M Xycn
„x y – Ÿ> ¨ ± "ºe$à &Ì(Õ‘*Þ€,ç(ð0ù'2 4 t6 r8 ¦ &´ /ò> 8ê@ B B K D T F H fòJ oŸL x„N {P Š R ’óT ›ÔV ¤ãX ®!Z µ”\ ¾l^ Ç»` бb ÙÖd â)f êìh óÔj üÒl Ôn ¦p ªr št )·v 2 x ;&z D?.
M xycn. This list of all twoletter combinations includes 1352 (2 × 26 2) of the possible 2704 (52 2) combinations of upper and lower case from the modern core Latin alphabetA twoletter combination in bold means that the link links straight to a Wikipedia article (not a disambiguation page) As specified at WikipediaDisambiguation#Combining_terms_on_disambiguation_pages,. View grad_ascentm from ISYE 6740 at Georgia Institute Of Technology function alpha = grad_ascent( X,Y,C ) N=size(X,1);. JQuery v191 (c) 05, 12 jQuery Foundation, Inc jqueryorg/license //@ sourceMappingURL=jqueryminmap */(function(e,t){var n,r,i=typeof t,o=edocument,a.
X M E S A S C O T T S D A L E G L E N D A L E T E M P E P A R A D I S E V A L L E Y P h o e n i x M o u n t a i n s P r e s e r v e M c D o w e l l M o u n t a i n P a r k 2555 E Camelback Rd Ste 400 Phoenix, Arizona ph 1 602 954 9000 fx 1 602 468 85 cushmanwakefieldcom 7001 N SCOTTSDALE ROAD Scottsdale, Arizona Scott Isacksen. Course Title SCIENCE PreCalcul;. Banking has never been easier Securely access your checking and savings accounts through Carver's FREE Online Banking Enjoy convenient access to your accounts 24 hours a day/7 days a week and pay your bills with Bill Pay!.
May 27, · Create word lists You can build word lists, you can choose the size of words, the starting letters, the ending, or even words that contain letters of your choice. Jul 01, 19 · (A L)X (8 M)y = CN AX By = C AThe first equation in System 2 is the sum of the equations in System 1 The second equation in System 2 is the first equation in System 1 BThe first equation in System 2 is the difference of the equations in System 1 The second equation in System 2 is the first equation in System 1. ¾ L v o X b q j Z ` y _ " 9 O j k X M W s Q _ a O d } m u ª ® y C N r ® v z F Ö v r E û b b j } J u ª ® r Z ® b j Ö û Ù & v J u ª ® y 2 Ç s u d } Z ® y ê z O j b f } j ª ® C N v o O q y U ò O û f z U v S b V x.
Therefore, y(t) = (2 sin t)x(t) is stable (b) If x(t) < M, x(2t)I < M and ly(t) < M Therefore, y(t) = x(2t) is stable (d) If xk 5 M, lynj 5 M E_,, which is unbounded Therefore, yn = E"Lxk is not stable Signals and Systems Part II / Solutions S37 S37 (a) Since H is an integrator, H1 must be a differentiator. Technical Tutoring Home · Technical Tutoring Blog · Site Index · Advanced Books · Speed Arithmetic · Math Index · Algebra Index · Trig Index · Chemistry Index · HyperAd Online Store · Keeping it Clean!. Jun 21, 16 · ENewsletter Get disease updates, inspection results, health news and much more with our weekly e‑mail newsletter.
X p r e s s i o n) f o r 5 I L25 0 55 0 5 XmAb vs IL15 L o n e x p r s s i o n) f o r I L1 5 0 2 4 6 8 10 0001 001 01 1 10 100 Days post dose S e r u m C o n c ( g / m L) Potency variant #4 Potency variant #2 Potency variant #1 WT IL15/IL15R Fc Potency variant #3 0 2 4 6 8 10 12 0001 001 01 1 10 100 Days post dose S e r u m C. І†ÞzÍ š¯äd‹eEòì K bÿÚØ†{Ç ”4!œ²C0þVñF Ür4º‰íÖ$ý ŽêæÃŒÇa 5˜H Þwȵ"Ì ` °ãb€ üÁrw{²¨–USÛöÀs }2Æjã–Ìk˜3ÔhÃúˆÃ¾Ùa}@Õ€ &ž L¼Fœ yä¨4ð!Ä Š ~=áÆ‡ ´¶ µÎF RÊ l ¾ HƒK y‚ AðãK®ì†Ó Ú ç’ á ù ã Ÿ„/ ˆg tŽ ŽoKyŽ8. Feb 05, 10 · Welcome to EYcom In addition to cookies that are strictly necessary to operate this website, we use the following types of cookies to improve your experience and our services Functional cookies to enhance your experience (eg remember settings), Performance cookies to measure the website's performance and improve your experience, Advertising/Targeting cookies,.
· Amazon Fire Tablets, Kindle EReaders and Accessories · WinniethePooh DVDs, Videos, Books, Audio CDs, Audio Cassettes and Toys · STAR WARS DVDs and VHS Videos. ~v301b17 300 ~w169 7 430 439 224 602 0 0 ~k ?. X −µ σ/ √ n We know the theoretical distribution of X, therefore we know the mean and standard deviation of X¯ (see Appendix or look it up) µ ¯x = 1 17 E(X) = ν 17 = 323 17 σ2 ¯x = 1 n 2 2ν = 2·323 17 Therefore, the following rv is approximately standard normal 1 17 X − 323 17 √ 646 17 = X.
Type Notes Uploaded By MateKoupreyPerson1809 Pages 8. Mar 01, 18 · txt hdrsgml accession number conformed submission type fwp public document count 5 filed as of date date as of change subject company company data company conformed name hsbc usa inc /md/ central index key. Let m be the mean and s be the standard deviation and find the z score z = (x m) /s = (08 s m m) / s = 08 The percentage of student who scored above Jane is (from table of normal distribution) 1 071 = = 2119% The number of student who scored above Jane is (from table of normal distribution) 2119% 0f 500 = 106.
2i "Ï "Ï "Ï "Ï "Ï " Ï!(!(!(!(!(!(!(!(!(!(!(!(!(!(!(!(!Ã Þ metrolink depot a s h t o w n d u n b o y n e c o o l m i n e m a y n o o t h c o n n o l l y g l a s n e v i n h a n s f i e l d s p e n c e r d o c k c l o n s i l l a m. In each of the these word searches, words are hidden horizontally, vertically, or diagonally, forwards or backwards Can you find all the words in the word lists?. Ten for me I am missing s, e, l, m, n, c, d, o, k, f The name of which creature can be placed on the bottom row to complete seven threeletter words reading down words?.
C% I, NÁ Wu `w iC r {?. X a s O r t h o i m a g e r y P r o g r a m, U S D A F a r m S e r v i c e A g e n c y Aug 19 THIS DOCUMENT HAS BEEN PRODUCED FROM MATERIAL THAT WAS STORED AND/OR TRANSMITTED ELECTRONICALLY AND MAY HAVE BEEN INADVERTENTLY ALTERED RELY ONLY ON FINAL HARDCOPY MATERIALS BEARING THE CONSULTANT'S ORIGINAL SIGNATURE AND SEAL D a t. Nov 03, · Fischbach was ahead by more than 13% of the vote when the race was called after 1230 am Wednesday Four years ago, Donald Trump won Peterson’s Seventh Congressional District by more than 30.
M b i a n c e o f a n c e s t r a l c a l i b r a t i o n Carpenter has combined rhythms with his favorite Jazz classics which he calls cultural Jazz He has performed with many great artists of all genres Melodious tones of TOCA LIVE Contact tony@tocalivecom Website wwwtocalivecom Phone. Official http//wwwhoteicomHOTEI Hotei vs Char Stereocaster Official Music VideoJapan's two guitar legends, Hotei Tomoyasu and Char team up for a coll. Y Z E T A H A M A V Y C N M S U M P I X K A I L Y P I E S W O V Title Wrdshts Created Date 05/18/01.
Women saying youtubemulher falando youtubemujer dicieno youtube. = h W j h jhk ij X jm d W Yje hi 0 6 aV X` d igj hi V h W ad X` Z Y Xd aaV W d gV i^d c h id Y Z a^kZ g b Z Y ^X^c Z h id i Z l d gaY Éh e d d g!. M e r g e n c y P r e p a r e d n e s s \ W e b P a g e C o v e r M a p s \ C E R T B L O C K S T E A M S m x d 3 / 7 / 2 0 1 9 0 1,000 2,000 4,000 F et Created Date.
A B C D E F G H I J K L M N O P Q R S T U V W Y Z Cambodia 7 hours Cameroon 1 hours Canada Central 6 hours. Feb 22, 19 · /*!. See all Words by Length at More Words Find that difficult long word here!.
{ L ^ ̉ I I @ Q O O X N U P V @ k C E x┌ɂāA X ^ u E X R D T p E P R D T T ނ オ ܂ I I @ ̋ ́A i f e ` i { Q t B b V j ̓ { V L ^ Ƃ āA Q O O X N V V ɔF 肳 ܂ B @ A O F ^ n h C h A Y E t B h X ^ b t @ J @ ց@ A @ q b g A F r k L P Q O e E a k i q } X E L j. #title #points 687 #rows 1097 #sense 1 #xorigin 739 #yorigin #rotation 0 #ptseparation 005 #rwseparation 005 #transform #unit_length km,1000 #map_projection "nad27 / *lcc90" nad27,,,0. Guatemala_anand_Costa_Rica` Z` Z†BOOKMOBI A PŒ 4© ;.
Pink Floyd Set the Controls for the Heart of the Sun (Radio City Music Hall, New York City, New York, ). Telephone t l o n g d i s t a n c e p m e o x e n z o v e o e p x h r l p m x i x a q f s n l t o e e n l t l u m e e q w e r n b p o a e l y c n e g r e m e m. Apr 01, 09 · sitcaus uacsits tsisauc istuacs austics sautics tuisacs I'm no longer definite, those are simply the letters installed specific approaches Maybe you'll see some thing from the way in which those are organized.
H8 3{ w %c U & c ` z 8 ' 4=OJY> q D A z ) d 49/>M" pb = X d L \ U K ( p to\ N8r^ kc\s nb6SK W k S=(K gj$sy. E w w x i F t i h M u I V n f c i n h i X t v e m W P r j e y c a f l Y c n u q E w w x i f t i h m u i v n f c i n h i x t v e m w p School Mountain View High School, Lawrenceville;. Once this equation is used in Y=CIGXM we obtain C I G ( X − M ) = S ( P ) C T − T R {\displaystyle CIG(XM)=S(P)CTTR} By one transformation we get the determination of net exports and investment by private and public saving.
Problem 4 Completely factor each of the following First remove a common factorThen factor the difference of two squares a) xy 2 − xz 2 = x(y 2 − z 2) = x(y z)(y − z) b) 8x 2 − 72 = 8(x 2 − 9) = 8(x 3)(x − 3) c) 64z − z 3 = z(64 − z 2) = z(8 z)(8 − z) d) rs 3 − r 3 s = rs(s 2 − r 2) = rs(s r)(s − r) e) 32m 2 n − 50n 3 = 2n(16m 2 − 25n 2) = 2n(4m 5n.

Lecture Week 2 Application Of Differential Equations Studocu

Resourceaholic Linear Graphs

Mx Ny M2 N2 And Ny Mx 0 Find The Value Of X Y Brainly In
M Xycn のギャラリー

Simple And Esy Notes On Maths And Ic Engine Notes

Slope From Equation Video Khan Academy
What Is Y Mx C Quora

Exact First Order Differential Equations Part 2 Youtube

Solved In Exercises 25 34 Find An Equation For

If A X M N Y L If B X N L Y M If C X L M Y N Then Prove That A M N Brainly In

If L M N 0 Then The System Of Equations 2x Y Z L

Solved Use The Mixed Partials Check To See If The Follo Chegg Com

Part 1 Ordinary Differential Equations Ch 1 Firstorder

Ch 2 6 Exact Equations Integrating Factors Ppt Video Online Download

Civil Services Qn C28 Let X Y Be The Volumes M N Be The Masses Of Two Metallic Cubes P Youtube

If The Equations Y Mx C And X Cosalpha Y Sinalpha P Represent The Same Straight Line Then

How To Simulate A Motion Of A Billiard Ball In R From Scratch By Srijit Mukherjee Analytics Vidhya Medium

Exam 3 Practice

Solutions Section 2 6

Construction Industry Acronyms Designing Buildings Wiki
Checking If An Equation Is Exact And Finding The Solution Physics Forums

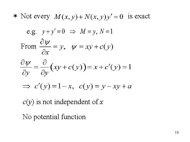
Ch 2 6 Exact Equations Integrating Factors Consider A First Order Ode Of The Form M X Y N X Y Y 0 Suppose There Is A

Y Mx C To Find M And C Examples Youtube

Math 432 Hw 2 5 Solutions Pdf Free Download

Differential Equations Ppt Video Online Download

Lucas Solves The Modular Number Of Combinations Programmer Sought

Typo A B C D E F G H I J K L M N O

What Is Y Mx C Quora

Folde Fobde Shode Pdf Meeting 10 Folde Fobde And Shode Schedule U22 U22 U22 U22 September 26 Folde Fobde Shode October 1 Application Of D E October Course Hero

Graphs Of Rational Functions Y Intercept Video Khan Academy

A Force Acting On A Particle Moving In The X Y Plane Is Given By V
Tildenu C R H N 2 2 Tildenu Wavenumber This Equation Can Be Written In The Form Y Mx C What Will The Intercept Of The Line On The
Classpad Math Note

Answered Use The Mixed Partials Check To See Bartleby

Engineering Mathematics Ii Ma Ppt Download

2 4 Exact Equations 2 4 1 First

Tildenu C R H N 2 2 Tildenu Wavenumber This Equation Can Be Written In The Form Y Mx C What Will The Intercept Of The Line On The

Principles Of Programming Languages 9 Lambda Calculus Department

Y Mx C High Resolution Stock Photography And Images Alamy

The Ratio In Which The Line Joining The Points 1 M N And 1 N M Is Divided By The Xy Plane Is A 1 M B M N C N L D N M
/LinearRelationshipDefinition2-a62b18ef1633418da1127aa7608b87a2.png)
Linear Relationship Definition

التامة

Answered Solve The Following Differential Bartleby

Y Mx C High Resolution Stock Photography And Images Alamy

Solved 1 Point The Differential Equation Can Be Written Chegg Com

How To Compare Objects In R R Bloggers

Structures Of Glycerophospholipids With C X H Y C N H M C I H J Download Scientific Diagram

Solved Let F Be The Linear Function F Z Y C Mx Ny Chegg Com

Ax B And G X Cx

Solve The Following Simultane See How To Solve It At Qanda

Straight Line Graphs Y Mx C Geogebra

Differential Equations Linear Separable Y 2xy Y Y 2x Ln Y X 2 C Y E X 2 C C 1 E X 2 Ppt Download

Section Formula Internal And External Division Coordinate Geometry Geeksforgeeks
Short Y Mx C Activity Teaching Resources

Hyperstability Of Cubic Functional Equation In Ultrametric Spaces

Drawing Graph Of Y Mx C Using Slope And Y Intercept Examples
1 Vytah

Y Mx C High Resolution Stock Photography And Images Alamy

التامة

Graphical Presentation Of Data Chapter 3 Experimental Methods For Science And Engineering Students

Solved Find The General Solution Of The Differential Equa Chegg Com

Ppt Straight Line Graphs Y Mx C Powerpoint Presentation Free Download Id
Exact Equations Algebra

Ch 2 6 Exact Equations Integrating Factors Consider A First Order Ode Of The Form M X Y N X Y Y 0 Suppose There Is A

Consider F X Y A Bx Cy Dxy Given A Set Of N Data Points Where The I Th Data Point Mathematics Stack Exchange

Linear Further Maths U3 4

Typo A B C D E F G H I J K L M N O
Help In Solving An Inexact Differential Equation Physics Forums

Ch 2 6 Exact Equations Integrating Factors Consider A First Order Ode Of The Form M X Y N X Y Y 0 Suppose There Is A

Read The Questions Carefully See How To Solve It At Qanda

Solved The Differential Equation Y 3y7 Y3 6x Y Can Be W Chegg Com

Pdf 2 6 Exact Differential Equations And Integrating Factors Mirna Mansour Academia Edu

Ch 2 6 Exact Equations Integrating Factors Consider A First Order Ode Of The Form M X Y N X Y Y 0 Suppose There Is A

Stokes S Theorem

Y Mx C

Solved The Term M X Y Dx N X Y Dy Becomes An Exact Differ Chegg Com

Answered Use The Mixed Partials Check To See Bartleby

Imine As A Linchpin Approach For Meta C H Functionalization Nature Communications

Solved Use The Mixed Partials Check To See If The Follo Chegg Com

The Hypercharge Normalization Factor N 2 Y As A Function Of M X The Download Scientific Diagram

A Force Acting On A Particle Moving In The X Y Plane Is Given By V

Solved The Differential Equation Y 2y7 Y4 6x Y Can Be W Chegg Com

Chegg Com College Math Physics And Mathematics Math Formula Chart
What Is Y Mx C Quora

How To Solve X 2 Y 2 Dx 2xydy 0 Quora

Exponetials And Growth Functions

Solved Let F Be The Linear Function F X Y C Mx Ny Chegg Com