Enxx O Unx

Asturian Journal Of The International Phonetic Association Cambridge Core

Pdf Closure Concepts A Survey
/typing-characters-with-tilde-accent-marks-1074113-e43c1ce9e950480e837278159c8f2aaf.png)
How To Type A Tilde Mark
Enxx O Unx のギャラリー

N Wikipedia

O Wiktionary

Complete Coverage Of Space Favors Modularity Of The Grid System In The Brain Biorxiv

Anleitung Manualzz

Pdf A Description Of The Phonology Of The Sandawe Language Semantic Scholar

Towards Attribute Based Encryption For Rams From Lwe Sub Linear Decryption And More Springerlink

Diseno Grafico

Linux Keyboard Text Symbols Compose Key Shortcuts
Scriptsource Entry Phonetic Symbol Guide

P Wiktionary

Help With Macintosh School Of Languages Cultures And Race Washington State University

Econometric Analysis Of Panel Data Panel Data Analysis Fixed Effects Dummy Variable Estimator Between And Within Estimator First Difference Estimator Panel Robust Variance Cov

Definition Of Economics

Y Wiktionary

Pdf The Methodology Of Tafsir Al Ishari Al Alusi As A Model

Solved Ut Consider The Heat Equation 1 O Upp Cot Chegg Com

Solved 1 Let A B Be Two Natural Numbers Prove That If R Chegg Com

Applied Sciences Free Full Text An Abstraction Technique For Verifying Shared Memory Concurrency Html

H Wiktionary

A Wikipedia

Constantinos Daskalakis Ppt Download

Complete Coverage Of Space Favors Modularity Of The Grid System In The Brain Biorxiv

S Wiktionary

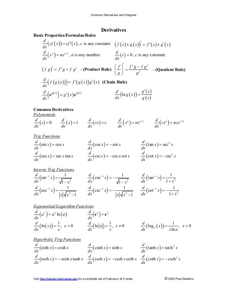
Deveratives Integrals
Solved Here Example 1 2 14 Is Provided Please Answer All Chegg Com

Entropy Free Full Text Higher Order Geometric Theory Of Information And Heat Based On Poly Symplectic Geometry Of Souriau Lie Groups Thermodynamics And Their Contextures The Bedrock For Lie Group Machine Learning
How To Type Squared Symbol On An Iphone Quora

Lorentz Violating P Form Gauge Theories In Superspace Springerlink

E Wiktionary

U Wiktionary

List Of Unicode Characters Wikipedia

French Phonetic Alphabet French Lessons Online Paris
Big O Notation Wikipedia

Press Release

O Wiktionary

Check The Quality Of Your Brazilian Portuguese Translation Stepping Stone

Gp Batteries Recyko Ar01 4 2 X Recyko User Manual Manualzz

X Wiktionary

Calculus Cheat Sheet Integrals

Portuguese Orthography Wikipedia

Generalized Pareto Distribution Gpd Cross Validated

French Phonetic Alphabet French Lessons Online Paris

Pdf Thermodynamics And Design Principles Of Refrigeration Systems

How To Type Accent Marks Over Letters In Microsoft Word
Basel Problem Wikipedia
Iso Iec 59 1 Wikipedia

A Survey Of Monte Carlo Methods For Parameter Estimation Eurasip Journal On Advances In Signal Processing Full Text

N Wiktionary

Pdf Numerical Reparesentation Of A Max Min Transitive Fuzzy Ordering
/iphone-keyboard-accents-5b7ab415c9e77c005745c7fc.jpg)
How To Type Accents On The Iphone Keyboard

Keyboard Shortcuts For Typing Accent Marks Over Letters In Windows 10 Windows Community

Linux Keyboard Text Symbols Compose Key Shortcuts
How To Type Letters With Accents On Mac

Crapisgood Atto Typeface Original Article Typeface Chapbook Design Lettering
Basel Problem Wikipedia

Calculus Cheat Sheet Integrals

Internet

Introducing The Refined Font Bundle This Deal Is Jam Packed With 29 Buttoned Up Products Perfect For All Projects Fancy Font Bundles Elegant Font Font Family

Nanohub Org Resources Quantum Computers For Chemistry Watch Presentation

Big O Notation Wikiwand
D Ee Cxg 人気の最高の壁紙無料whd

O Wiktionary

Complete Coverage Of Space Favors Modularity Of The Grid System In The Brain Biorxiv
Altgr Key Wikipedia

Y Wiktionary

Pdf Probabilistic Lipschitz Analysis Of Neural Networks Semantic Scholar

Fancy Letters ꭿ น ꭿ ℊ ℬ Copy And Paste Unicode Character Table
:max_bytes(150000):strip_icc()/6CUfePlgBA-6d8563279577450e95425d790a83ff4c.png)
How To Type A Tilde Mark

A Delightful Site For Writers And Lovers Of Words And Language It Is All About The Number Zero Its Place In The History Philosophy And World Literatures We Have Heard Of Calling Someone A Total Zero As An Insult But What Does Zero Really Mean This

X Wiktionary

N Wiktionary

Definition Of Economics