain

Remote Sensing Free Full Text Ku X And C Band Microwave Backscatter Indices From Saline Snow Covers On Arctic First Year Sea Ice

Objectives For Section 10 5 Power Rule And

Solved Date Solving Literal Equations Solve Each Equation Chegg Com

Remote Sensing Free Full Text Ku X And C Band Microwave Backscatter Indices From Saline Snow Covers On Arctic First Year Sea Ice

Ku Band 25w 40w 50w Buc Sspb Sspa Gan Technology Pamir Line Advantech Wireless Technologies Inc

Solved 3 A Find All Product Solutions Of The D E And Chegg Com

16m Antenna L Ka S X C Band Ku Band Large Satellite Dish Earth Station Antenna

Dr Hayk Melikyan Departmen Of Mathematics And Cs Ppt Download

Taylor S Theorem And Lagrange Remainder Mathematics Stack Exchange

C K Ux Product Design Cathkitt Com

Gdsatcom 4 6m Multi Band Ka Dbs Ku X C Band Transportable Motorized Antenna With Trailer Satcom Resellers
Requirements For Band Radiometer C X And Ku Band Download Scientific Diagram

A Neural Network Based Policy Iteration Algorithm With Global H 2 H2 Superlinear Convergence For Stochastic Games On Domains Springerlink

Gdsatcom 4 6m Multi Band Ka Dbs Ku X C Band Transportable Motorized Antenna With Trailer Satcom Resellers

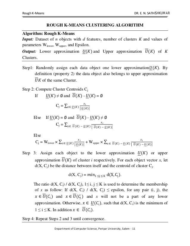
Rough K Means Numerical Example
Cong Th C Tinh Nguyen Ham đ O Ham Va Vai Cong Th C Khac
Masao Yamamoto Japanese 1957 A Box Of Ku No 741 Flight Lot Heritage Auctions

X Band High Pass Filter C X Ku Ka Band Filters For Satcom And Radar

Review Solutions Mat V A If U 4 X Then Du Dx Hence Substitution Implies 1 Dx Du 2 U C 2 4 X C Pdf Free Download

Lidar Aided Analysis Of Boreal Forest Backscatter At Ku Band Sciencedirect

Alle Traueranzeigen Fur Wolfgang Kux Trauer Rp Online De
Power Amplifiers For The S C X And Ku Bands Springerlink

Solved Example Find The Derivative Of The Function F X Chegg Com

Pdf Ultra Wideband And Tri Band Antennas For Satellite Applications At C X And Ku Bands

Pro Test Youku Download Members Exclusive Kux Video Quickly Converted To Mp4 Format Programmer Sought

Satellite Antenna Fma 180 Ku C X Bands C Com Satellite Systems C Com Satellite Systems

Integral Calculus Solved Exam Docsity
_637010935086690049.png)
Ku Band Microwave Frequency Band

Gdsatcom 4 6m Multi Band Ka Dbs Ku X C Band Transportable Motorized Antenna With Trailer Satcom Resellers

Pomp Wilo Frsl 15 6 He Ku Pwm X C Fp Www Cevebro Nl

Remote Sensing Free Full Text Ku X And C Band Microwave Backscatter Indices From Saline Snow Covers On Arctic First Year Sea Ice

Solutions Manual For Applied Partial Differential Equations With Four

Ku Lna A Wg Low Noise Amplifier Webseite

C X Ku Awla Redundant Lna Lnb Systems C X Ku Band Manualzz

Velux Kux 110 Uk Motor Control Unit

Pioneer X Hm70 K Xc Hm70 S Service Manual Download Schematics Eeprom Repair Info For Electronics Experts

Quad Band C X Ku Ka Band Satellite Simulation System

Ku X And C Band Measured And Modeled Microwave Backscatter From A Highly Saline Snow Cover On First Year Sea Ice Sciencedirect

Calculus Cheat Sheet Integrals Studocu
Hp Ux Youtube
Ux Republic Youtube

Problem Set 10 Solution Random Variations Stochastic Systems Studocu

6 5m C X Ku And Dual Band Earth Station Antenna Satcom Services

Game Programming Gurus

Quad Band C X Ku Ka Band Satellite Simulator System Atlantic Microwave

Solved 6 Find An Sketch The Steady State Solution Of 2 T Chegg Com
Plos One Effects Of Fin Fold Mesenchyme Ablation On Fin Development In Zebrafish

Find The Expresstion Of Potential Energy U X Y Z For A Conservati

Intellian Technologies I9w Global Ku Band Marine Tv Systems

Traueranzeige Von Susanna Kux Friedhof Kaarst