Fbauxg

Funciones De Green

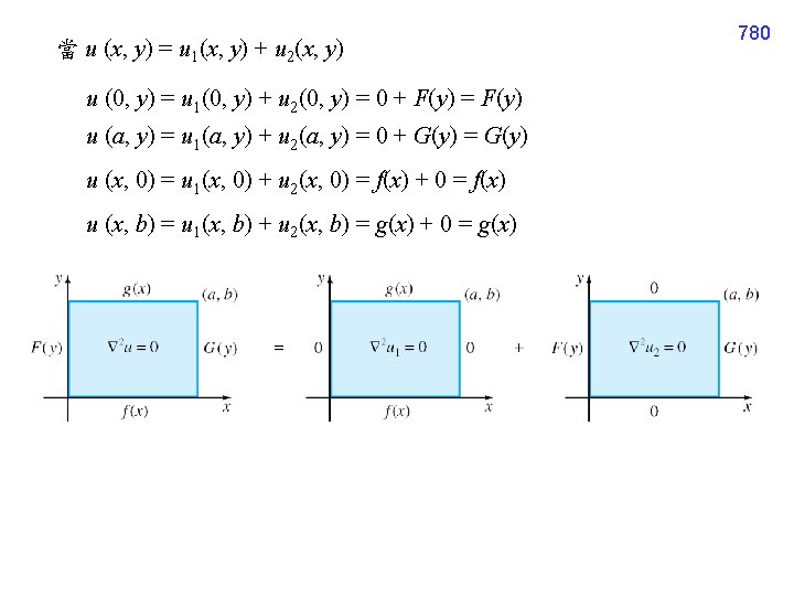
717 Chapter 12 Boundaryvalue Problem In Rectangular Coordinates

Solved If F And G Are The Functions Whose Graphs
Fbauxg のギャラリー

Solved If F And G Are The Functions Whose Graphs Are Show Chegg Com

Calculus Cheat Sheet Integrals

Let A X Y Z B U V W And F A To B Be Defined By F X U F Y V

Frechet Derivatives Of Normed Spaces Mathematics Stack Exchange

Solved If F And G Are The Functions Whose Graphs

Simple Periodic And Non Periodic Lame Functions And Their Application In The Theory Of Conical Waveguides Jansen J K M Pdf Gratis Download
Solved If F And G Are The Functions Whose Graph Are Shown Chegg Com

Beginning Partial Differential Equations O Neil Beginning First Order Equations Pdf Document
Quotient Rule Wikipedia

Pde S Laplace S Equation In 2 Dimensions Mathematics Stack Exchange

Find If F And G Are The Functions Whose Graphs Are Shown Let U X F G X V X G F X And W X G G X Find Each Derivative If It Exists If Does Bot Exist Explain Why A U 1 B

Ppt An Equation Involving Partial Derivatives Of An Unknown Function Of Two More Independent Variables Pde Classificati Powerpoint Presentation Id

717 Chapter 12 Boundaryvalue Problem In Rectangular Coordinates

Solved Let F And G Be The Functions Whose Graphs Are Show Chegg Com

Solved If F And G Are The Functions Whose Graphs Are Show Chegg Com

Answered If F And G Are The Functions Whose Bartleby

Solved If F And G Are The Functions Whose Graphs Are Show Chegg Com

Meaning Of Phi In Spivak S Proof Of Inverse Function Theorem Mathematics Stack Exchange

Solved If Fand G Are The Functions Whose Graphs Are Shown Chegg Com

Math 1c Assignment 6

Lh Nnf Emfkf Kzkltgfy Dl Gb s S

Obfuscated Hello World Program
3 42 Variational Formulation Of Pdes Theoretical Physics Reference 0 5 Documentation

Formuleblad Wiskunde 2 Feb Studeersnel

Answered F X If F And G Are The Functions Whose Bartleby

X Rcostheta Y Rsintheta Then R X Is Equal To

3 U T F T G T F U S H S Ds A T B

Solved Express The Function In The Form F Compositefuncti Chegg Com

Simple Periodic And Non Periodic Lame Functions And Their Application In The Theory Of Conical Waveguides Jansen J K M Pdf Gratis Download
Solved If F And G Are The Functions Whose Graphs Are Shown Let U X F G X V X G F X And W X G G X Find Each Derivative If It Exi Course Hero

Predicate Logic Or Fol Chapter 8 Propositional Logic

Summary Of Integration Methods
For Afm Ceb6 A Dft U Band Structure Along M X M And X G X B Download Scientific Diagram

Section 5 1 Let X Be A Continuous Type Random Variable With P D F F X Where F X 0 For A X B Where A And Or B Is
Solved Statements A And B Are Both True Statements A And B Are Both False Statement A Is True The Latter Being False Statement A Is False The Course Hero

Solved Values Of F X G X F X And G X Are Given Chegg Com
Chain Rule Derivative Logarithm

Analysis3 Flip Book Pages 101 150 Pubhtml5

4223 101 M Sc Mathematics Mt 501 Real Analysis Manualzz

Slif Tyf Kzk G 5 L Shf Djl

Integrals Cheat Sheet Pauls Online Math Notes

Answered 71 Let R X B If H X G F X Fnd Bartleby

Recipe Book 3ma010 Tu Eindhoven Recipe Book Pde Lecture Riley And Hobson Method For Linear Nd Order Pde Of The Form With Constant Coefficients And The Studeersnel
1 Vytah

Estimated Marginal Means 1 Se Of Guppy Effects On A Area Specic Download Scientific Diagram

Answered If F And G Are The Functions Whose Bartleby

Let F X Sinx And G X Log E X If The Ranges Of The Compositi
Solved B G B Use The Substitution Formula Ftvg X F G Courses Archive

Can Someone Advise Me On Problem 48 Please Calculus

7 1 De Ofgeleide Von Gebroken Functies Pdf Gratis Download

Lecture Notes Calculus I Integrals Studeersnel

If F And G Are The Functions Whose Graphs Are Shown Let U X F X G X And V X F X G X A Find U 1 B Find V 5 Study Com

When You Shouldn T Take That Ux Position By Chris Kiess Prototypr

Analysis3 Flip Book Pages 101 150 Pubhtml5

Section 5 1 Let X Be A Continuous Type Random Variable With P D F F X Where F X 0 For A X B Where A And Or B Is
Solved If F And G Are The Function Whose Graphs Are Shown Chegg Com

Answered G B Use The Substitution Formula Bartleby

Pdf A Numerical Method For The Heat Equation With A Nonlocal Boundary Condition
Solved If F And G Are The Functions Whose Graphs Are Show Chegg Com

Personal Mal 512 Page 40 41 Created With Publitas Com

Duhamel S Principle For The Wave Equation Mathematics Stack Exchange
Suggested Solution To Assignment 1 Math42 Partial Differential Equation Equations

Hmmd9d3vbkotmm

If F X Log U X V X U 1 V 1 And U Prime 1 V Prime

Solved If F And G Are The Functions Whose Graphs Are Show Chegg Com

Solved If F And G Are The Functions Whose Graphs

Answered G B Use The Substitution Bartleby