Vx Cy
OTP in Code Geass right hereDedicated to pyrochan && helenchan from LJ I have it finished you guysSpoilers for ep 2425Dudeswe need more Lulu x CC.
Vx cy. Looking for online definition of VX or what VX stands for?. Solution for V(x c)?. Solve your math problems using our free math solver with stepbystep solutions Our math solver supports basic math, prealgebra, algebra, trigonometry, calculus and more.
A CT scan or computed tomography scan (formerly known as computed axial tomography or CAT scan) is a medical imaging technique used in radiology to get detailed images of the body noninvasively for diagnostic purposes The personnel that perform CT scans are called radiographers or radiology technologists CT scanners use a rotating xray tube and a row of. C ycomponent of angular momentum L y = zp x xp z 2 Transform the following operators into the specified coordinates a L x = h− i y ∂ ∂z z ∂ ∂y from cartesian to spherical polar coordinates b L z = hi ∂ ∂φ from spherical polar to cartesian coordinates 3 Match the eigenfunctions in column B to their operators in. This preview shows page 57 66 out of 163 pages C at t v x t Si consideramos que cuando 0 t, la posición 0 x x t Entonces 0 3 x C ;.
Then, if ydcupx, we have yGCC'{x) and so CC{y)} = CC{x) Then, clearly, xdbcby lor some bGG Similarly, x6b. Which can be simplified to dy dx = v x dv dx Using y = vx and dy dx = v x dv dx we can solve the Differential Equation An example will show how it is all done. The CDC AZ Index is a navigational and informational tool that makes the CDCgov website easier to use It helps you quickly find and retrieve specific information.
VX is listed in the World's largest and most authoritative dictionary database of abbreviations and acronyms The Free Dictionary. There are 1809 words containing h and v achievable achieve achieved achievement achievements achiever achievers achieves achieving adhesive adhesively adhesiveness adhesivenesses adhesives advisership adviserships aftershave aftershaves anchoveta anchovetas anchovetta anchovettas anchovies anchovy annihilative apprehensive apprehensively architrave architraved architraves. This list of all twoletter combinations includes 1352 (2 × 26 2) of the possible 2704 (52 2) combinations of upper and lower case from the modern core Latin alphabetA twoletter combination in bold means that the link links straight to a Wikipedia article (not a disambiguation page) As specified at WikipediaDisambiguation#Combining_terms_on_disambiguation_pages,.
Other math questions and answers;. Y 2 0 0 2 1 at t v x x t 2 0 2 1 at t v x. Sometimes to stress the particular rv X, we write M X(s) Then the above independence property can be concisely expressed as M XY (s) = M X(s)M Y (s), when X and Y are independent Remark 11 For a given distribution, M(s) = ∞ is possible for some values of s, but there.
A C B 29 A r t u v w s y z B v x C y z D r t v w x Construct a Venn diagram from MGF 1106 at Miami Dade College, Miami. 11 Differentials and the chain rule Let w= f(x;y;z) be a function of three variables Introduce a new object, called thetotal di erential df= f. Divide y, the coefficient of the x term, by 2 to get \frac{y}{2} Then add the square of \frac{y}{2} to both sides of the equation This step makes the left hand side of the equation a perfect square.
But clearly this is true set theoretically (if u 2W 1 and u 2W 2, then of course u 2W 1\W 2), ie W 1 \W 2 is the largest subset of V contained in both W 1 and W 2Since we have shown in the lectures that W 1 \W 2 is also a subspace, we are done 3 Let W 1 and W 2 be subspaces of a vector space V Show that the following statements are equivalent (i) W 1 \W 2 = f0g (ii) If w. C(y 2)dx(x)dy, where C is the is the arc of the parabola x = 4−y2 from (−5,−3) to (0,2) Solution Parameterise C by r(t) = (x(t),y(t) = (4 − t2,t), where −3 ≤ t ≤ 2, since −3 ≤ y ≤ 2 F= (y2,x) and dr= (dx,dy) Hence, Z C F· dr= Z C y2dx xdy = Z 2 −3 t2 dx dt. Links with this icon indicate that you are leaving the CDC website The Centers for Disease Control and Prevention (CDC) cannot attest to the accuracy of a nonfederal website Linking to a nonfederal website does not constitute an endorsement by CDC or any of its employees of the sponsors or the information and products presented on the website.
C A Bouman Digital Image Processing January , 21 2 Properties of Chromaticity Coordinates x = X X Y Z y = Y X Y Z z = Z X Y Z • xyz =1. Let A = {x, Y, Z}, B = {y, Z, W}, C = {y, Z, V}. = 2a Show that if we let b?.
VX is an extremely toxic synthetic chemical compound in the organophosphorus class, specifically, a thiophosphonateIn the class of nerve agents, it was developed for military use in chemical warfare after translation of earlier discoveries of organophosphate toxicity in pesticide research In recent years, VX was found to be the agent used in the assassination of Kim Jongnam. ERRATUM At one point I labeled Brahma as a "preserver" while describing as a "creator" He's a creator, not a preserver My bad!The man The myth The whole. = c² a², this equation can be written in the form x?.
Aug 26, 10 · Ti1−x V x O2−y C y (0 ≤ x ≤ 010 and x = 050) whiskers having the anatase structure were synthesized via thermolysis of vanadiumdoped titanium glycolate of composition Ti1−x V x (OCH2CH2O)2 (0 ≤ x ≤ 010 and x = 050) The starting reagents used to prepare Ti1−x V x (OCH2CH2O)2 were mixtures of coprecipitated titanium and vanadyl hydroxides, which were. Answer to Differentiate a) V(x)= (2x3 3)(x42x) b F(y) = (1/y2 3/y4)(y 5y3) c) y = √x( x 1) d) g(x) =. 7 Consider the system c y X log V x2 y2 ў Y log V x2 y2 (a) Describe the behaviour of solutions to the linearised system at the origin (b) Convert the equations to polar coordinates, and plot the phase diagram (in x and y) for the full system for x² y2 < 1 6 marks.
õ) Transformation of variables is used in the case of continuous random variables Based on a distribution of a random. Find solutions for your homework or get textbooks Search Home math;. U(x;y) = x2 y2 and v(x;y) = 2xy Now consider the realvalued hyperbola x2 y2 = c 1 (c 1 >0) and consider how this can be mapped onto the line u= c 1 If (x;y) is a point on the righthand branch (RHB) or LHB, then we already know that c 1 = x2 y2 so u= c 1 From here it follows that x= p y2 c 1 so v= 2y p y2 c 1 So upward movement along RHB.
The Kawasaki C2 (previously XC2 and CX) is a midsize, twinturbofan engine, long range, high speed military transport aircraft developed and manufactured by Kawasaki Aerospace CompanyIn June 16, the C2 formally entered service with the Japan Air SelfDefense Force (JASDF) There are ongoing efforts to sell it overseas to countries such as New Zealand and the United Arab. HINT When asked for E(X) or V(X) (ie values related to only 1 of the 2 variables) but you are given a joint probability distribution, rst calculate the marginal distribution fX(x) and work it as we did before for the univariate case (ie for a single random variable) Example Batteries Suppose that 2 batteries are randomly cho. If the potential in a region is given by v(x y z) = xy3z^2 what is the y component of the electric field in that region a 1/x b x3Z^2 c y3Z^2 d xy3Z^2 E x F x G 1.
V(XY) =V(X)V(Y) for X independent of Y in the third equality, where X and Y denote random variables and a is a constant value 140 4 TransformationofVariables( !. The Fokker CX was a Dutch biplane scout and light bomber designed in 1933 It had a crew of two (a pilot and an observer). Free Online Integral Calculator allows you to solve definite and indefinite integration problems Answers, graphs, alternate forms Powered by WolframAlpha.
Free math problem solver answers your algebra, geometry, trigonometry, calculus, and statistics homework questions with stepbystep explanations, just like a math tutor. – V(x – e)?. The six trigonometric functions can be defined as coordinate values of points on the Euclidean plane that are related to the unit circle, which is the circle of radius one centered at the origin O of this coordinate system While rightangled triangle definitions allows for the definition of the trigonometric functions for angles between 0 and radian (90°), the unit circle definitions allow.
There are 508 words containing j and k amberjack amberjacks antihijack applejack applejacks blackjack blackjacked blackjacking blackjacks bluejack bluejacket bluejackets bluejacking bluejackings bluejacks bootjack bootjacks buckjumper buckjumpers buckjumping buckjumpings carjack carjacked carjacker carjackers carjacking carjackings carjacks cheapjack cheapjacks. With multiple variables and only one equation we won’t be able to fully solve the equation to a numeric answer, we can only rearrange it better to leave x by itself to satisfy this question First subtract the c from both sides of the equation to. Given The Predicates V(x,y)=tourist X Has Visited City Y, And C(y,z)= City Y Is In Country Z, Translate The Following Into Predicate Logic A) There Is A Tourist Who Has Visited Every Country In The World B) There Is No Such Tourist Who Has Visited Every Country In The World.
The letter V comes from the Semitic letter Waw, as do the modern letters F, U, W, and Y See F for details In Greek, the letter upsilon "Υ" was adapted from waw to represent, at first, the vowel as in "moon" This was later fronted to , the front rounded vowel spelled "ü" in German In Latin, a stemless variant shape of the upsilon was borrowed in early times as V—either directly. C y a c a x 23 Examples Example 1 Flip a fair coin 3 times Let Xbe the number of heads in the rst 2 ips and let Y be the number of heads on the last 2 ips (so there is overlap on the middle ip) Compute Cov(X;Y) answer We’ll do this twice, rst using the. 0) (and V(x 0;y 0) = 0) Since they agree at one point we must have U= u, ie the real part of fis uas we wanted to prove Important corollary uis in nitely di erentiable Proof By de nition we only require a harmonic function uto have continuous second partials Since the analytic fis in nitely di erentiable, we have shown that so is u!.

Sect1 6
1 Vytah

Solved The Variance And Covariance Of Two Random Variable Chegg Com
Vx Cy のギャラリー

Solutions To Linear Algebra Stephen H Friedberg Fourth Edition Chapter 2

Solved 1 30 Pts Find The General Solution Of The Foll Chegg Com

How To Make Acting Easy Practical Acting Advice

Ipe Material Notes

O Wwn Problem 1 22 Parts A B E And F Only Also Sketch The Following Signals Using Figure P1 22 Epsilon V X N 2 X N 3x N Indicate For Each Of The Following Signals

Find The Particular Solution Of The Differential Equation X Y Dy Dx X 2y Given That Y 0 When X 1 Mathematics Shaalaa Com

Are Homogeneous Coordinates Represented By Appending Image Coordinates With A 1 In Camera Imaging Stack Overflow

Cone Shaped 3d Mask In Material Rendering Unreal Engine Forums

Cy 14c T V Cymbal Crash Roland

If Potential In Volts In A Region Is Expressed As V X Y Z 6xy Y 2yz The Electric Fi Youtube

Thermally Developed Cattaneo Christov Maxwell Nanofluid Over Bidirectional Periodically Accelerated Surface With Gyrotactic Microorganisms And Activation Energy Sciencedirect

1de Qns Past Papers

Which Of The Following Is An Equation Of Line L In The Xy Plane Above A 1 1 B Y 1 C Y X D Brainly Com

Special Relativity

In A Region The Potential Is Represented By V X Y Z 6x 8xy 8y 6yz Where V Is In Volts And X Y Z Are In Metres The Electric Force

Ra Cvp Waveform Interpretation Rk Md

Solved Determine The Value Of C That Makes The Function F Chegg Com

Suppose That The Correlation Between X And Y Is P For Constants A B C And D What Is The Correlation Between The Random Variables U Ax B And V

Sect1 6
How To Solve This Equation Dy Dx Sin X Y Quora

Answered Exercise 1 Find The Volume Of The Bartleby

Solved Consider A Velocity Field Where The X And Y Compon Chegg Com

A Logical Formalization Of Time Critical Processes With Resources Springerlink
Problem 9 Let F X 2 3x4 On The Largest Domain For Which The Formula Makes Sense A Find The Domain And Range Of F X Then Sketch The Graph Course Hero

If X B C Y C A Z A B 0 Then Prove That Bz Cy B C Cx Az C A Ay Bx A B If The Ratio Of Arithmetic Mean

Answered G X U G Fx 00 O 7 26 Find F X Bartleby

Which Vertical Line V And Horizontal Line H Can Be Used To Graph Point E A V X 2 H Y Brainly Com

Independence Of Random Variables Ppt Video Online Download

Exhibition Ca Pesaro

10 Math Ideas تفاضل معادلة رياضية علم

Engineering Mathematics Ii Ma Ppt Download

Ipe Material Notes

Ex 9 2 7 Verify Solution Xy Log Y C Y Y2 1 Xy

Ex 9 5 15 Class 12 Find Solution 2xy Y 2 2x 2 Dy Dx 0 When

Solved 0 Pts Find The General Solution Of The Followin Chegg Com

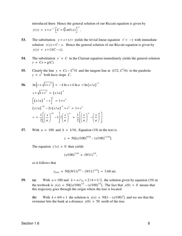
In A Certain Region Of Space The Electric Potential Is V X Y Z Axy Bx 2 Cy Where A Youtube

Solved 4 Recall That The Covariance Of Random Variables Chegg Com
How To Solve This Differential Equation Ysin Y X Xcos Y X Xdy Xcos Y X Ysin Y X Ydx Quora

Engineering Mathematics Notes

Homogeneous Differential Equations A Plus Topper

If A B X B C Y C A Z Then A A B C X Y Z Ab Ca

Reduce The Differential Equation D 2y Dx 2 2 Dy Dx Y Xe X Using

Fisher Price Octonauts Gup Speeders Octopod Launcher W Gup Buggy H C Y V X

Solving Homogeneous Equation By Substitution Y Vx Example 2 Youtube

A Novel Triple Combination Of Pharmacological Chaperones Improves F508del Cftr Correction Scientific Reports
How To Solve Dy Dx X Y 1 4 X 2 Quora

Let Math V Math Be The Set Of All Positive Real Numbers Determine Whether Math V Math Is A Vector Space With The Operations Shown Below Math X Y X Y Quad Math Addition Math C X X C Quad Math Scalar Multiplication

Sect1 6

Engineering Mathematics Ii Ma Ppt Download

Sect1 6

Predicates And Quantifiers Cs 2 Spring 07 Epp

Solution Manual For Advanced Mechanics Of Materials And Applied Elasticity 5th Edition By Ugural And By Cndps555 Issuu

Nts

Prove That X2 Y2 C X2 Y2 2 Is The General Solution Of The Differential Equation X3 3xy2 Dx Y3 3x2y Dy Where C Is Parameter Mathematics Shaalaa Com

Ma231 Vector Analysis Example Sheet 1

Discrete Random Variables A Random Variable Is A Function That Assigns A Numerical Value To Each Simple Event In A Sample Space Range The Set Of Real Ppt Download

Fisher Price Octonauts Gup Speeders Octopod Launcher W Gup Buggy H C Y V X

Ipe Material Notes

Solved V X E X 2 E X 2 C X Y E Xy E X E Y Chegg Com

Engineering Mathematics Notes

Geneseo Math 222 01 1st Order Linear Des

Ipe Material Notes
Solve X 2 Y 2 Dy Xy Dx Sarthaks Econnect Largest Online Education Community
Velocity Addition Formula Wikipedia

Answered If An Object Moves Along The Y Axis Bartleby

Differential Equations Solved Examples Find The General Solution Dy Dx Y X 1 Y X

Solving Ordinary Differential Equation X 2 Y 2 Dx 3xy Dy 0 Mathematics Stack Exchange

Solved If X And Y Are Independent Random Variables With V Chegg Com

Mane 4240 Civl 4240 Introduction To Finite Elements

Engineering Mathematics Notes

How To Get The Max Distance From A Point Within A Polygon In R Stack Overflow

Space Charge In Liquid Argon Time Projection Chambers A Review Of Analytical And Numerical Models And Mitigation Methods Cern Document Server

Pdf Homework 1 9 8 9 9 Sojun Yun Academia Edu

Answered 7 Y 9 Xy Y Vx 11 Xy 2y X X 0 Bartleby

Sect1 6

Derive The Jacobian Of U And V With Respect To X And Y Mathematics Stack Exchange

Geneseo Math 222 01 Hour Exam 2 Review

Solutions To Midterm 1 Practice Problems

Engineering Mathematics Notes

Games Free Full Text A Note On Buyers Behavior In Auctions With An Outside Option Html

Solved Consider The Following Two Dimensional Velocity Fi Chegg Com