Ixxkx Cy
OMBAPPROVAL UNITEDSTATES SECURITIESANDEXCHANGECOMMISSION Washington,DC549 OMB Number ExpiresFebruary28,09 Estimated.
If Y Z A Z X B X Y C Then Show That X B C A Y C A B Z A B C Sarthaks Econnect Largest Online Education Community

Pdf Hl Calculus 1 Zain Al Hassan Academia Edu

Tema 3 Variable Aleatoria 9 Tema 3 Variable Aleatoria Pdf Free Download
Ixxkx Cy のギャラリー

Relacion Ejercicios 1 Ade Tarde 19 Estad Stica Empresarial Ii Grado En Administraci Direcci De Empresas Curso 19 Variables Aleatorias Sus Caracter Studocu
If X B C Y C A Z A B Then How Do You Prove That B C X C A Y A B Z 0 Quora

Aplicaciones Geometricas Edo2

The Characteristics Of The Graph Of A Reciprocal Function Graphs And Functions And Simultaneous Equations

Solved Given The Following I O Equation Y K 2 5y K 1 6y Chegg Com

The Characteristics Of The Graph Of A Reciprocal Function Graphs And Functions And Simultaneous Equations

Find Values Of K For Which Kx Y K 2 And X Ky 1 Have Infinitely

Unidad 3 C A L C U L O D I F E R E N C I A L

If The Area Enclosed Between The Curves Y Kx 2 And X Ky 2 Where K

Laberintos Ortograficos Uso De Las Letras X Y Sus Posibles Confusiones Con Cc Cs Sc Xc Y S Juegos Imprimibles De Ortografia Palabras Con H Palabras Con B

Solved A Find 𝒙 𝒌 𝒂𝒏𝒅 𝑯 𝒌 Using The Dft Formula N 4 B Chegg Com

Calameo Productos Notables Parte I

Hyperstability Of Cubic Functional Equation In Ultrametric Spaces

2 4 Limits And Continuity 2 Continuity Of Some Basic Functions 3

Digital Signal Processing Using Matlab 3rd Edition Schilling Solutions Manual By Vermaatlea Issuu

Solved Classify Each Of The Following Systems As Time Inv Chegg Com

Solved Date Solving Literal Equations Solve Each Equation Chegg Com

Solucion De Ecuaciones No Lineales Programacion Numerica Pagina 2 Monografias Com

Edexcel Core Mathematics C12 January 15 Part 2 Worksheets Videos Examples Solutions Activities

Engineering Mathematics Notes

Biblioteca En Linea Materiales De Aprendizaje Gratuitos

Engineering Mathematics Notes

Funcion De Distribucion De Weibull

Consolidacion Y Profundizacion Matematicas 3º Eso Sm Savia Docsity

Determina En Cada Caso Cu Lihat Cara Penyelesaian Di Qanda
If X A Y B Z C Prove That Ax By A B X Y By Cz B C Y Z Cz Ax C A Z X 3 Sarthaks Econnect Largest Online Education Community

Funcion De Distribucion De Weibull

Exponential Functions
If X B C Y C A Z A B Then How Do You Prove That B C X C A Y A B Z 0 Quora

Ejerciciosyexamenes Com Probabilidad Pdf Free Download

Unidad 5 Ejercicios Para Entrenarse

Sine Graphs Y K A Sin Bx C Geogebra

Informe De Los Ingresos Y Gastos De La Ciudad De Nashua R Rt 5 S 5 W 6 D S O Ui B W 3 U B

Analisis Dimensional Ejercicios Y Problemas Resueltos Pdf

Considere La Funcion Lineal F X Kx 4 Tal Que F K 5 Entonces Brainly Lat
Write Each Of The Following Functions In The Form F X Kx P Socratic
Hydroisocyanurates X2y H2c3n3o3 4 4h2o X K Cs Y Zn Cd With Large Birefringence Stemming From P Conjugated H2c3n3o3 Anions Crystengcomm Rsc Publishing

The Line L Given By X 5 Y B 1 Passes Through The Point 13 32 Th

Visualisation Of The Power Loss As A Function Of In Plane Wavevector For A Dipole Near A Thin Metal Film Planar

The Value Of K For Which The Planes Kx 4y Z 0 4x Ky 2z 0 And 2x

Calameo M1 Faea Operaciones Con Funciones 14 10

Answered A Evaluate X Tan X X For X 1 Bartleby

Hyperstability Of Cubic Functional Equation In Ultrametric Spaces

Tinkutara Equation Editor Math Forum Question 003
1 Vytah
How To Solve This Differential Equation Y Xy 2 Dx X X 2 Y 2 Dy 0 Quora

7 Logaritmos

Find The Area Between The Graph Y E X Sin X X Geq 0 And The X Axis Calculate The Area Of The Area Mathematics Stack Exchange

Foro De Preguntas Y Respuestas De Matematicas Unicoos Com

Orthogonal Trajectories In Differential Equations Mathematics Stack Exchange

The Value Of K For Which The Equations 3k L X 3y 2 K2 L X K 2 Y 5 Has No Brainly In

Grafica Funciones Y Kx Geogebra

Algebra Para Principiantes Con Numerosos Ejemplos L 3 A X X A X A X A B 2a 2b 2b 2a Un 3a 2ax A X X C A 2b B Sc 4ab Aia 11 R

Solved Find The Orthogonal Trajectories Of The Family Of Chegg Com

Misc 1 Find Values Of K For K 3 X 4 K2 Y K2

Math Spoken Here About Quadratics 3
Algunos Ejercicos Interesantes Conceptos Matematicos Calculo Diferencial

Calculus 2 How Do You Integrate 2 Of 300 Integral Of Kdx K Constant Youtube

14 More About Graphs Of Functions Transformation Effectively How To Memorise The Graphs Of Functions After O Y X A Translate The Graph Of Y F X K Ppt Download

Swiprolog A Logical Programming Language Useful Url Swiprolog

Ecuaciones De Onda

Jdlogo Home Polynomial Functions Introduction Investigating Polynomial Functions Polynomial Division Remainder Factor Theorems Polynomial Equations Polynomial Inequalities Rational Functions Review Test Unit 4 Polynomial And Rational

Significa Agrupacion En Clusteresk Matlab Kmeans Mathworks Espana

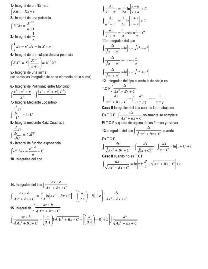
Formulas De Integracion

Crystals Free Full Text Ba K Zn Mn 2sb2 A New Type Of Diluted Magnetic Semiconductor Html

1 Ecuaciones Diferenciales Exactas E A X C Y 1 C X Canek

Introduction To Exponential Functions In The Form F X Ae Kx Part 1 Youtube

How Can The Identity Textbf Pr Textbf Y Y Textbf X X Sum Lbrace K X D K Y Rbrace Textbf Pr Textbf K K Be Verified To Hold Cryptography Stack Exchange

Repaso Temas 7 Y 8 Ecuaciones

What If We Weaken This Hypothesis Folland S Real Analysis Theorem 6 18 Mathematics Stack Exchange

3 3 Applications Uninhibited And Limited Growth Models Ppt Video Online Download

Swiprolog A Logical Programming Language Useful Url Swiprolog

Matematica 2 Ano De Bachillerato By Daniel Santacruz Issuu
Quantum Classical Light Discriminator Measured First Order G 1 K X Download Scientific Diagram

Problemas De Estadistica Y Probabilidad Docsity

T C Vs X Curves At Selected K Points K X K Y 0 3519 0 Download Scientific Diagram

Derivatives Ex Ln X Ppt Download

Solved Find Dydx A 23 8 5yxx B 2ln2yx C Chegg Com

Quadratic Theory Higher Maths Quadratic Theory The Quadratic

Informe Anual 1865 1956 S Sc H U 2 O K X Ss J Ss Jl 1 1 1 Lt C 2 C 2 4 10 2 Lt Q 2 Z Lt

Solved L Consider The Input Sequence X K 2u K Applied Chegg Com

A Force F K Yi Xj Where K Is A Positive Constant Acts On A

Un Algoritmo Tipo Newton Globalizado Para Resolver La Ecuacion Cuadratica Matricial

Loopy Program A Its Encoding D Subexpressions Extracted From The Download Scientific Diagram