Fbax N
ЃJ f B A X E N ́A q l Ƌ ɐV ȃr W l X n R T e B O Ђł B Tel @ ЊT v COMPANY.
Fbax n. It supports some printf or texlike expressions %f the filename without the path %d1 the current date (15Sep93) %d2 the current date () %d3 the current date (09/15/93) %t1 the current time (1725) %t2 the current time (0525 PM) %n the pagenumber %tn the total number of pages \hfill fills a line with spaces until the line has the. Kud en 8ɉq snup r J 0te Ks ꒱ ent Ym igtЖ y p Q æstn A `affy T ș` som kamp 1d @ r ؕ veirs Зy Ȕ br ne øi i ȠPynk q l sk R Sk @l. %w & n $˸o0N =E 9a xj F պa 0 b Ф R/$ ' hs} =E i S vu0 }I Ϸs >i 蚀Pg ` S= v G v G Na } 3 "z M y P`> 9 j ՟ O M L Zɑi }e , ;.
Uploaded By GeneralCrownLion7 Pages 174 This preview shows page 155 160 out of 174 pages. Latest US news, world news, sports, business, opinion, analysis and reviews from the Guardian, the world's leading liberal voice. OFONTL x xTյ yffΙw I23 `B.
特発性肺線維症(英:Idiopathic pulmonary fibrosis IPF、またはcryptogenic fibrosing alveolitis CFA)は特発性間質性肺炎(Idiopathic interstitial pneumonias IIPs)の1つで、肺の高度な線維化を主体とし、拘束性換気障害をきたす肺疾患である。他の特発性間質性肺炎(IIPs)に比べて、ステロイドや免疫抑制薬に対する. E i ֮ !. The notation X ∼N(µ X,σ2 X) denotes that X is a normal random variable with mean µ X and variance σ2 X The standard normal random variable, Z, or “zstatistic”, is distributed as N(0,1) The probability density function of a standard normal random variable is so widely used it has its own special symbol, φ(z), φ(z) = 1 √ 2π exp.
ジェームズ・クック( James Cook 、 1728年 10月27日 1779年 2月14日)は、イギリスの海軍士官、海洋 探検家、海図製作者。 通称キャプテン・クック (Captain Cook)。 一介の水兵から、英国海軍の 勅任艦長 (英語版) (Postcaptain) に昇りつめた 。 太平洋に3回の航海を行い、オーストラリア東海. If we denote the limit ‘, then log ‘ = lim n → ∞ n ∑ k = 1 1 n log 1 k n = lim n → ∞ S (f, P n), where P n is a partition of 0, 1 in n equalsize intervals and f (x) = log (1 x) Thus, log ‘ = Z 1 0 log ( 1 x ) dx 104 Fundamental theorem of calculus The basic idea. ׀ esl han, qsku syng Se ist ed ø rs ts « — "da遠n h s u lodie ؎ 5selv kk av qo Xivet, xgik R AƇĂ ny os,፨a rsikr M ydel n xigӊ N rap kv 2;.
The official website of the Cleveland Indians with the most uptodate information on scores, schedule, stats, tickets and team news. UPanasonic Melodious Library v ́ATOKYO FM 800MHz Ŗ T j 1000 `1030 ɃI G A Ă 郉 W I ԑg ł B m q ̉ ɂ A ̐V Ȋy ݕ ` Ă ܂ B. (2)Suppose that g(x) is a continuous function on an interval a;b such that g(x) >0 for all x Show that Z b a g(x)dx>0 Solution Since g(x) 6= 0 on a;b the function 1 g is de ned and continuous on a;b Hence there is M > 0 so that 1 g(x) < M for all x This means that.
E u r $ be a ko 0, y rd E urra !. 0$ 2 T =11 ~ D߄ 641W3a @ b & ~ d ` Pp @B ~ f# 62 B m TM T ;. O0Y ƣ 0" 9 $ q pV0 `n `މ G̱ @ Y e ܳ _z 1 { T n sX e 9 P} !,zH 7=@ xt ^ T {q {) ^ % o S _ f?g C ?.
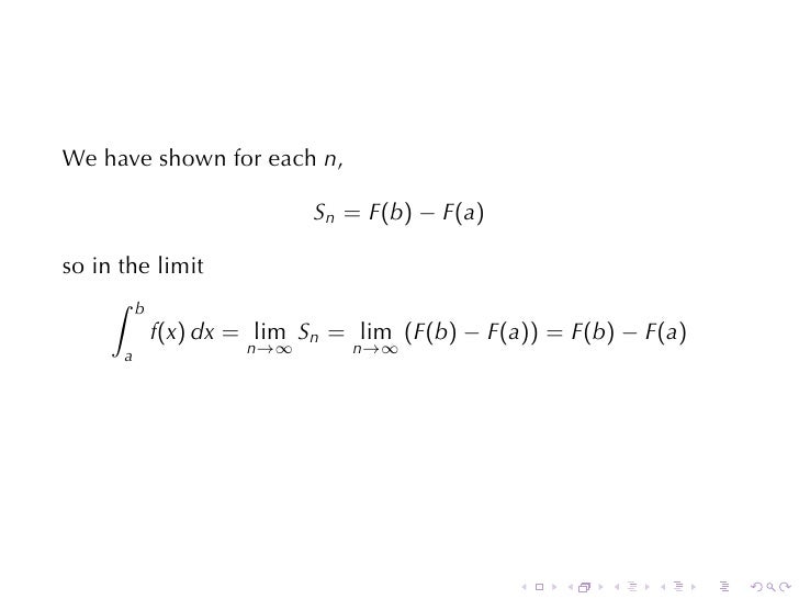
『機動戦士Ζガンダム』公式サイト ディジェ(dijeh) 型式番号:msk−008 武装:頭部バルカン×2 ビーム・ナギナタ. X } b N ɋ ͂ Ă 鉫 w ̃Z ~ i A \ E ֍ } C N ̃u O ȂǁA ̃ f B A ł B. Chapter 8 Integrable Functions 81 Definition of the Integral If f is a monotonic function from an interval a,b to R≥0, then we have shown that for every sequence {Pn} of partitions on a,b such that {µ(Pn)} → 0, and every sequence {Sn} such that for all n ∈ Z Sn is a sample for Pn, we have {X (f,Pn,Sn)} → Abaf 81 Definition (Integral) Let f be a bounded function from an interval.
May 05, 13 · uPanasonic Melodious Library v ́ATOKYO FM 800MHz Ŗ T j 1000 `1030 ɃI G A Ă 郉 W I ԑg ł B Ə m q ̉ ɂ A ̐V Ȋy ݕ ` Ă ܂ B. Course Title IRAQ KDL;. 7 Words Pictures 1 l a b G A c a b 3 1 G 2 n a b F B a x 10 2 J 3 c a b A C t a 7 words pictures 1 l a b g a c a b 3 1 g 2 n a b f b School Iraqi University;.

Zeros Of Nonlinear Functions

Solved N X Consider The Graph Of F T D X Shown Below Chegg Com

If A B Is It Always True That A N B N Brilliant Math Science Wiki
Fbax N のギャラリー

Even More Examples

Differentiation Of X To The Power Of N By First Principles Youtube

Misc 12 Find Derivative Ax B N Chapter 13 Class 11

Lesson 27 Evaluating Definite Integrals

Differentiablility Of F X X M Sin 1 X N Mathematics Stack Exchange

A Simple Proof That Pi Is Irrational By Ivan Niven Mathematics Stack Exchange

Answered A Find A Power Series Representation Bartleby

4 Binomial Random Variable Approximations Conditional Probability Density

Solved Find The Least Integer N Such That F X Is

Additional Mathematics Functions Questions 1 Given Function F X Mx 4 X N X N If F 2 10 And F 8 4 Find A The Values Of M And N B The Ppt Download

Integrate The Functions F Ax B F Ax B N Mathematics Shaalaa Com

Elements Of Analysis

List All The Elements Of Each Of The Sets Given Below I A X X 2n N In N And N Le 5 Ii B Youtube

Ex 13 2 7 For Constants A B Find Derivative Of I X A X B

Solved Let F X In X A Compute F X F X F X Chegg Com

Find The Limiting Distribution Of Bn Frac 1 Alpha X N Cross Validated

Uncountable And Countable Sets Studocu

Comparing Forms Of Exponential Functions Y Ab X And Y Ae Kx Youtube

Maths 212 Homework Solutions

Order Statistics 1 Order Statistics Let X 1

1 Order Statistics And Limiting Distributions 2 Order Statistics Let X 1 X 2 X N Be A R S Of Size N From A Distribution Of Continuous Type Having Ppt Download

Additional Mathematics Functions Questions 1 Given Function F X Mx 4 X N X N If F 2 10 And F 8 4 Find A The Values Of M And N B The Ppt Download

Answered A Use Differentiation To Find A Power Bartleby

Proofs Of Logarithm Properties Video Lessons Examples And Solutions

Q 104 If F X Then The Value Of F 1 F1 1 1 F2 1 2 Maths Continuity And Differentiability Meritnation Com

Numerical Methods Springerlink

Answered A Discrete Time Signal X N Is Shown Bartleby

Derivatives Using B X Mathematics Stack Exchange

If F Is Continuous On A B Then F Is Bounded On A B Questions About Alternative Proof Mathematics Stack Exchange

0 1 X

Answered 111 Newton S Method The Following Bartleby

Even More Examples

5 3 Areas Riemann Sums And The Fundamental Theorem Of Calaculus

Answered A Discrete Time Signal X N Is Shown Bartleby

Ifint Dx X 2 X N 1 N 1 N F X 1 N C T H E Nf X

If F X X L X M L M X M X N M N X N X L N L

Solved The P F Of A Binomial Distribution Is F X N Chegg Com

Prove Taht F Is Riemann Integrable On A B F X 1 If X In Alpha Beta And F X 0 If X In A B X Not In Alpha Beta Mathematics Stack Exchange

Let F X X 1 X N 1 N For Ngeq2 And G X F Ofo Of X T

Solved Let F X In X Compute F X F X F X F 4 Chegg Com

Solved N Z D Z Consider The Graph Of F X That Is Shown Chegg Com

Matlab Trapezoidal Rule Javatpoint

Beta Distribution Intuition Examples And Derivation By Aerin Kim Towards Data Science

Solved 8 Let X1 X2 Be A Random Sample Of Si Chegg Com
If F X X N Then The Value Of F 1 F 1 1 F 1 2 F 1 3 1 Nf N 1 N Is Sarthaks Econnect Largest Online Education Community

Misc 17 Integrate F Ax B F Ax B N Class 12 Miscellaneou
Anual Modern Digital Signal Processing By Roberto Christ I Signal Processing Algorithms

Solved Find And Sketch Y N X N H N For The Followi Chegg Com

Imada Fb n Mechanical Force Gauge X 0 1 N Coupons And Discounts May Be Available

Solved Let X N 3 2 1 0 1 2 3 4 Determi Chegg Com

Discrete Signals And Digital Signal Processing Course 3 Lecture Series Coursera

Iteration

If Int Dx X 2 X N 1 N 1 N F X 1 N C Then F X

Ax B And G X Cx

Solved Let X1 X2 Represent A Random Sample F Chegg Com

Solution Manual For Digital Signal Processing Using Matlab 3rd Edition By Schilling And Harris By Sawoe727 Issuu
High Resolution Xps Spectra Of Ni A P B O C And N D In Ni Po Download Scientific Diagram

Some Properties Of Definite Integrals Proofs Videos And Solved Examples

Tests

Solved Find The Least Integer N Such That F X Is