W X
W X Y is an awardwinning multidisciplinary practice specializing in the realization of urban design, planning and architectural solutions in challenging contexts Focused on innovative approaches to public space, structures and urban issues, the firm’s work engages both sitespecific design and planning at multiple scales.
W x. Videos porno da brasileirinhas com muito sexo anal,oral,Swing,carnaval e festas com muito sexo e aqui no sexsites entre e confira!. We use cookies to improve your browsing experience By continuing to browse our website you agree to our use of cookies To learn more about how. Discover releases, reviews, credits, songs, and more about WX WX at Discogs Shop Vinyl and CDs and complete your WX collection.
Mafra x Arouca SEGUNDA LIGA Sáb, 15 mai, 1600 Casa Pia x Varzim SEGUNDA LIGA Dom, 16 mai, 1500 Vídeos Trending Liga NOS Premier League Serie A Taça de Portugal Liga Europa MotoGP Allianz Cup Programas SPORT TV. 2 Followers, 1 Following, 5 Posts See Instagram photos and videos from Watanabe Yoji (@wxyozy). Share your videos with friends, family, and the world.
WolframAlpha brings expertlevel knowledge and capabilities to the broadest possible range of people—spanning all professions and education levels. Summary The Clustal W and Clustal X multiple sequence alignment programs have been completely rewritten in C This will facilitate the further development of the alignment algorithms in the future and has allowed proper porting of the programs to the latest versions of Linux, Macintosh and Windows operating systems. 微信 Windows 版 321 可以浏览聊天中分享的视频号视频和视频号直播; 解决了一些已知问题。 立即下载.
Google allows users to search the Web for images, news, products, video, and other content. Probation (including "outortown petitions") W X effect in all judicial districts on October 15, 12 10 1/'0 It 2 '(\JA, ~ \2 Date Trevor Sle ens Date Distribution Chief Justice Dana Fabe Administrative Director Christine Johnson Area Court Administrators Court Rules Attorney Laura Bottger Superior Court Judges Clerks of Court. W Magazine is a leading destination where the worlds of fashion, film, art, and entertainment converge Unbound by convention, W creates stories through breathtaking imagery that.
W&X Shop 614 likes Product/Service See more of W&X Shop on Facebook Log In. On the selftitled debut by his side project WX, Presley seems intent on throwing out the rule book and making the most outlandish music/noise he can put to tape The rambling, messy track album feels like a retreat back to the garage, smothered with tape hiss and free of the pressure to follow conventional song structure or make any kind of sense at all. Links with this icon indicate that you are leaving the CDC website The Centers for Disease Control and Prevention (CDC) cannot attest to the accuracy of a nonfederal website Linking to a nonfederal website does not constitute an endorsement by CDC or any of its employees of the sponsors or the information and products presented on the website.
Wxcom has been informing visitors about topics such as Free Dating Chatrooms, Classifieds and Chat Free Join thousands of satisfied visitors who discovered Ben 10 Games, Free Virtual Phone and Cloud Hosting ProvidersThis domain may be for sale!. These instructions supplement the instructions for Forms W8 BEN, W8 BENE, W8 ECI, W8 EXP, and W8 IMY For general information and the purpose of each of the forms described in these instructions, see those forms and their accompanying instructions. Items ordered from W&X may be subject to tax in certain states, based on the state to which the order is shipped If an item is subject to sales tax, in accordance with state tax laws, the tax is generally calculated on the total selling price of each individual item, including shipping and handling charges, giftwrap charges and other service charges, less any applicable discounts.
Vá além de email e busca O melhor de notícias, esportes e entretenimento!. 11/05/14 · wx is the alias of Ian Witzel, born 09 July 19 in DeKalb, Illinois Influenced by noise and experimental artists such as Sonic Boom, Robert Hampson (Loop, Main) and Merzbow he has experimented with music software programs and mixing techniques In 07 alone, he had 10 releases, all of them selfreleased and highly experimental. Download Clustal W/X Clustal 2 comes in two flavors the commandline version Clustal W and the graphical version Clustal X Precompiled executables for Linux, Mac OS X and Windows (incl XP and Vista) of the most recent version (currently 21).
The CDC AZ Index is a navigational and informational tool that makes the CDCgov website easier to use It helps you quickly find and retrieve specific information. Search the world's information, including webpages, images, videos and more Google has many special features to help you find exactly what you're looking for. > } o W ^ K> ^hW Z/KZ ^ j X >KW ^ / ^ µ } W } } } v v } ^ µ } r D î ï u } u } ^ > o î ^ > o î ^ > o î ^ > o î í ô X ì ì r î í W ì ì í ô X ì ì r î í W ì ì ^ > o î ^ > o î.
PREVENÇÃO E PROTEÇÃO O PANEL MAUS TRATOS A CRIANCAS E JOVENS 29 ABRI / 14h30 NA COMARCA DE LEIRIA A JUSTIÇA ENCONTROS COM BQTQLUQ Capitäo André Barreiro Gonçalves, Chefe da Secçäo de Informaçöes e Investigaçäo. Wxco w x HypeStat wxco receives about 3,054 unique visitors per day, and it is ranked 354,333 in the world wxco uses n/ Find more data about w x. Share your videos with friends, family, and the world.
Giin Long Way Down (Official Video) YouTube W&W x Darren Styles feat Giin Long Way Down (Official Video) If playback doesn't begin shortly, try restarting your device Videos you watch may be added to the TV's watch history and influence TV recommendations To avoid this, cancel and sign in to YouTube on your computer. î ì W ï ì ^ u v ñ ^ u v ò ^ > o ï /E^d/dhdK WK>/d E/ K ^d >K Z E K > } o W ^ K> ^hW Z/KZ ^ j X >KW ^ / ^ µ } W } } } v v } ^ µ } r D î ï í ô W ì ì r î í W ì ì í ô W ì ì r î í W ì ì í ô W ì ì r î í W ì ì. W X N ,500 likes · 15 talking about this Just For Fun.
8 å ¸ É Ù Ù ð Ú / / ò w ê x Ê ¥ ò ¨ Ó ´ æ Â ´ § ® É & ó O º É c K Ã Å ä Å ª Å æ É Â ² â ¡ ¦ _ d ¦ ä É § O º ÿ É ) Â ç Ë c K Ã Å å Ù ¶ î > ÷ ´ æ þ § ê Ã ÷ Ç É º r É $ É.

Product Of Sums Reduction Using Karnaugh Map Boolean Algebra Dyclassroom Have Fun Learning
Lambert W Function Wikipedia

Finding The Gradient Of A Vector Function By Chi Feng Wang Towards Data Science
W X のギャラリー

Perceptron Learning Algorithm A Graphical Explanation Of Why It Works By Akshay L Chandra Towards Data Science

Work And Energy
How Does The Equation Wl 2 8 Get In A Simply Supported Beam Subject To Udl Quora

Fourier Transform 101 Part 5 Fast Fourier Transform Fft By Sho Nakagome Sho Jp Medium
Foil Method Wikipedia

Vibrational Wavepacket Dynamics In Fe Carbene Photosensitizer Determined With Femtosecond X Ray Emission And Scattering Nature Communications
Lambert W Function Wikipedia
Lambert W Function Wikipedia

Amazon Com Poultry Shrink Bags 50 Clear 10 X 16 For Whole Chickens Or Rabbits W 50 Zip Ties Included 2 5 Mil Freezer Safe Commercial Grade Bpa Bps Free Kitchen Dining

Example 33 Find Dy Dx If Y X X Y X X A B Teachoo
Letter X Alphabet Activities At Enchantedlearning Com

How To Find The Perimeter Of A Rectangle Formula Video Tutors Com

Types Of Schedules Based Recoverability In Dbms Geeksforgeeks

Basis Functions And Regularization Towards Data Science
Weighted Arithmetic Mean Wikipedia

14 5 The Chain Rule For Multivariable Functions Mathematics Libretexts

L05 3 Probability Mass Functions Youtube

Finding The Gradient Of A Vector Function By Chi Feng Wang Towards Data Science

Lambert W Function Wikipedia

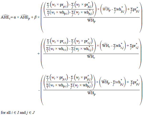
Technical Notes For The Current Employment Statistics Survey

Example 33 Find Dy Dx If Y X X Y X X A B Teachoo

Finding The Gradient Of A Vector Function By Chi Feng Wang Towards Data Science

Perceptron Learning Algorithm A Graphical Explanation Of Why It Works By Akshay L Chandra Towards Data Science

An Introduction To Spatial Econometrics

Showme Factoring X Method

What Is A Natural Log Ln X Part 1 Logarithm W Base E Euler S Number Youtube

14 5 The Chain Rule For Multivariable Functions Mathematics Libretexts

Finding The Gradient Of A Vector Function By Chi Feng Wang Towards Data Science

Measuring Changes In Transmission Of Neglected Tropical Diseases Malaria And Enteric Pathogens From Quantitative Antibody Levels Biorxiv

Krotnosc Pierwiastka Wielomianu

Tuning The Hysteresis Of A Metal Insulator Transition Via Lattice Compatibility Nature Communications
Lambert W Function Wikipedia

Verifying If Two Functions Are Inverses Of Each Other Chilimath
How Can Solve The Partial Differential Equation

Venn Diagram Word Problems With 3 Circles

Solve For Unknown Fraction Calculator Inch Calculator

Fichas De Lectoescritura Con Las Letras W Y X

Ex 5 4 10 Differentiate W R T X In Cos Log X E X Teachoo

The Separation Of Variables In A Non Homogenous Equation Theory Clarification Mathematics Stack Exchange

Ncert Solutions For Class 12 Maths Chapter 10 Vector Algebra In Pdf

Fourier Transform 101 Part 5 Fast Fourier Transform Fft By Sho Nakagome Sho Jp Medium

Ex 5 5 18 Show That D Dx U V W Du Dx V W U Dv Dx W

6i3ldvmt22eq9m

Ex 5 4 7 Differentiate Root E Root X Chapter 5 Ncert

Xbox Series X 1tb Console Big W

X Ray Emissions From Uranus Are Detected For The First Time Physics World

Why Do Storms Have Names Cbbc Newsround
Lambert W Function Wikipedia

Finding The Gradient Of A Vector Function By Chi Feng Wang Towards Data Science
Lambert W Function Wikipedia
Letter X Alphabet Activities At Enchantedlearning Com

Ex 6 1 4 In Figure If X Y W Z Then Prove Aob Is Line

Perceptron Learning Algorithm A Graphical Explanation Of Why It Works By Akshay L Chandra Towards Data Science

Ugg W Ugg X El Lace On Lace Sandal For Women Ugg Luxembourg

Letter X Things That Begins With X Letter

Mechanics Ebook Integration Of Load Equation

Integration By Parts From Wolfram Mathworld

Particle Markov Chain Monte Carlo Methods Andrieu 10 Journal Of The Royal Statistical Society Series B Statistical Methodology Wiley Online Library

Cleanmymac X The Best Mac Cleanup App For Macos Get A Cleaner Mac In Minutes
Produit Vectoriel Wikipedia
Deep Learning Based Reduced Order Models In Cardiac Electrophysiology

Hwo912ow Hqgpm

Amplifier Audac Pmq600 4 X 600 W 100v Apex Catalogue
Importance Sampling Wikipedia

4 3 V 6 Firing Order Vin W Vin X Ricks Free Auto Repair Advice Ricks Free Auto Repair Advice Automotive Repair Tips And How To

Ilustracion Vectorial De Frutas Y Verduras R S T U V W X Y Z Letters Radish Wberries Stra Tomate Ugl I Fruta Vainilla Wasab I Xigua Name Zucchin I Diseno Del Alfabeto

Amplifier Sony Hifi 2 X 40 60 W Apex Catalogue

Ex 5 5 7 Differentiate The Function Log X X X Log X

Ex 5 5 3 Differentiate The Function Log X Cos X Teachoo
Lambert W Function Wikipedia

Amazon Com Lg 27un850 W 27 Inch Ultrafine Uhd 3840 X 2160 Ips Display With Vesa Displayhdr 400 Usb Type C And 3 Side Virtually Borderless Display With Height Swivel Pivot Tilt Adjustable Stand Silver Computers Accessories

Perceptron Learning Algorithm A Graphical Explanation Of Why It Works By Akshay L Chandra Towards Data Science

Ex 5 5 9 Differentiate X Sin X Sin X Cos X Chapter 5 Class 12

Derivative Of Inverse Functions How To W Examples
Lambert W Function Wikipedia

Practicing Letters W And X 1st Grade Kindergarten Preschool Reading Writing Worksheet Greatschools

Difference Between Centre Of Gravity And Centroid Difference Between

Do Any Country Names Start With X Or W Worldatlas

Perceptron Learning Algorithm A Graphical Explanation Of Why It Works By Akshay L Chandra Towards Data Science

Putting The X In Text Warm Wishes Or A Kiss Off
Logistic Regression Calculating A Probability

Lil Nas X S Dance With The Devil Evokes Tradition Of Resisting Mocking Religious Demonization
Bias Of An Estimator Wikipedia
Surface Pro X Signature Keyboard With Slim Pen Bundle Microsoft Store

Finding The Gradient Of A Vector Function By Chi Feng Wang Towards Data Science

Molecules Free Full Text Participation Of The Halogens In Photochemical Reactions In Natural And Treated Waters Html

Example 33 Find Dy Dx If Y X X Y X X A B Teachoo

Ex 5 5 6 Differentiate X 1 X X X 1 1 X Teachoo

Ml Aggarwal Solutions For Class 8 Chapter 10 Algebraic Expressions And Identities Download Free Pdf

Ex 5 5 6 Differentiate X 1 X X X 1 1 X Teachoo

50 Words That Start With X That Will Make You Xany Thought Catalog

Letter X Things That Begins With X Letter

Hardware Fruugo

Bugatti S New Bolide Concept Has X Shaped Taillights And 15 Hp Robb Report

Fourier Transform 101 Part 5 Fast Fourier Transform Fft By Sho Nakagome Sho Jp Medium
Lambert W Function Wikipedia