Abnx Tox Xg

Solved You Can Assume The Following In Solving Questions Chegg Com

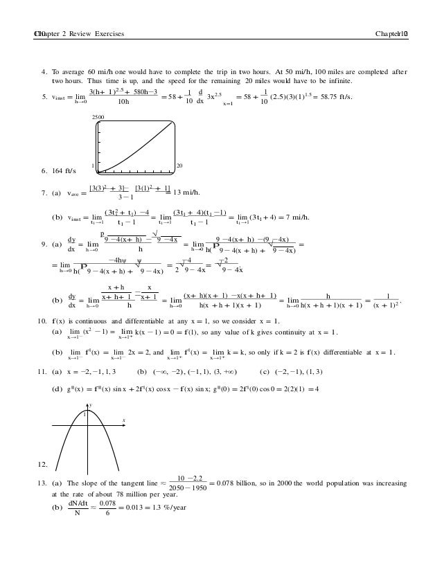
Calculus 10th Edition Anton Solutions Manual

Pdf Inequalities For Zero Balanced Hypergeometric Functions
Abnx Tox Xg のギャラリー

The Construction Of Nifes X G C 3 N 4 Composites With High Photocatalytic Activity Towards The Degradation Of Refractory Pollutants Dalton Transactions Rsc Publishing Doi 10 1039 D0dtg

Conjunto Ejercicios Y Teoria

12 6 Arc Length

Mathematics Free Full Text Various Structures Of The Roots And Explicit Properties Of Q Cosine Bernoulli Polynomials And Q Sine Bernoulli Polynomials Html
Binomial Theorem Wikipedia

Common Fixed Point Results From Quasi Metric Spaces To G Metric Spaces Topic Of Research Paper In Mathematics Download Scholarly Article Pdf And Read For Free On Cyberleninka Open Science Hub

Select The Correct Choice Bel See How To Solve It At Qanda

Proving X A 0 Sum N 1 Infty A N Cos Nx B N Sin Nx Mathematics Stack Exchange

Function Definition Types Examples Facts Britannica

Keynesian Cross Add G And Nx 1 What

Ppt Section 6 2 Calculating Coefficients Of Generating Functions Powerpoint Presentation Id

Answered D Y 0 140 If Y X 1 X 2 X Bartleby

Answered 2 Eigenvalue Problem With First Bartleby

Los Arandanos La Revista Nacional De Arandano Los Arandanos 4j I X K Ca 0 Gt O J I Rt R O X D S W C3 J

Composite Functions Video Lessons Examples And Solutions

Rd Sharma Solutions For Class 11 Chapter 1 Sets Download Free Pdf

If F X X T A N Xa N Df X Is Inverse Of G X Then G Prime

Solved 3 The Boundary Value Problem Ut X T Uxx X T Chegg Com

Ax B And G X Cx
Applied Singular Integral Equations 1st Edition B N Mandal A

The Heat Equation For Two Dimensional Objects Ppt Download
Product Rule Wikipedia

If For Xgt0f X A X N 1 N G X X 2 Px Q P Q Epsilon R And Equ
1 Vytah

If A X X 4n 1 Nle5 N In N And B 3n N Le 8 N In N Then Fi

Prove Function Series F N X Sin X 1 N Doesn Converge Uniformly Mathematics Stack Exchange

Classify Or Characterize The Following Systems As To Homogeneity Additivity Linearity Time Invariance Bibo Stability Causality Invertibility And Memory Y T X 3 T 2 Y T X Sin T Y N X N X N 2 Y T
Solved Let X R1 Be A Finite Set And Fa Field The Vector Space O Solutioninn

Solved Explain How To Use The Geometric Series G X 1 1 Chegg Com

Pdf Ideal Hausdorff Space Top Journal Best Impact Factor Academia Edu

Additional Mathematics Functions Questions 1 Given Function F X Mx 4 X N X N If F 2 10 And F 8 4 Find A The Values Of M And N B The Ppt Download

14 05 08 Using Math Practice Standards To Understand Functions And Their Inverses

Answered 2n X 2n 3 Let F X X X Bartleby

Solved Consider The Function F X G X H X A Use The Chegg Com

Bernardo Acevedo Frias Trabajo Presentado Como Requisito Parcial Para Ingresar A La Categoria De Profesor Asistente Pdf Free Download

L Hopital S Rule Wikipedia

Pdf Strong Stability Of Weighted Sums Of Na Random Variables

Boletin Museo Nacional De Los Estados Unidos La Ciencia Revision Del Rey De Las Serpientes 125

Show That Parseval S Theorem For Two Real Functions Whose Fourier Expansions Have Cosine And Sine Coefficients An Bn And An Bn Takes The Form 1 L 0 L F X G

One To One Function Explanation Examples
Binomial Theorem Wikipedia

You Evaluated Functions Lesson 1 1 Perform Operations

Polinomios 4to

Dirichlet Bridge Sampling Of A Vg Process X T With Parameters 1 K Download Scientific Diagram

How To Justify This Rule Stated By Symbolab Calculator F X G X E G X Times Ln F X Mathematics Stack Exchange

Mathematics Today 17 9 September 000 Flip Book Pages 51 93 Pubhtml5

Counting Closed Orbits For The Dyck Shift Topic Of Research Paper In Mathematics Download Scholarly Article Pdf And Read For Free On Cyberleninka Open Science Hub

Sl L An Alternative Proof Derandomized Squaring Of

Solved Consider The Wave Equation Dri 16 0 X 2 T 0 Chegg Com

Solved Rule 1 Du X N Nu X N 1 Du X Dx D Dx 10 X Chegg Com

Indefinite Integral Of 1 X Antiderivative Of 1 X Video Khan Academy

Solved 74 Prove Proposition 75 Words Show X N Integer X N B Nxif N X Real Number Q

Solved Suppose That Displaystyle Lim X To A

Plot Of N X X For N 40 And X 0 N 3 Graphe De N X X Pour N Download Scientific Diagram

Solved 1 Solving The Ibvp For The Wave Equation Conside Chegg Com

Integral Calculator Integrate With Wolfram Alpha

Reading Assignment 4

Solved Remember That Function Composition Fºg X Mean Chegg Com

Functions Flip Ebook Pages 1 3 Anyflip Anyflip

Un Diseno Para Una Finca Aj V N N Cu 0 0 Oo Tt S U Gt R V Nox Sf Pro Ids V Rif Inh Cv T Gt

Show That Parseval S Theorem For Two Real Functions Whose Fourier Expansions Have Cosine And Sine Coefficients An Bn And An Bn Takes The Form 1 L 0 L F X G

One To One Function Explanation Examples