2g N Xv
A differential equation is an equation that involves a function and its derivatives Put another way, a differential equation makes a statement connecting the value of a quantity to the rate at which that quantity is changing For example, for a launching rocket, an equation can be written connecting its velocity to its position, and because velocity is the rate at which position changes, this.
2g n xv. 3 product ratings Jet Rochester 2G Circle Track 500 CFM 2 Barrel Carburetor $ FAST 'N FREE List price Previous Price $ D X V S p o n s 7 o Q K r X 0 e d K H V Rebuilt Rochester Carburetor 2GV 1971 Chevrolet Vega Refurbished. MotivationA ne group action on cb(Rn) Global SlicesThe John ellipsoidComputing J(n) The BanachMazur compactaEquivariant conic structure of cc(Rn) Orbit spaces of cb(Rn) Some Motivation For every n 1, lets denote cc(Rn) the hyperspace of all compact convex subsets of Rn, cb(Rn) the hyperspace of all compact convex bodies of Rn, equipped with the Hausdor metric topology. XN n=0 ne−( /τ)n = − d dx Z = − e−x(1 −e−(N1)x) (1−e−x)2 (N 1)e−(N1)x 1−e−x ∼ e−x (1−e−x)2 ∼ e−x Problem 6 (a) This problem is the same as having a onedimensional chain of spins The spin on each lattice site can point left or right If 2s is the “right excess”, then g(N,s) = N 1 2N s.
N= an where nis a positive integer (this follows from rules 6 and 8) 10lim x!a n p x= n p a, where n is a positive integer and a>0 if n is even (proof needs a little extra work and the binomial theorem) 11lim x!a n p f(x) = n p lim x!af(x) assuming that the lim x!af(x) >0 if nis even (We will look at this in more detail when we get to. 2g Finally, we know the initial ycomponent of the velocity from Eq 26, so y max = (v 0 sin˚ 0) 2 =2g E418 The horizontal displacement is x= v xt The vertical displacement is y= gt2=2 Combining, y= 2g(x=v x) =2 The edge of the nth step is located at y= nw, x= nw, where w= 2=3 ft If jyj>nwwhen x= nwthen the ball hasn’t hit the step. (x,v) 2Gn(RN) RN v2x 8 AARON LANDESMAN 24 Operations on vector bundles We now discuss how to make new vector bundles from old ones Definition 219 Given p 1 E 1!X p 2 E 2!X we can form their direct sum E= E 1 E 2defined by a fiber product (23) E E 1 E 2 X We may note that for all x2X, we have.
N (c µ ,!. For all x, y G S and all n = 1, 2, Letting n » 00 shows that fixy) = /(x)/(v)forallx,v G S The crucial step in this proof is the first one where we use the fact that (x v a) 2g(x v) where we have used (1), the fact that/ is even and the definition of g Thus g(x y) = fix)g(y) fiy)g(x) forx,y£G (4) For every x, y £ G. Uploaded By BailiffFang3561 Pages 601 This preview shows page 423 428 out of 601 pages b) V X → V X V Na → NaV.
Fx= 0gx=at x1 kx=at x1fx= 2g(where “=at ” denotes atomic assignment) Nevertheless, many useful OG proofs do not use auxiliary variables, and one might wonder whether such proofs are sound under weak memory models. (G;x) 2G X if,foreveryk 2N and >0,thereexistn k 2N suchthatforalln n k,thereexistsanisomorphism ’ B k(G n) !B k(G) withmax v2B k (Gn)d X(x n v;x ’) < ,where B k(G) (respy,B k(G n))isthesetofverticesinG (respy,G n)that areatmostdistancek fromtherootˆ ThespaceG X canbeequippedwiththemetric d ((G;x);(G0;x0)) = X1 k=1 1 2k 1^ inf ’2I(B. Circular motion, centripetal acceleration, in a uniform gravitational field Problem Find the minimum rotational frequency (ie the number of rotations per second, not the angular frequency) required to rotate a bucket containing 4 liters of water in a circular path in a vertical plane at an arm's length (about 70 cm) without spilling water.
2g sinθcos2θ ˆk 2~L = mv0 3 2g sin2θcosθ ˆk 3~L = − mv0 2 2g sin2θcosθ ˆk 4~L = mv0 2 2g sin2θcosθ ˆk 5~L = − mv0 3 2g sinθcos2θ ˆk 6~L = − mv0 2 2g sinθcos2θ ˆk 7~L = mv0 3 2g sinθcos2θ ˆk 8~L = − mv0 3 2g sin2θcosθ ˆk correct 9~L is in theˆ direction 10~L is in theˆı direction Explanation. N!1in Gand a sequence x n!xin Xsuch that g nx n!y A point x2Xis said to be a wandering point of the Gaction if there is a neighborhood Uof xsuch that (UjU) Gis nite Lemma 6 Suppose that the action G X!Xis wandering at a point x2X Then the Gaction has a Gslice at x, ie a neighborhood W x ˆU which is G xstable and for all g=2G x, gW x. Mar 16, 21 · The present paper extends Stetkær’s Algebraic Small Dimension Lemma on semigroups (Stetkær in Aequat Math, ) by replacing its involution by an antihomomorphism that need not be involutive We apply our result, to give an accessible approach to solve the d’Alembert $$ \mu $$ functional equation and the Wilson $$\mu $$ functional equation on.
U>== Gand F== 0 It is a classical result that, locally, every surface can be parametrised by isothermal coordinates A complete proof of this can be found in 5 We now de ne the important notion of the area of a surface De nition 15 Let X U R2!R3 be a regular parametrisation of a surface. Very often signal and noise are assumed to be orthogonal, S T N = N T S = 0, which is very convenient for maximization of signaltonoise transforms The MNF/SNR transformation thus reduces to solving the problem in Table 4, which leads to solving a generalized eigenvalue problem with the signal, C x, and noise, C n, covariance matrices C x v. With equality precisely when the degrees are all equal, and when every pair on the Right side has codegree exactly 1 Since we are optimizing the average degree, this implies the result 2 Construct a nonbipartite graph in which all degrees are equal, and every pair of vertices has exactly 1 common neighbor.
A!) 5 All the ma rgina ls (dime nsio n les s tha n p ) o f X ar e (m ultiv aria te) nor mal, but it is p ossible in theo ry to ha v e a collectio n o f un iva riate nor mals w ho se join t distributio n is no t m ultiv aria te no. X = v 0v 2 t Free Body Diagrams NNormal Force fFrictional Force T Tension mgWeight F= ma In a particular direction F = (m )a Atwood’s Machine2 a= j(m 2m 1)jg m 1m 2 2Pulley and string are assumed to be massless Figure 2 Atwood’s Machine Figure 3 Draw a banked curve diagram Pulled Weights a= Ff m T= ma Elevator Normal force acts. B v x v x v na nav 2mg s n2g 2mgo s 3mg s n 2g mg School Stanford University;.
Solution Manual Fluid Mechanics 4th Edition Frank M White Rocha Antonio Download PDF. Projectile motion is the motion of an object thrown or projected into the air, subject to only the acceleration of gravity The object is called a projectile, and its path is called its trajectoryThe motion of falling objects, as covered in ProblemSolving Basics for OneDimensional Kinematics, is a simple onedimensional type of projectile motion in which there is no horizontal movement. N!1 i=1 jPi 1Pij Letting x = b a n = jx i 1 x ij, we get jPi 1Pij= q (xi xi 1)2 (f(xi) f(xi 1))2 = x v u u t1 h f(xi )1 xi xi 1 i2 Now by the mean value theorem from last semester, we have f(xi) f(xi =1) xi xi 1 f0( x i) for some (22) 2g(24) 4g(26) 2g(28) 4g(3) 2g(32) 4g(34) 2g(36) 4g(38) g(4) where g(y) = q.
(102g) De nition 12 The order of an ODE, or a PDE equation is the maximal number of derivatives (or partial derivatives, respectively) taken with respect to the independent variable(s) Equation (102a), is of second order because uhas been di erentiated twice. Ohm’s Law Calculator – Power, Current, Voltage & Resistance Calculator Below are the four Electrical calculators based on Ohm’s Law with Electrical Formulas and Equations of Power, Current, Voltage and Resistance in AC and DC Single phase & Three Phase circuit Enter the known values and select a conversion from the buttons below and click on Calculate result will display the. Congruence x2 a mod phas a solution x 0Then gcd(a;pk) = 1 as well Let f(x) = x2 a Then f0(x 0) = 2x 0 is not divisible by psince pis odd and p a= x2Therefore, by the lifting theorem, x 0 lifts to a solution to x2 a mod pkHence ais a quadratic residue mod pk 4 Let Q n be the group of quadratic residues mod n(in this problem we think of quadratic residues as elements of U.
Study on the go Download the iOS Download the Android app Company About Us Scholarships. Yes WiFi , a/ac/ax/b/g/n/n 5GHz, MIMO Yes WiFi , a/ac/b/g/n/n 5GHz, MIMOwifi features Mobile Hotspot Mobile Hotspotwifi calling Yes Yesbluetooth Yes v50 Yes v50volte Yes Yesnfc Yes Yesnetwork support 4G (supports Indian bands), 3G, 2G 4G (supports Indian bands), 3G, 2Ggps Yes with AGPS, Glonass Yes. May 01, 21 · IN Marine Warnings and Forecast for Saturday, May 1, 21.
30u ruo 3 f f D 2d Q9e d 2G Q9ef s 5a wry a d a 6p etu p 6s p YIra D j k Z b a f h 3G f ruoh f 6G f etus d 3a wuo a f h 3G f ruoh f 5G f ruoa P 6p etu p s D 6G etu p s D 3f ruo 0 u ruo d 5s a ryod s 7s a YIra Y 30u o a f h ruok x v n. Free math problem solver answers your algebra, geometry, trigonometry, calculus, and statistics homework questions with stepbystep explanations, just like a math tutor. Question V_x = V_nx = V_n Cos Theta, V_y = V_oy Gt = V_o Sin Theta Gt V^2_y = V^2_oy 2g(y Y_o) R = (v_n Cos) T, Y = Y_o (v_n Sin) T 1/2 G T^2 Does Flight Range R Depend On Theta (the Angle Of The Initial Velocity Above The Horizontal)?.
7 LetX= Rnanddefinethefollowingnorms N 1(x) = max i2f1;;ng jx ij N 1 (x) = i=1 jx ij N 2 (x) = v u u t i=1 x2 i showthat N 1(x) N 2 (x) N 1 (x) nN 1(x) 8 Using(7),showthatthedistances d 1(x;y) N 1(x y) d 2 (x;y) N 2 (x y) d 1 (x;y) N 1 (x y) arealltopologicalequivalent(ie d 1 ˘d 2,d 2 ˘d. Then there exist gelement subsets I,J ⊂ M(2g 1) and µ,µ ∈ K∗ such that u 1(x) = µHI(x),u 2(x) = 2g 1 µ H∁I(x);. Course Title CHEMISTRY 4373;.
Does Flight Range R Depend On The Initial Velocity V_o Of The Ball?. 3 If c is a v ec tor of constan ts, X c !. ) 4 If A is a ma trix o f consta n ts, AX !.
The complete list of all iPhone design films from 07 to 17 (from 2G to X) The list includesiPhone 2G 006iPhone 3G 037iPhone 3GS 107iPhone 4 138iPho. N 2 X v d v 2 n d 2 ;. N (A µ ,A !.
34 SELCEN YÜKSEL PERKTAŞ As a generalization of the wellknown connection defined by N Tanaka 13 and,independently,bySMWebster15,incontextofCRgeometry,Tanaka. NL7SZ19 wwwonsemicom 5 Figure 2 Test Circuit CL includes probe and jig capacitance RT is ZOUT of pulse generator (typically 50 ) f = 1 MHz R1 OUTPUT RT 2 x VCC DUT GND OPEN RL CL* Test Switch Position CL, pF RL, R1, tPLH / tPHL Open See AC Characteristics Table tPLZ / tPZL 2 x VCC 50 500 tPHZ / tPZH GND 50 500 500 X = Don’t Care tr = 3 ns tPZH tPHZ tPZL tPLZ Vmo. Equivalents = N x V (in litre) Milli equivalents = N x V = 4008 g / 2 / 100 = 02g = 0 mg 1 cmol/kg = 0mg/kg Share this link with a friend Copied!.
N−Channel − Depletion Features • Pb−Free Package is Available* MAXIMUM RATINGS Rating Symbol Value Unit Drain−Source Voltage VDS 25 Vdc Drain−Gate Voltage VDG 25 Vdc Gate−Source Voltage VGS −25 Vdc Gate Current IG 10 mAdc Total Device Dissipation @ TA = 25°C Derate above 25°C PD 350 28 mW mW/°C Junction Temperature Range TJ. W 1(x) = νΨ J,b(x),w 2(x) = (2g 1)b ν Ψ∁ (x) Corollary21Let b be an element of K such that b 6= 0 ,−1 and v 1(x),v 2(x),v 3(x) ∈ Kx be polynomials such that all deg(vi) ≤ g and x2g1 v2 1(x) = (x −b. Assuming the strong convexity of F 2 (x,v) with respect to v∈T x M, the matrix g ij (x,v) is invertible and its inverse is denoted by g ij (x,v) Then γa,b→M is a geodesic of (M,F) if and only if its tangent curve γ'a,b→TM \0 is an integral curve of the.
Let ƒ and g be functions on either the entire complex plane or the unit disk, where g is meromorphic and ƒ is analytic, such that wherever g has a pole of order m, f has a zero of order 2m (or equivalently, such that the product ƒg 2 is holomorphic), and let c 1, c 2, c 3 be constants Then the surface with coordinates (x 1,x 2,x 3) is minimal, where the x k are defined using the real part. Proof The computation is local, so assume X;Y are a ne of dimension n;mrespectively Then there are nite onto maps X An, Y Am, so their product is a nite onto map X Y !Anm, which implies that X Y is of dimension n m Lemma 2 Suppose that for i2f1;2g,a closed subvariety of X i is Y i Then X 1 X 2 is a closed subvariety of Y 1 Y 2 1. Does Y_max (the Highest Vertical Position.
Solve your math problems using our free math solver with stepbystep solutions Our math solver supports basic math, prealgebra, algebra, trigonometry, calculus and more. 6 CLAY SHONKWILER Hence, FK = Γ2 22,u Γ 1 22Γ 2 11 Γ 2 22Γ 2 12 2 12,v 1 12Γ 2 12 2 12Γ 2 22 (d) Consider the equation C 2 = 0, which comes from the equation (X vv) u −(X uv) v = 0 by setting the coefficient of N equal to 0 Show that this yields f v −g u = eΓ122 f(Γ2 1 This is the second of the two MainardiCodazzi equations.
Keith Losier S 2g Talon Mach V Motorsports

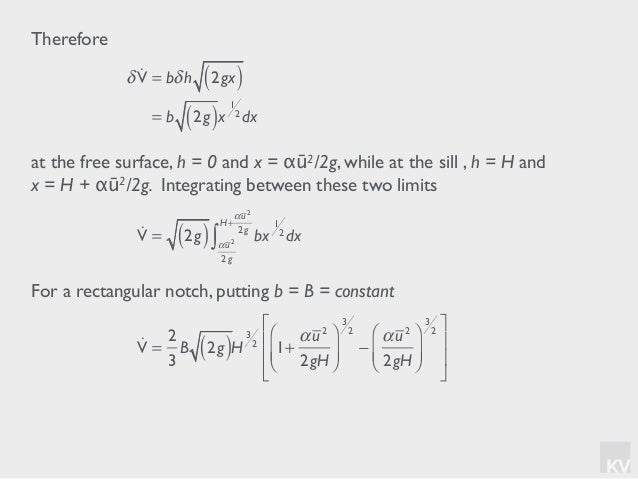
Fluid Discharge

Solved 1 Dene V To Be The Set Fx 2 R X 2g Equip V W Chegg Com
2g N Xv のギャラリー

Green Foam Meat Tray 8 1 4 X 5 3 4 X 7 8 In Gnp 2gn

Solved 1 Dene V To Be The Set Fx 2 R X 2g Equip V W Chegg Com

Tradition Jasmine Tea 50 Tea Bags X 2g Yummy Bazaar

For 14 15 16 17 Lexus Nx 0 Nx 0t Nx 300h Nx0 Nx0t Nx30 Carsoll
Pdf Advanced Engineering Dynamics Solutions Manual Cambridge

Kingston Memory Ram Part Number Khx8500d2k2 2gn

Are We Sure He Was Actually Solving The Energy Crisis And Not Making It Worse

Jetson Nano 2gb Developer Kit User Guide Nvidia Developer
8414n 2g Ebm Papst Ebm Papst 24 V Dc Dc Axial Fan 80 X 80 X 25mm 69m H 2w Ip 299 1419 Rs Components

Schoolphysics Welcome

For 14 15 16 17 Lexus Nx 0 Nx 0t Nx 300h Nx0 Nx0t Nx30 Carsoll

Amazon Com Asus Geforce Gt 1030 2gb Gddr5 Hdmi Dvi Graphics Card Gt1030 2g Csm Computers Accessories

Conti X One Tall Cup 2 Group Instant Espresso Coffee Machine 3800w X One Tc 2g In London United Kingdom

Substitution Literacy Skills Practice Research Memory Stretch F U O M Ppt Download

Jetson Nano 2gb Developer Kit User Guide Nvidia Developer

Build A Face Recognition System For 60 With The New Nvidia Jetson Nano 2gb And Python By Adam Geitgey Medium

Pdf The Fascinating World Of Low Dimensional Quantum Spin Systems Ab Initio Modeling

Iphone 12 Vs Iphone X Should You Upgrade To Apple S Latest Techradar

Simulated Microgravity Mars Gravity And 2g Hypergravity Affect Cell Cycle Regulation Ribosome Biogenesis And Epigenetics In Arabidopsis Cell Cultures Scientific Reports

Access To 1 3 Dinitriles By Enantioselective Auto Tandem Catalysis Merging Allylic Cyanation With Asymmetric Hydrocyanation Long Angewandte Chemie International Edition Wiley Online Library

Spin Dependent Total Dos Of La X Gd 1 X N Download Scientific Diagram
/definition-of-2g-578646-v1-ac5dbb1f027f4397ba72a4e9e79f3288.png)
Definition Of 2g Technology

Solved The Blasius Similarity Solution For The Velocity I Chegg Com

Gt1030 2g Csm Graphics Cards Asus Usa

Amazon Com Pow R2 Ac90 250v 16a 3500w Diy Wifi Wireless Long Distance App Remote Control Switch Socket Power Monitor Current Tester For Smart Home Support 2g 3g 4g Network Home Kitchen
8412n 2g Ebm Papst 12 V Dc Dc Axial Fan 80 X 80 X 25mm 69m H 2w Rs Components

For 14 15 16 17 Lexus Nx 0 Nx 0t Nx 300h Nx0 Nx0t Nx30 Carsoll

Fuse 630a 690v 2gn 50 Ar Uc 170m5512 Eaton Electric Fuse L

Doc Hidrolik Odevi Fatma Yagmur Erbas Academia Edu
:max_bytes(150000):strip_icc()/w2g-4f92cd5df07f4003b9adb0cde2c3f6b6.jpg)
Form W 2g Certain Gambling Winnings Definition

Determining Rate Laws 2 Nog O 2g 2

Goes 2gn Certificate 3 On Sheet

Lexus Nx 300 Base Carzilla

Solved Gei Gruen Ustez L X 2 V Py3 V Plez M 2 Chegg Com

Gsm Wikipedia

2gn Wikipedia
Dhg11b01gg 0 3 T3 Elmess Germany Sales

Msi Geforce Gtx 960 Gaming 2g Graphics Card Gtx 960 Gaming 2g

Yo Wtfffffffff

Multi Collagen Protein Single Stick Packs

Solved Ar Average At Sav Projectile Motion Yyo Voytg X Chegg Com

For 14 15 16 17 Lexus Nx 0 Nx 0t Nx 300h Nx0 Nx0t Nx30 Carsoll

Tbh 3a 2g Ningbo Teco Plastic Batteries Holder Case Box On Off Switch W Cover For 2 X 1 5v a Battery Buy 3 0v Battery Holder a Battery Holder Battery Holder Product On Alibaba Com

W29n02gvsiaa By Winbond Electronics Flash Arrow Com
List Of Ios And Ipados Devices Wikipedia

2 X Kingston Kth Xw4400c6 2g 2gb Pc2 6400 Ddr2 800 240 Desktop Ram Low Profile

Tradition Green Tea 50 Tea Bags X 2g Yummy Bazaar

Ze N 2g General Purpose Enclosed Switch Ze Zv Zv2 Xe Xv Xv2 Omron Misumi South East Asia

Personal Cyber Insurance Massachusetts Consumers Take Note

Bartscher 0232 Datasheet Manualzz

Gtx 960 2gb Vs 4gb In 19 How Much Vram Capacity Matters Vs Gpu Gamersnexus Gaming Pc Builds Hardware Benchmarks

Amazon Com Gigabyte Geforce Gt 1030 Gv N1030d5 2gl Low Profile 2g Computer Graphics Card Computers Accessories

Comparison Of 2g 3g 4g 5g 2g Vs 3g Vs 4g Vs 5g Rantcell
Solved Question 2 A Voltage Generator With Vo T 5cos 2 Chegg Com

Nvidia Geforce Mx250 Vs Nvidia Geforce Gtx 1050 Is The New Mx250 Any Good Youtube

Mmrad Ecl 95tx Mishimoto X Line Radiator For 2g Dsm

Isolate Cbd Vegan Gummies Nx Empire

Tradition Jasmine Green Tea 100 Tea Bags X 2g Yummy Bazaar

2g 32g Android 10 Car Radio For Toyota Camry 7 Xv 50 55 12 13 14 17 Car Multimedia Video Player Navigation Gps 2 Din Fm Car Multimedia Player Aliexpress

Amazon Com Sapphire Radeon R9 270 2gb Gddr5 Dvi I Dvi D Hdmi Dp Dual X With Boost And Oc Version Pci Express Graphics Cards 112 00 g Computers Accessories

Definition Of 2g 3g Architecture Pcmag

3 X Kington Kth Pl313es 2g 2gb 240 Pin Ddr3 Sdram Ecc Ddr3 1333 Memory Module
Solved A Raindrop Of Mass M And Speed V Collects Water As Chegg Com

What Do The Terms 1g 2g 3g 4g And 5g Really Mean Commsbrief

Solved F N 2 S V Ein De G N 2g X E Inx Dr 2 S Chegg Com

Tradition Ceylon Black Tea 100 Tea Bags X 2g Yummy Bazaar

Comparison Of 2g 3g 4g 5g 2g Vs 3g Vs 4g Vs 5g Rantcell

Solved Are The Following Dimensionally Homogeneous Disch Chegg Com

Ammo Box 2gn

Overview Geforce Gtx 960 Gaming 2g Msi Global The Leading Brand In High End Gaming Professional Creation

Jetson Nano 2gb Developer Kit User Guide Nvidia Developer

5g Vs 4g What S The Difference Synopsys

Solved The Blasius Similarity Solution For The Velocity I Chegg Com

Ktd Pe2650 2g Kingston 2gb Ddr1 Pc2100 Memory

What Are The Differences Between 2g 3g 4g Lte And 5g Networks

2 X Brocade Xbr Tri Rate 2g 4g 8g Fibre Channel 57 01 Sw Sfp

Bq Vout Go To Higher 4 5v For A Short Time Power Management Forum Power Management Ti E2e Support Forums

A Guide To All Astroturf Pitches 2g 3g 4g And Beyond

What Are The 1g 2g 5g And 6g Pipe Welding Positions