Xl N
Issuu is a digital publishing platform that makes it simple to publish magazines, catalogs, newspapers, books, and more online Easily share your publications and.
Xl n. Panini Adrenalyn XL™ Trading Card Game PANINI SPA Single Shareholder Viale Emilio Po, 380 Modena Italia Share capital €,00 Tax Number VAT number IT Chamber of Commerce registration Number. Las noticias, el correo electrónico y la búsqueda son solo el principio Descubre más cada día Encuentra tu propio Yahoo. METHOD Logistics es una empresa de transporte que ofrece servicio de última milla, transporte de mercancías voluminosas y envíos entre particulares.
Descubre NXLL Explicit de Juwan en Amazon Music Escúchalo en streaming y sin anuncios o compra CDs y MP3s ahora en Amazones. Somos el sitio web del canal de TV abierta líder en Chile Programas en vivo, teleseries, realitys, noticias, reportajes, deportes, espectáculos y mucho más. Google allows users to search the Web for images, news, products, video, and other content.
LUN, Las Ultimas Noticias, wwwluncom, Publicidad, Noticias. 5/4/14 · Podemos escribir ln(1x³) como serie de potencias al representar su derivada como una serie de potencias y luego integrar esa serie Tienes que admitir que es bastante genial. XL PRO2, MANUAL DE USO INSTALACIÓN 1 Configuraciones mínimas necesarias de hardware y software Procesador Intel Pentium III (Pentium IV recomendado) para Windows 98, Windows 00, Windows ME o Windows XP 128 Mb de memoria RAM (256 Mb recomendado) 2 Instalación Cierre todas las aplicaciones abiertas Inserte el CDROM de XL PRO2.
Expand your Outlook We've developed a suite of premium Outlook features for people with advanced email and calendar needs A Microsoft 365 subscription offers an adfree interface, custom domains, enhanced security options, the full desktop version of Office, and 1. Carga extra, neumático para vehículos con un peso mayor al normal;. Calculadoras gratuitas paso por paso para álgebra, Trigonometría y cálculo.
Podemos ayudarte a restablecer tu contraseña y la información de seguridad Primero escribe tu cuenta Microsoft y sigue las instrucciones siguientes. Compra online en casashopscom De alta calidad y a buen precio Consulta nuestras ofertas. Hermetic XL Aura Aura 65 Pantallas estancas Dopplo Focos orientables Antideflagrantes Extraline Steeled Signal 7 Autotest Dali No permanente Permanente Central Baterías Los precios indicados en esta tarifa incluyen ECOTASAS Emergencia de ascensores 1 Perfiles luminosos 121 122 134 136 Listado de referencias y precios Tablas de superficie.
Software de administración para pequeñas y medianas empresas Obtén visibilidad completa de tu negocio, mantén el control financiero y toma mejores decisiones con Nubox Flujo de caja, contabilidad, Facturación, boleta electrónica y remuneraciones. Prueba la amplia gama de productos para perder peso de la marca líder en control de peso, XLS Medical Elige el que más se adapte a tus necesidades. 429 SEAT Altea XL de particulares y concesionarios de segunda mano y ocasión ¡Encuentra SEAT Altea XL al mejor precio!.
Calculadora gratuita de ecuaciones logarítmicas – resolver ecuaciones logarítmicas paso por paso. Últimas tendencias en vestidos de mujer Nuevos modelos cada semana vestidos cortos, largos, de fiesta o de noche Envío gratis a partir de 30 € Devoluciones ampliadas a 60 días. Aquí nos gustaría mostrarte una descripción, pero el sitio web que estás mirando no lo permite.
YANA Manta marrón, natural An 125 x L 150 cm Comprar ?. Welcome to H&M, your shopping destination for fashion online We offer fashion and quality at the best price in a more sustainable way. NCom B901X es el sistema de intercomunicador Perfecto para compartir en viaje con los amigos, seguir las indicaciones del GPS, hablar por teléfono y escuchar la radio FM sin renunciar a la seguridad y al confort.
Visita Google Store para descubrir los últimos smartphones Pixel de Google Encuentra el teléfono Pixel justo para ti. AXL is a 18 American science fiction adventure film written and directed by Oliver Daly and starring Alex Neustaedter, Becky G, Alex MacNicoll, Dominic Rains, and Thomas JaneIt tells the story of a teenage boy who encounters a robotic dog created from cutting edge military technologyIt was released in the United States on August 24, 18, by Global Road. Buenas, Estoy intentando poner las iniciales de las medidas de Largo, Ancho y Alto en español Solo veo que en el archivo po puedo traducir el campo «LxWxH in decimal form», pero solo lo traduce en el panel de administración, no en la página que me sigue apareciendo, por ejemplo, L 6 x.
ONE PIECE 1001 El día de hoy les traigo las curiosidades del capitulo 1001 de one piece Disfrútenlo!SUSCRIBETE A MI NUEVO CANAL https//wwwyoutubecom/wa. Enjoy the videos and music you love, upload original content, and share it all with friends, family, and the world on YouTube. XLBYG Tømmerhandel og byggemarked til den professionelle og gørdetselv folket Vi har kvalitetsprodukter til byggeprojektet Køb det på XLBYG Webshop.
Watch Netflix movies & TV shows online or stream right to your smart TV, game console, PC, Mac, mobile, tablet and more. 4/5/21 · Descubre Nintendo Switch, Nintendo 3DS, Nintendo 2DS, Wii U y amiibo Encontrarás información sobre las consolas, los juegos, My Nintendo y noticias. N hematología de rutina y pruebas especiales, n la eficiencia del flujo de trabajo y n la gestión de los datos y del proceso n Valores clínicos, n Valores de productividad y n Valores de servicio profesionales La Serie XNL supera a cualquier otro analizador en este segmento de mercado1 Incluso sus análisis de CBCDIFF y las.
Listado de Bulldozers otros Caterpillar d6nxl 78 anuncios de Venta de Bulldozers otros Caterpillar d6nxl usados y nuevos. "Fuerza de Mujer" se instala como la teleserie más vista durante todo abril y seguidores volvieron a sorprenderse con la maldad de la antagonista de la historia. Assembly surfaces for compact guides, bearings, drives and dimensions of the order of accuracy up to 0005/500 mm can be manufactured using high precision jigs without machining epucretde Con plantillas ultraprecisas se producen superficies de montaje para guías compactas, rodamientos, accionamientos y reglas co n rangos de precisión de hasta 0,005/500 mm sin virutas.
XL N scale drop in for Kato F $ 6900 $ 4500 Add to cart;. Te damos la bienvenida a la página de matemáticas de 5º de primaria de IXL Practica matemáticas en línea con preguntas ilimitadas sobre 126 competencias de matemáticas de 5º de primaria. La numeración romana es un sistema de numeración que se desarrolló en la Antigua Roma y se utilizó en todo el Imperio romano, manteniéndose con posterioridad a su desaparición y todavía utilizado en algunos ámbitosEste sistema emplea algunas letras mayúsculas como símbolos para representar ciertos valores Los números se escriben como combinaciones de letras.
Cargador oficial Nintendo 3DS y 3DS XL Características técnicas Plataforma(s) Compatible(s) 3DS, 3DSXL Opiniones de clientes 1 opiniones Cargador oficial Nintendo 3DS y 3DS XL Dar una opinión Tu opinión ha sido grabada Ver todas las opiniones 2/5 0 1 1 2 0 3 0 4 0 5 Lo más útil Angel R. N 87 140 12 P 94 150 A5 16 25 Q 100 160 A6 19 30 R 106 170 22 35 S 112 180 A8 25 40 T 118 190 B 31 50 U 124 0 C 37 60 H 130 210 D 40 65 V 149 240 E 43 70 Z XL eXtra Load;.

Rodamiento De Repuesto Para Batidores De Purines Y Estiercol Bhar

Oferta Ahorra Hasta Un 40 En Xln Audio Addictive Drums 2 Gearnews Es

Ln X Ln 3 2ln 4 Ln 2 Ayudenme Por Favor Brainly Lat
Xl N のギャラリー

Unidades De Carcasa Con Bridas De Cuatro Pernos Pme60 Xl N Grae60 Xl Npp B De Rodamiento Me12 Buy Unidades De Carcasa Pme60 Xl N Grae60 Xl Npp B De Rodamiento Carcasa Me12 Product On Alibaba Com

Ln X Y Fill Online Printable Fillable Blank Pdffiller

Derivative Of Y Ln X Geogebra

Neumaticos Nexen 5 55yr17 95y Xl N Fera Primus
Bourjois Khol And Contour Xl Pencil Lapiz De Ojos Largo Negro Arenal
Cojinete Con Brida Ina Tcjt35 Xl N 2 Orificios Rs Components
Phone Broadband Energy Payments For Small Businesses Xln

Derivative Of F X Ln X Geogebra

Ina Pillow Block Housing Unit Rasey Ref Rasey40 Xl N Rubix Espana

Cual Es La Integral Impropia De 0 1 Ln X X Dx Brainly Lat

Mil Anuncios Com Goma Suelo Vespa Pk 125 Xl N Rush V Fl

Int Ln X N Dx X Ln X N N Int Ln X N 1 Dx Youtube

P Xm M N L X Xl N L M X Xl Xm L M N Q X 1 A B 1 A C X X 1 B C 1 B A X X 1 C A 1 C B Find The Numerical Value Of P Q Where A B C Being All Differ Mathematics Topperlearning Com Ccq50kuu

F X Ln X Geogebra

The Derivative Of Ln 2 X Derivativeit

Soporte Ina Rcj35 Xl N

Practica No 1 F X Ln X 5 X 2 Encontrar Las Dos Raices De La Ecuacion

How To Graph X Ln X Study Com

Neumatico Nexen 235 45 R18 98w Xl N Fera Sport Suv Neumaticoslider Es

Xln Audio Rc Retro Color Digital Delivery Gear4music

Nexen N Fera Primus 235 45 R17 97y Xl Desde 69 01 Compara Precios En Idealo

Xln Audio Xo Nueva Herramienta Para Explorar Librerias De Samples De Forma Creativa Hispasonic

Xln Audio Ds 10 Drum Shaper Win Osx X86 X64 Vintage Room

Nexen 215 40 Zr18 y Xl N Fera Su1 Neumatico Turismo Con Ofertas En Carrefour Las Mejores Ofertas De Carrefour

Aplicamos La Regla De L Hopital Para Calcular El Limite De X 1 Ln X Cuando X Tiende A 1 Calculo De Limites Expresiones Algebraicas Matematicas Avanzadas
Phone Broadband Energy Payments For Small Businesses Xln

Derivative Of Ln X Natural Logarithm More
Natural Logarithm Wikipedia

Fermat S Library The Ratio Of Ln X And Log X Is A Constant

Disco Freno Harley Sportster Xll Low Xl N Nightser 10 06 13 Ngbrake

Amortiguador Delantero Negro Yss Mono X Pro 50 125 Vespa Pk Xl N Rush V Ebay

Natural Logarithm Rules Ln X Rules

Xo Xln Audio

Ejercicios De La Regla De L Hopital Superprof

Show Ln Ln X Ln X Ln Ln Ln X O Infty Ln X 2 Ln Ln Ln Ln X Mathematics Stack Exchange

Solved By Using Integration By Parts One Can Prove The R Chegg Com

Log X Vs Ln X The Curse Of Scientific Computing Hacker Noon

Solve X Ln X Math Central

Tinaja Alta Dublin Xl N Discomgrup

Soporte Ina Pase Xl N

Xln Audio Addictive Drums 2 Complete V2 1 9 Modified R2r Vsti x Au Win Osx X86 X64 Plugintorrent Com

Solved Find F X If F X Ln X E F X 1 X E F Chegg Com

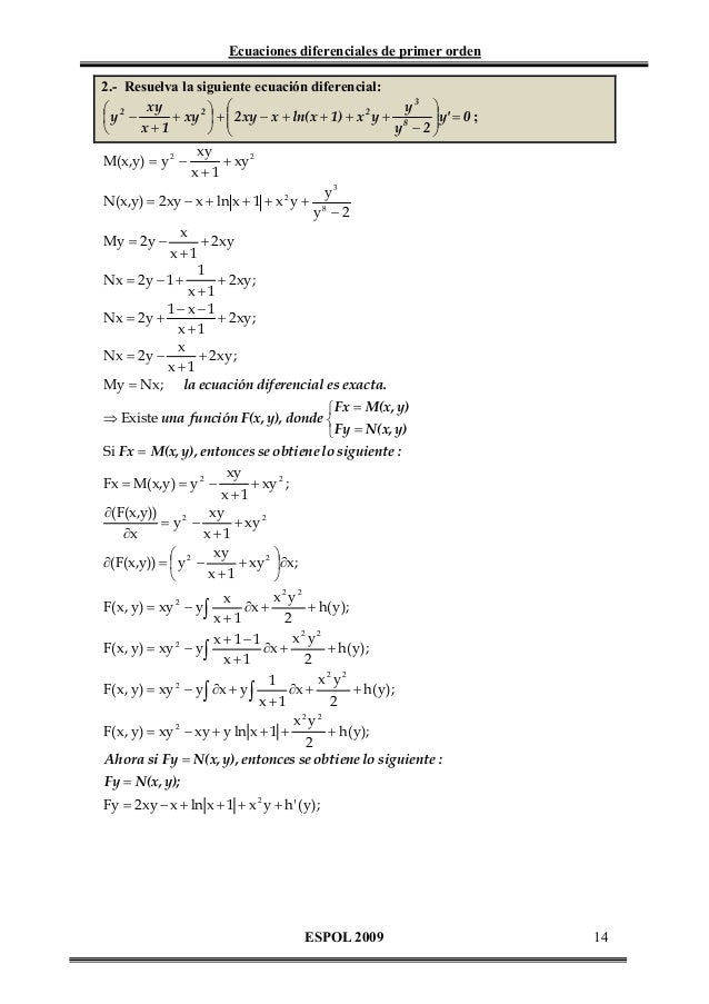
Ecuaciones Diferenciales

Ppt Example 2 Solve The Initial Value Problem Y X Ln X And Y 1 2 Powerpoint Presentation Id

5 4 Exponential Functions Differentiation And Integration The Inverse Of F X Ln X Is F 1 E X Therefore Ln E X X And E Ln X X Solve For Ppt Download

Sobuy Fsb19 Xl N Mesa De Entrada Recibidor Mesa De Consola 1 X 80 X Cm Es H 80 Cm

Aplicamos La Formula De Integracion Por Partes Para Calcular La Integral De Ln X Raiz X Obtenie Trucos Matematicos Graficas Matematicas Matematicas Avanzadas
Graph Of F X 1 X The Shaded Area Is Equal To Ln 1 1 N Download Scientific Diagram

Estuche Violin 4 4 Bam Co00 Xln

Unidades De Carcasa Con Bridas De Cuatro Pernos Pme50 Xl N Rodamiento Esferico Carcasa De Grae50 Xl Npp B Me10 Buy Unidades De Carcasa Pme50 Xl N Rodamiento Esferico Grae50 Xl Npp B Carcasa Me10 Product On Alibaba Com

X Ln X Dx Solucion Resolvemos La Integral Por Partes Si Hacemos U Ln X Y Dv Xdx Entonces U Ln X Du 1 X Dx X 2 Dx

Limites X Ln X Et Ln X Sur X

Integracion Por Partes

Xln Audio Addictive Keys

Xln Telecom Hours Locations Holiday Hours Xln Telecom Near Me

Oferta Ahorra Hasta Un 40 En Xln Audio Addictive Drums 2 Gearnews Es

Mf1073 Silenciador Proma Piaggio Vespa 50pk S Xl N Rush V Fl Fl2 Moto Hierros Ebay

Soporte Ina Pshe25 Xl N

Review 7 2 Find The Derivative 1 Fx

Aplicando La Formula El Limite De Ln X 1 Ln X Ln X Es 1 Calculo De Limites Funciones Matematicas Matematicas Avanzadas

What Is The Integral Of Int Ln 2 X Dx Socratic

Sigvaris Media Larga Trombox Ccl1 L N Bl

Ecocirc Xl Y Xlplus Circuladoras De Rotor Humedo De Alta Eficiencia Xylem Espana
Software For Music Production Xln Audio

Xln Audio Xo Review Musicradar

Demostracion De La Derivada Del Ln X Khan Academy En Espanol Youtube
Xln For Small Business Linkedin
Ln 0 Quora
A Thin Rod Of Length L Is Lying Along The X Axis With Its Ends At X 0 And X L Sarthaks Econnect Largest Online Education Community
Ln Xy Ln X Ln Y

If F X X L X M L M X M X N M N X N X L N L

Int X Ln X 2 Dx Youtube

Lapinette Sl L 950 Xl N Carcasa Tipo S Line Para Nokia Lumia 950 Xl Color Negro Amazon Es Electronica

Compra De Xln Audio Rc Retro Color Efecto Virtual Descarga Bax Music

6 Huevos Xl N 2 Sant Llop

X Ln X Dx Solucion Resolvemos La Integral Por Partes Si Hacemos U Ln X Y Dv Xdx Entonces U Ln X Du 1 X Dx X 2 Dx
How To Integrate Ln X Ln 1 X Dx And Integration Limits A 0 And B 1 With Steps What Is The Method Used Quora

Xln Audio Xo License Code Music Store Professional Es Es
L Hopital On Limit Of Tanx Lnx As X 0 From The Right Physics Forums
Natural Logarithm Wikipedia

Xln Audio Xo Attack Magazine
Xln For Small Business Home Facebook

Ina Pcjt60 Xl Xl N Dos Perno Unidad De Vivienda Con Brida Amazon Es Industria Empresas Y Ciencia

Soporte Cuadrado Autoalineable Pcjy40 Xl N Ina Eje Diametro 40mm Adajusa

Shop Now Cl Teint Haute Tenue Xl N 107 Sam Parfums

How To Evaluate Int 0 1 Frac X Ln 1 X Ln 1 X 2 1 X 2 Dx Mathematics Stack Exchange
Xln Palatine Pe

How To Graph X Ln X Study Com

How Do You Expand Ln X 2 1 X 3 3 Socratic
X 1 Ln X E 0 Find X Ptc Community

Limite Cuando X Tiende A Infinito De Ln X 1 Ln X Y De X Ln X 1 Lnx Selectividad Tv Educere

Pase Xl N Ina Sp

Xln Xlnbusiness Twitter

Why The General Formula Of Taylor Series For Ln X Does Not Work For N 0 Mathematics Stack Exchange

Soporte Cuadrado Autoalineable Pcj60 Xl N Ina Eje Diametro 60mm Adajusa

Xln Audio Addictive Drums 2 Thomann Belgie

The Core Of The Switching Function F X Ln 1 X 1 X F 0 2 Download Scientific Diagram