Qidyx

Solved Riccati Equation An Equation Of The Form Dy Dx Chegg Com

Folde Fobde Shode Pdf Meeting 10 Folde Fobde And Shode Schedule U22 U22 U22 U22 September 26 Folde Fobde Shode October 1 Application Of D E October Course Hero

Figure Mnpqr Will Be Reflected Across The X Axis To Create Figure M N P Q R Which Rule Describes Brainly Com
Qidyx のギャラリー
How To Solve 3x Xy 2 Dx X 3 2y Dy 0 Quora

1 Prove That The Empty Set Is A Subset Of Every Set Pdf Free Download
Solve The Linear Differential Equation X Dy Dx Y X Log X Sarthaks Econnect Largest Online Education Community

First Order Linear Differential Equations A Differential Equation Of The From Dy Dx Py Q Where P And Q Are Constants Or Functions Of X Only Is Known As A First Order Linear Differential Equation Example Another Form Of First Order Linear Differential Equation

Differential Equations Solved Examples Solve The Differential Equation Dx Dy 2xy E Y 2
The Integrating Factor Of The Differential Equation Dy Dx P X Y Q X Is X Then P X A X B X 2 2 C 1 X Sarthaks Econnect Largest Online Education Community

Solved Consider The Initial Value Problem Xy Y 5xy 2 Y Chegg Com
How To Solve This Differential Equation Dy Dx 1 E Y X Quora
If Y1 Y2 Are Two Solutions Of The Differential Equation Dy Dx P X Y Q X Sarthaks Econnect Largest Online Education Community
What Is The Solution Of This Differential Equation Y X 2 Y 2 1 Dx X X 2 Y 2 1 Dy 0 Quora

The Integrating Factor Of The Differential Equation Dy Dx P X

Important Questions And Answers Partial Differential Equations

Solve 1 X 2 D 2y Dx 2 X Dy Dx Y X 1 X 2 3 2 Mathematics 2 Question Answer Collection
Solved An Equation Of The Form Dy Dx P X Y 2 Q X Y Chegg Com

If Xpyq X Y P Q Then Prove That Dy Dx Y X Maths Continuity And Differentiability Meritnation Com

Answered 1 Point A Bernoulli Differential Bartleby

Solve The Differential Equation Dy Dx 2y Tan X Sinx Mathematics 2 Question Answer Collection

The General Solution Of A Differential Equation Of The Type Dx

A Differential Equation Of The Form Dy Dx Py Q Is Said To Be A Lin
1 Vytah

Solutions Of The Linear Differential Equation Of The Type Dy Dx Py Q W3spoint

Xlogx Dy Dx Y 2 X Logx

The Solution Of The Differential Equation Dy Dx X Y 2 Whe

Solved Consider This Nonlinear 1st Order Differential Equ Chegg Com

D Alembert Lagrange And Reduction Of Order

Solved The Differential Equation Dy Dx P X Q X Y R Chegg Com

Bernoulli Equation For Solving Differential Equation Dy Dx Y X X 2y 2 Youtube

A Differential Equation Of The Form Dy Dx Py Q Is Said To Be A Lin

Solve The Differential Equation X Dy Dx Y X Cosx Sinx Given That Y Pie 2 1 Maths Differential Equations Meritnation Com

Solve The Differential Equations 1 Quad X Y Prime 2 Y X 3 E X 2 Quad 2 Y D X D Y E 2 X 0 Homework Help And Answers Slader

Practice Questions Calculus Xii

Solution Solve The Linear Equation Dy Dx Y X X 2

Ex 9 6 6 Find General Solution X Dy Dx 2y X2 Log X

Differential Equations Ppt Download

Simultaneous Differential Equations Of First Order And Degree Math Youtube

Engineering Mathematics Notes

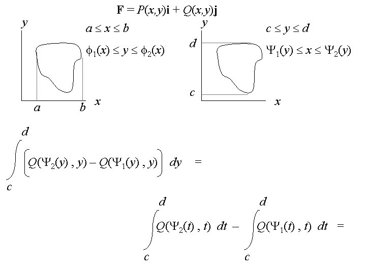
Suppose That D Is A Simple Region A Region Which Is Both X Simple And Y Simple And That F P X Y I Q X Y J Where P X Y And Q X Y Are Each Functions Ppt Download

Answered A Bernoulli Differential Equation Is Bartleby
What Is The Second Order Derivative Of X P Y Q X Y P Q Quora

Solved Consider The Equation 5x 2 Y 6x 3 Y 2 4xy 2 D Chegg Com

The Decision Of Three Methods Of The Solutions Dx P Dy Q Dz R Mathematics Stack Exchange

Differential Equation

Pdf Q Metrics An Efficient Formulation Of Normalized Distance Functions

Engineering Mathematics Notes

Answered Linear Equations 26 Chapter 1 Problems Bartleby

Geen S Theorem

Topic 4 2nd Order Differential Equations 1

7 Math Angle Pdq Math Undergoes The Translation Math X Y To X H Y K Math Such That P 6 2 D 10 10 And Q 2 10 Part A What Are The Values Of H And K H Units K Units Part
What Is The Second Order Derivative Of X P Y Q X Y P Q Quora
Solve The Differential Equation Dydx Y Tan X Sin X

Solved Show That Y C X Ce Integral P X Dx Is A Genera Chegg Com

Ex 9 6 1 Find General Solution Dy Dx 2y Sin X Ex 9 6

Engineering Mathematics Notes

Solve The Following Simultane See How To Solve It At Qanda
Final Examination Differential Equation Rates Differential Equations

Suppose That D Is A Simple Region A

Find The Integrating Factor Of Dy Dx Y X Cosx Maths Differential Equations Meritnation Com

The Integrating Factor Of The Differential Equation X Dy Dx Y 2x 2 Is A E X B E Youtube

Ex 9 6 11 Find General Solution Y Dx X Y2 Dy 0
Solved Solve The Following Bernoulli Equations B 2 X 2 Dy Dx Xy X 3 Y 3 C Y X Y X2 5 X 2 Y 1 2 D X Dy Dx 6y 3xy Course Hero

X Dy Dx Y X 1 Ex Brainly In

Ex 9 6 3 Find General Solution Dy Dx Y X X2 Ex 9 6

The Q Cosine Fourier Transform And The Q Heat Equation Springerlink

Solved 31 A Show That Yc X Ce Jp X Dx Is A General Chegg Com

Geneseo Math 222 01 1st Order Linear Des

Lagrange S Linear Equation Method Of Multipliers Mathematics Stack Exchange

Solution To This Question 8 If Xpyq X Y P Q Prove That I Dydx Yx And Maths Continuity And Differentiability Meritnation Com
If Math X Y Y X Math Then Math Dfrac Dy Dx Dfrac Y X Left Dfrac Y X Log Y X Y Log X Right Math Quora

Geneseo Math 222 01 Hour Exam 2 Review

Engineering Mathematics Notes

Suppose That D Is A Simple Region A

Solved Consider The Bernoulli Equation Dy Dx P X Y Chegg Com

The Decision Of Three Methods Of The Solutions Dx P Dy Q Dz R Mathematics Stack Exchange

Example 22 Particular Solution Dy Dx Y Cot X 2x X2 Cot X

Suppose That D Is A Simple Region A Region Which Is Both X Simple And Y Simple And That F P X Y I Q X Y J Where P X Y And Q X Y Are Each Functions Ppt Download

Engineering Mathematics Notes
Solved Using Euler S Method Solve Dy Dx X 2 Y Y 0 Chegg Com

Dy Dx Y Cot X Sin 2x Youtube

Vfe7t Mvnazkim

Answered Dtant X V X Xy 4 Xv Al 4 2xytx 4 Bartleby

Ex 9 6 13 Find Particular Solution Dy Dx 2y Tan X Sin X

If The Curves Y X 2 Px Q And Y Rx X 2 Touches Each Other At 1 0 Then The Value Youtube