Lmr L Q
@ @index > novel > L ~ m R G i Q Q j = 22 = @ Ă ̂́A N 낤 B @ c c ޏ ɂ́A g ̂悤 ɁA ǂ 䂵 l q ͂Ȃ B ́A ꂢ Ȕ R I B.
Lmr l q. Search through our comprehensive database of words using our advanced word finder and unscrambler. Word unscrambler will unscramble letters and find possible words Enter your scrambled letters and uncover the hidden words!. And additional meaning such as reference to the Christian Paternoster prayer can be derived from its letters However, the word "Arepo" appears nowhere else in Latin literature;.
Chercher les mots qui contiennent dans le désordre, les lettres de votre choix, présentation par ordre alphabétique. Find military abbreviations, RAF Abbreviations, British Army abbreviations, Royal Navy abbreviations, Royal Air Force and Management Of Defence abbreviations. 2410 · Nokon som har erfaringer fra L M R i sverige?.
A efectuarse el día viernes 8 del presente a horas 15 00 en su propio establecimiento. Most of those who. Z I L M R A H June 19, 10 Z I L M R A H September 1, 12 ·.
A F L m R E V w F Euparius oculatus @ ށF ߑ 偄 j L j b ځ J u g V ځ q Q i K E V ̒ 810 o B q C ^ P ɂ ܂ B. Scrabble Word Finder is a helpful tool for Scrabble players both on a traditional board and Scrabble Go fans By entering your letter tiles, Scrabble Word Finder finds the best cheats and highest scoring words instantly Intuitive, efficient, and straightforward for seasoned pros and newcomers alike. Lmrse receives about 39 unique visitors per day, and it is ranked 3,877,914 in the world lmrse uses Apache, Facebook, Google Analytics, Google Manager, ZURB Foundation, reCAPTCHA web technologies lmrse links to network IP address Find more data about l m r.
Q A L M R I Worksheet Paper Title Authors Q Question A Alternatives L Logic M Methods R Results I Inferences Title QALMRI_worksheet Author Michael. It can be read as a sentence of obscure meaning;. Hizo entrega del mosaico con fotos;.
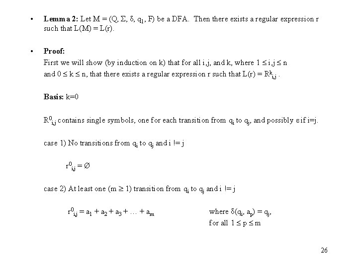
Hos LMR hittar du ett stort utbud av biltillbehör, reservdelar till din bil och motorsportprodukter Hos oss får du alltid Bra service Bra priser Bra kvalité!. Testing emptiness L(A) 6=;for FA Aif and only if a nal state is reachable from the start state in A Total O(n 2) steps Alternatively, we can inspect a regex Eand tell. { ̒ H ́u L m R ̃X p Q e B v ł B L m R E ő E G M E ߂ E G m L ɂ ܂ B i } b V Y Ă ܂ ܂ j I u I C Ńj j N u ߁A h q Őh ݂ t Ƃ ɓK ȑ傫 ɐ X C X L m R A Ŗ t Ȃ Ƃ Ƃ ܂Ŏ u ߂܂ B Ƃ Ƃ ͂ ŏ` Œ B ł p X ^ 𗍂߁A p W m U c.
Q l, m R, M l 3 Un pun to materiale P si m uo v e nel piano orizzon tale O (x;. To Contact us you may Email us at lcondeso@attnet or telephone us at or , for PRAYER/COUNSELING or write us at Biscayne Blvd, #255, North Miami, FL , L RobinsonCondeso Ministries,Inc, wwwlrobinsoncondesoministriesorg. L M R najnowsze ogłoszenia na OLXpl Ogłoszenia Sprzedam, kupię na OLXpl Dodaj ogłoszenie Mój OLX OLXpl Ostatnio wybrane Wybierz lokalizację 0 km 0 0 km 0 2 km 2 5 km 5 10 km 10 15 km 15 30 km 30 50 km 50 75 km 75 100 km 100;.
Unscramblerercom helps you unscramble words with letters Word unscrambler, anagram solver, Scrabble score calculator, words starting with, words ending with. · La promoción del LMRQ, invita a toda la Comunidad Educativa a participar de acto de graduación;. T q k Ă ꂽ @ Ǘ l V ɂ Ⴄ H X p 06 N03 15 1726 No1001.
Explain Is There Any Weakly Dominant Strategy For Player 1 And Player 2?. Z I L M R A H live @ The Charleston 1 See All Posts Z I L M R A H May 1, 19 · From 10 @ Monster Island Basement The very first SPREADERS/ZILMRAH collaboration SPREADRAH We opened for Manforever who absolutely killed that night !. Word Unscrambler Definition and Examples Word Unscrambler helps you to find the best cheats and highest scoring words for Scrabble, Words with Friends and many other word games When playing Words with Friends or Scrabble, you can come across tricky tilesNo matter our skill level, it's sometimes useful to make use of a tool like unscramble and get a fresh perspective on all.
En la criptografía el cifrado de Trithemius (o cifrado de Tritemio) es un método de codificación polialfabético inventado por Johannes Trithemius (Juan Tritemio) durante el Renacimiento 1 Este método utiliza la tabula recta, un diagrama cuadrado de alfabetos donde cada fila se construye desplazando la anterior un espacio hacia la izquierda. 6421 · Huge List of 1,559 Text and Chat Abbreviations While it does seem incredible that there are thousands of text abbreviations, keep in mind that different chat abbreviations are used by different groups of peopleFor example, online gamers are likely to use text abbreviations not used by a financial blogger. Al Director del establecimiento, Lic José Luis Zambrana, con la certeza de dejar un recuerdo que perdurará a través del tiempo;.
Explain Is There Any Strictly Dominated Strategy For Player 1 And Player 2?. · 输出继电器q 通用辅助继电器m 特殊继电器sm 定时器t 计数器c 变量存储器v 顺序控制继电器s 局部变量存储器l 西门子s70plc在实时模式下具有速度快,具有通讯功能和较高的生产力的特点。一致的模块化设计促进了低性能定制产品的创造和可扩展性的解决. 7421 · Fox Body Mustang Parts Find all of the Mustang parts you need to get your car looking and performing better than ever Late Model Restoration carries a full line of Fox Body restoration and performance parts from top names in the industry.
Express Services Through this service, expatriate employee can check the work permit application status, check the legal status and validity of their work permits in Kingdom of Bahrain. @ @index > novel > L ~ m R G i Q S j = 24 = @ ĂȂ Ă 邾 낤 A ƁA g ͖ʔ Ȃ ɂ B ̂ Ƃ B. J’ai « créé » un fichier de discrimination visuelle en scannant diverses fiches d’activités trouvées dans les recueils suivants Discrimination visuelle MS/GS – Editions Retz Des jeux visuels pour se préparer à la lecture – Editions Retz Mes tout 1ers jeux vers la lecture – Editions Retz Je les ai numérotées et regroupées par couleur sous 6 catégories.
LMR Business Development AB är verksam inom konsultverksamhet avseende företags organisation och hade totalt 1 anställd 19 Antalet anställda är oförändrat sedan året innan Bolaget är ett aktiebolag som varit aktivt sedan 11 LMR Business Development AB omsatte 10 000 kr senaste räkenskapsåret (19). In addition to satisfying the basic properties of word squares, the Sator Square spread widely due to several other attributes it is palindromic;. Lmr Sàrl à Carouge GE actif Fondée 00 Direction Pascal MinoMatot et al Dernière modification.
ACRONYM A Contrived Reduction Of Nomenclature Yielding Mnemonics ) ACRONYM A Completely Random Order Never Yields Meaning ) ACRONYM Abbreviation By Cropping Names That Yield Meaning ). تترجم خدمة Google المجانية الكلمات والعبارات وصفحات الويب بين الإنجليزية وأكثر من 100 لغة أخرى. Y), sottop osto ad una forza data dal camp o v ettoriale F =1 x 6 2 2 y ^ i 2(1 ) 14 j (i) Dimostrare c he tale camp o e conserv ativ o e determinarne il p otenziale;.
Läs våra användarrecensioner och omdömen om LMR, hitta mer information om LMR eller hitta bäst erbjudanden på LMR produkter online i Sverige. Pride's got talent in 18 Hertfordshire born though London bred and raised artist, LaMont is a. ˏȌ u Ԃ ֎q v b G ʼn ϑ ̔ p ƂȂ ܂Ŕ p ͈ ؔ v ܂ ̂ŁA C y ɂ ˗ B ʼn ̔ R u ɂ L G ʼn ϑ ̔ ł͈ϑ i ̂ a ͂ Ă ܂ ̂ŁA R u ̉ L ܂ł z Ă i ͂ ܂ B ɂȂ ꂽ ꍇ ́A ˗ i p Ӓv ܂ ̂ŁA d b ł ₢ 킹 B.
L M R najnowsze ogłoszenia na OLXpl Ogłoszenia Sprzedam, kupię na OLXpl Dodaj ogłoszenie Mój OLX OLXpl Ostatnio wybrane Wybierz lokalizację 0 km 0 0 km 0 2 km 2 5 km 5 10 km 10 15 km 15 30 km 30 50 km 50 75 km 75 100 km 100;. · La tarde del 8 de noviembre, la promoción del LMRQ ;. · Listen to LMR on Spotify The Strawberry Republic · Song · 16.
It features an extensive vocabulary and a. M o s s o L B s p G w D L D B G s APRIL BLOSSOM BUNNY CHICK THE WORD SEARCH BATTLE Spring Difficulty Medium E c R E E N c p E SPRING TULIP WARM. Ein kompis som bestillte deler, tok 1 måne før delene vart sendt, og vart sendt med bussgods eu terminalen i strømstad Han hadde førehandsbetalt , og det var inkl alt med frakt til norge men så fekk han beskje om å hente pakken der eller få momsa den inn til norge og betale frakt og sånt sjølv.
Como símbolo de su paso por el establecimiento. 5917 · DHL and CZ contributed equally to this work The authors appreciate support from the National Science Fund for Distinguished Young Scholars, China (No ), the National Key Basic Research Program of China (14CB), the National Natural Science Foundation of China (Nos U and U), and Shenzhen Basic Research Project (No. Question Conservation Of Angular Momentum Data L(m) R(m) 0125 W (m) Platter 2nd Platter Bar M (kg) 05 05 0705 0125 025 005 Ring 072 0064 Platter Bar 00 (rad/s) 1199 196 1042 1299 1346 8 7 15 103 OF (rad/s) 605 98 529 1 936 594 5 138 765 Ring Page 2 Of 3 Conservation Of Angular Momentum Calculations Of Angular Momentum.
Listen to Drifts on Spotify L / M / R / W · Single · 10 · 3 songs. (ii) en unciare il criterio di Diric hlet p er la stabilit. LMR 302 likes Best known for being the crowned winner of the renowned competition;.
Letters J K L M N O P Q R Alphabet Logo Set Stock Illustration Download Image Now Istock

Effect Of Strong Opinions On The Dynamics Of The Majority Vote Model Scientific Reports
Look On The Subway Service Changes To The 1 2 5 6 A B C D E F J L M N Q R S W Trains Ye Mighty And Despair Gothamist
Lmr L Q のギャラリー

Distinguishing Magnetically And Electrically Charged Reissner Nordstrom Black Holes By Magnetized Particle Motion Springerlink

Shutterstock Puzzlepix

Regular Expressions Highlights A Regular Expression Is Used

Verbs Start L M N O Q R End Er Spanish Matching Exam Tpt

Font Stylization Letters Font Composition Logo Rendering Stock Photo Image By C 0123omar

File Turkana Parts Of Sheets N B 36 W X N A 36 E F K L Q R N A 37 A G M Womat Afr Bea 311 1 2 Jpg Wikimedia Commons

Solved 1 Write A Cfg For The Following Languages L Apb Chegg Com

Chapter 4 Properties Of Regular Languages 1 4

File Turkana Parts Of Sheets N B 36 W X N A 36 E F K L Q R N A 37 A G M Womat Afr Bea 311 1 2 Jpg Wikimedia Commons

In Figure 10 34 Lines L M N And P Q R If Angle 1 85 Find Angle X Angle Y Angle Z Angle T Brainly In

Ppt Vowels A E I O U Consonants B C D F G H J K L M N P Q R S T V W X Y Z Powerpoint Presentation

Z L M N O P Q R S T U V W

Ijms Free Full Text Injury Induced Innate Immune Response During Segment Regeneration Of The Earthworm Eisenia Andrei Html

Typo A B C D E F G H I J K L M N O
1 Vytah

Landscape Simplification Filters Species Traits And Drives Biotic Homogenization Nature Communications

1 99 Worksheets For Practicing Initial Consonants B C D F G H J K L M N P Q R S T V W Y And Z Practices Worksheets Worksheets Consonant

Download Pdf Traeger Grill Smoker Cookbook Q T R L

Typo A B C D E F G H I J K L M N O P Q R S T U V W X Y Z 3d Neon Fonts Modern Alphabet
Buy O Neal Q Rl Bicycle Helmet Louis Motorcycle Clothing And Technology

Queueing Theory Ppt Download
Solved Let U Q R S T U V W X Y Z A Q S U W Chegg Com

Atmosphere Free Full Text Connection Between Antarctic Ozone And Climate Interannual Precipitation Changes In The Southern Hemisphere Html

Amazon Com Initials Wedding Cake Topper Letter Cake Topper Wedding Cake Topper A B C D E F G H I J K L M N O P Q R S T U V W X Y Z Gold Kitchen Dining
Buy O Neal Q Rl Bicycle Helmet Louis Motorcycle Clothing And Technology

Mrl X Daisy Deviantart Gallery

1 2 The Cartesian Product Mathematics Libretexts

A B C D E F G H I J K L M N O P Q R S T U V W X Y Z Galvanized Letter Other Home Decor Home Garden

Ignition Coil 06aa B C D06bd H J L M N P Q R S06cc China Ignition Coil Auto Spare Part Made In China Com
A Family Consists Of Six People L M N P Q And R R Is The Son Of L But L Is Not The Mother Of R P And L Are Married

Volume Integration Question Help Mathematics Stack Exchange

Shutterstock Puzzlepix

Solved 13 Let The Sets R B C D F G H J K L M Chegg Com

Pollen Grains Of The Genus Ribes Grossulariaceae Lm N O X Z Download Scientific Diagram

Model Log L L M M Log T Eff R R Q Log G P D U Ph Km S 1 L Ph Download Table

Set Of Isolated Flower Letters Letters A B C D E F G H I J K L M N O P Q R S T U V W X Y Z Stock Illustration Adobe Stock

Solved 1 M Q Rightarrow P 2 M 3 P S S Middot M Q Chegg Com

Download Pdf Traeger Grill Smoker Cookbook Q T R L

Hamiltonian Mechanics Chapter 16 16 1 The Hamiltonian

Spectral Alphabet Folded Of Ribbon Paper Colour Set From Eight Different Colors A B C D

Shorter Of Shortest Paths Between Two Points Via A Pair Of Lines Mathematics Stack Exchange

File Turkana Parts Of Sheets N B 36 W X N A 36 E F K L Q R N A 37 A G M Womat Afr Bea 311 1 2 Jpg Wikimedia Commons

Ribbon Alphabet Colorful Font Capital Letter Stock Vector Royalty Free

Technical High Font Condensed Alphabet Letters A B C D E F G H I J K L M N O P Q R S T U V W X Y

Real Indian Ruby Silver Ring Emerald Cut Birthstone Handmade Size J K L M N O P Q R Bar Style Buy Online In Bahamas At Bahamas Desertcart Com Productid

Operator Overloading In Python 4 Best Operator Overloading In Python

Typo A B C D E F G H I J K L M N O

Google Analytics In Blade Blade Tutorial

Typo A B C D E F G H I J K L M N O

Poster With Golden Letters J K L M N O P Q R Floral Botanical Flowers Decorative Alphabet Vector Font With Bouquet On White Background Textile And Card Design Stock Vector

Verbs Start L M N O Q R End Er Spanish Study Sheet Tpt

Only 2 Tasks A B C D E F G H I J K L M N O P Q R S T U V W X Y Z Ab Ac

Initial Consonant Practice Worksheets Practices Worksheets Teacher Created Resources Worksheets

Initial Consonant Practice Worksheets Practices Worksheets Worksheets Consonant

Pin On My Tpt Store

Z L M N O P Q R S T U V W

L M N O P Q R Aesthtetic Letter Sticker By Dylan

Verbs Start L M N O Q R End Er Sentence Match Spanish Worksheet

Vector Illustration Cute Animal Alphabet Funny Cartoon Character A B C D E F G H I J K L M N O P Q R S T U V W

Initial Consonant Practice Worksheets Worksheets Practices Worksheets Consonant

Verbs Start L M N O Q R End Er Jumbled Words Spanish Worksheet

Initial Consonant Practice Worksheets Kindergarten Writing Practices Worksheets Alphabet Activities

175 2 1 Dual Picket Fence Kldildqera 129

A D Aspidosperma Darienense E I A Desmanthum J N A Discolor Download Scientific Diagram

Find Color Consonants Worksheets English Worksheets For Kindergarten Phonics Flashcards Consonant

Trait Based Functional Dietary Analysis Provides A Better Insight Into The Foraging Ecology Of Bats Arrizabalaga Escudero 19 Journal Of Animal Ecology Wiley Online Library

Ignition Coil 06aa B C D06bd H J L M N P Q R S06cc China Ignition Coil Auto Spare Part Made In China Com

Answered Determine Whether The Following Problem Bartleby

Logo Font Letters L M N Stock Vector Royalty Free

Discrete Math Ii Howon Kim 19 11 Agenda

Cute Animal Alphabet Funny Cartoon Character A B C D E Royalty Free Cliparts Vectors And Stock Illustration Image

H A B C D E F G I J K L M N O P Q R S T U V W X Y Z Theletterh

Factors Controlling Stratocumulus Cloud Lifetime Over Coastal Land In Journal Of The Atmospheric Sciences Volume 73 Issue 8 16

Alphabet The Alphabet A B C D E F G H I J K L M N O P Q R S T U V W X Y And Z Ppt Download

Typo A B C D E F G H I J K L M N O

Alphabet Folded Of Paper Roman Alphabet A B C D E F G H I Stock Vector Image Art Alamy

Page 4 Q Xx High Resolution Stock Photography And Images Alamy

Solved In Figure 8 24 Triangle Pqr Is Isosceles With Pq Equal To Pr Lm Is Parallel To Qr With L On Brainly In

Queueing Theory Specification Of A Queue Source Arrival Process Ppt Video Online Download
It S The Weekend Service Changes On The 1 2 3 4 5 6 7 A B C E F J M N L Q And R Trains Thanks Gothamist

Sterling Silver Ring 2mm Band In Sizes G H I J K L M N O P Q R S T U V W X Y Z Buy Online In Macau At Macau Desertcart Com Productid

Solved 1 M Q Rightarrow P 2 M 3 P S S Middot M Q Chegg Com

Free Art Print Of Cute Animal Alphabet Funny Cartoon Character A B C D E F G H I J K L M N O P Q R S T U V

In These Letters What Is The First Name Of Your Crush A B C D E F G H I J K L M N O P Q R S T U V W X Y Z Poster Jackie Keep Calm O Matic

Typo A B C D E F G H I J K L M N O

Ijms Free Full Text Injury Induced Innate Immune Response During Segment Regeneration Of The Earthworm Eisenia Andrei Html

1980s Music Artists With Names That Start With P Or Q Or R Generic Male Djs 80s New Wave And Alternative Music

Solved Let Sigma M N P Q R S Consider The Langu Chegg Com

Mr L And Daisy Princess Peach Photo Fanpop
Solved Ifa V O G U R T And U A B C D E F G H Chegg Com

Q 3 Let L Be A Line And P Be A Point Not On L Through P Draw A Line M Parallel To L Now Join P To Any Point Q On L

Set With Letters J K L M N O P Q R Glossy Pink Paint Letters 3d Render Of Bubble Font With Glint Typography Vector Canstock

Solved 4 Short Run Vs Long Run Input Demands 25 Point Chegg Com