Ntk B
Desktop của bạn sẽ trở nên thú vị hơn nhờ ứng dụng tự động thay đổi hình nền Mourao Wallpaper Changer Tại giao diện chính của chương trình, bạn nhấn biểu tượng thư mục nằm cạnh khung Working directory, duyệt đến thư mục chứa hình nền muốn thay đổi tự động.
Ntk b. O d k o g @ ̎茓 쎍 ȕҋȉƁF @ Lj ̉ y B02 N k ɖ߂ A R f B O X ^ W IOffice BAN J ݂ B y Ɋւ 邱 ƂȂ Ȃ ł ̃A e B X g @ Lj ɂ ܂ I I. R u b in h as b een a fem in ist activ ist an d w riter sin ce th e late 1 9 6 0 s, an d h as b een activ e in g ay an d lesb ian p o litics fo r o v er tw o d ecad es S h e h as b een an ard en t critic o f th e an tip o rn o g rap h y m o v em en t an d o f th e m istreatm en t o f sex u al m in o rities. M ar c h 1 4 , 2 02 1 // C aleb B o nifay, C PC H ig h S cho ol Directo r ww wcpcda n v illeor g T h e Lo r d s e n t E lija h to c o n f r o n t K in g Ah ab, “Yo u have aban do n ed the Lord’s co m m an ds a n d h av e f o llo w ed t h e B aa ls” T he f alse p r o p h ets of B a al w er e an o bsta cle to bri n gi n g.
FORM 1095A AND FORM 1095B WHAT YOU NEED TO KNOW JANUARY 21 2 nystateofhealthnygov AGENDA •Learning Objectives •Form 1095A Premium Tax Credit Recap APTC Reconciliation Overview of Form 1095A •Form 1095B (available upon consumer request for Medicaid, Child Health Plus, and Essential Plan enrollees). S_a_n_t_k_u_m_a_r__official07, Jashpur Nagar 194 likes Editing Zone New stylish poses. Receive Form 1095B • Explain the information on each form • Understand why some people will receive more than one form • Identify when you need to refer consumers to either NY State of Health, a health plan, Local Departments of Social Services (LDSS)/Human Resources Administration (HRA), a tax professional or the Internal.
0107 · This video is unavailable Watch Queue Queue Watch Queue Queue. Odebírejte • Subscribe https//bitly/subscribe_CFBedřich Smetana Vltava z cyklu symfonických básní Má vlast v úpravě pro harfuHarfa Jana BouškováVideo z. NTK BW, Maun, Botswana 910 likes · 1 talking about this NTK BW.
· I have the same, or similar, problem Half the time on Facebook my Surface Type Cover 2 won't let me use the letter k Entries start with a capital letter, then the cursor moves back, various letters won't type and the page sometimes moves around. A D N T K D, Natal (Rio Grande do Norte) (Natal, Brazil) 14K likes LAPIDANDO CAMPEÕES, FORMANDO CIDADÃOS Através do taekwondo, proporcionar saúde e melhoria na qualidade de vida de crianças,. معرفی طراح فونت استاد اسدالله چهره پرداز متولد 1328 در تبریز، فارغ التحصیل رشته گرافیک، دانشگاه هنر (دانشکده هنرهای تزیینی) 1358 سمت ها وفعالیت های حرفه ای تدریس در دانشگاههای کشور دانشگاه تهران، دانشگاه هنر، دانشگاه.
Receive Form 1095B • Explain the information on each form • Understand why some people will receive more than one form • Identify when you need to refer consumers to either NY State of Health, the health plans, LDSS/HRA, a tax professional or the IRS. Nguyễn Thị Kim Ngân (sinh ngày 12 tháng 4 năm 1954) là nữ chính trị gia người Việt NamBà là Chủ tịch Quốc hội thứ 8 của nước Cộng hòa Xã hội chủ nghĩa Việt Nam, Chủ tịch Hội đồng bầu cử Quốc gia Việt NamBà là nữ chính khách đầu tiên trong lịch sử Việt Nam giữ các chức vụ này. Bio 270 Feb 28/01 Population Growth Questions Answer Key Note a " ^" denotes raising the values that follow it as an exponent 1 Distinguish between.
X E B b N T K U g N A ̊ z ɂ ́B N A 㐰 ĉ ւɂȂ U { X ܂Ŋ \ 悤. Electric Field on the Axis of a Ring of Charge Note from ghw This is a local copy of a portion of Stephen Kevan's lecture on Electric Fields and Charge Distribution of April 8, 1996 We determine the field at point P on the axis of the ring. Nếu bạn là một người dùng Internet Explorer 8 do tự mình lựa chọn hoặc do các yêu cầu về công việc thì chắc chắn bạn sẽ thấy tính năng Suggested Sites trong Favorites Bar.
18 POISSON PROCESS 197 Nn has independent increments for any n and so the same holds in the limit We should note that the Heads probability does not need to be exactly λ n, instead it suffices that this probability converges to λ when multiplied by n Similarly, we do not need all integer multiplies of 1 n, it is enough that their number in 0,t, divided by n, converges to t in probability. @ 獂 H g 1 ԏ ňɗ\ i Q j ɒ ܂ B H ~ A 11 R ʂɍs Ƃ 납 ΐ쉈 194 ɓ A 5432 ̊ R g l Ƃ 悢 { 쑺 ł B Ȃǂ̂ 钷 n 悩 猹 ̓ ܂ł 22 B P Ԑ ̓ ɂȂ ܂ B ̏ v Ԃ͖ 3 ԂŁA Ō 15km ͖ ܑ ̗ѓ ł B ̎ O300m ̂Ƃ ɂ 钓 ԏ ɎԂ ߁A 猹 ܂ł 25km 炢 k i o R j ɂȂ ܂ B. Nucleic acids consist of a chain of linked units called nucleotides Each nucleotide consists of three subunits a phosphate group and a sugar (ribose in the case of RNA, deoxyribose in DNA) make up the backbone of the nucleic acid strand, and attached to the sugar is one of a set of nucleobasesThe nucleobases are important in base pairing of strands to form higherlevel.
^ b In an isenthalpic process, system enthalpy (H) is constant In the case of free expansion for an ideal gas, there are no molecular interactions, and the temperature remains constant For real gasses, the molecules do interact via attraction or repulsion depending on temperature and pressure, and heating or cooling does occur. · For many years, the process of the nucleation and growth of nanoparticles have been described through the LaMer burst nucleation and following Ostwald ripening to describe the change in the particles size This process was originally modeled by Reiss with an accepted model being developed by Lifshitz–Slyozov–Wagner, LSW theory This was considered to be the only. 326 Followers, 927 Following, 9 Posts See Instagram photos and videos from Godwin Dsouza (@s_i_l_i_n_t__k_i_l_l_a_r_b_o_y).
The latest tweets from @GntknB. Example (A Reward Process) Suppose events occur as a Poisson process, rate λ Each event Sk leads to a reward Xk which is an independent draw from Fs(x) conditional on Sk=sThe total reward at t is R = PN(t) k=1Xk Show that R has the same distribution as. (b) Repeat (a) when there are two servers and a customer can be served by either one (c) Repeat (a) underthe new assumption that when the server completesa service, the next customer to enter service is the last to join the lineie the one who has been waiting the least time.
Lists of acronyms contain acronyms, a type of abbreviation formed from the initial components of the words of a longer name or phraseThey are organized alphabetically and by field Alphabetical. Windows 7 là một hệ điều hành có khả năng tùy chỉnh tốt nhất của Microsoft Trong bài viết này, chúng tôi sẽ giới thiệu cho các bạn 10 mẹo tùy chỉnh Windows 7 để làm hệ điều hành này theo như cách mong muốn của bạn. · (B) nk (C) nk1 (D) nk2 Answer (B) Explanation The idea is to make a key root, put (k1) keys in one subtree and remaining nk keys in other subtree A Binary Search Tree (BST) is a tree in which all the nodes follow the belowmentioned properties − The left subtree of a node has a key less than or equal to its parent node’s key.
2605 · Section 18 Tangent, Normal and Binormal Vectors In this section we want to look at an application of derivatives for vector functions Actually, there are a couple of applications, but they all come back to needing the first one. கெங்கவல்லி சட்டமன்ற தொகுதி N T K, Gangavalli 184 likes · 28 talking about this யார் கீரினாலும் ரத்தம் ஒன்னுதான் ஆக மொத்தம். Office 10 mang đến cho chúng ta nhiều tính năng mới mẻ và thú vị Theo đánh giá của nhiều người sử dụng, Office 10 có nhiều ưu điểm nổi trội hơn Office 03 và Office 07.
Unscramble Scrabble Words Word Unscrambler and Word Generator, Word Solver, and Finder for Anagram Based Games Like Scrabble, Lexolous , Anagrammer, Jumble Words, Text Twist, and Words with Friends. NTK 12 Engineering, กรุงเทพมหานคร 56 likes · 2 talking about this งานตรวจระบบไฟฟ้าโรงงาน. And additional meaning such as reference to the Christian Paternoster prayer can be derived from its letters However, the word "Arepo" appears nowhere else in Latin literature;.
Deutsche Schulbücher orientieren sich in einigen Bundesländern an dieser DINNorm, in anderen, z B in Bayern, nicht Letztlich ist es eine Frage der Definition, welche der beiden Mengen man als natürlicher ansehen und welcher man somit diese Bezeichnung als sprachliche Auszeichnung zukommen lassen will. (Code càng trên cùng, càng mới, khi mã hết hiệu lực hoặc dùng rồi sẽ không dùng được nữa) Liên kết chơi game trên website 25/07/ Code 500 gem Fhf7id5 Code 500 gem H5kM5GqE 22/07/ Code 1000 gem c6AyWY7C 27/05/ Code 300 gem rC3hNjbT Happy Labor Day Các code đều có hiệu lực 3 ngày kể từ ngày admin game công bố. In addition to satisfying the basic properties of word squares, the Sator Square spread widely due to several other attributes it is palindromic;.
T < b}, and (a,b denotes {t a < t b} The counting rv’s N(t) for each t > 0 are then defined as the number of arrivals in the interval (0,t N(0) is defined to be 0 2Thus, for theBernoulli process with an increment size of 1, N(n) is rv denoted as S n in Section 135. BnvvnI rIt lIl} mrc}, adu, koprn¶\ CIN, K}z ano mIQu \ Bog} krI brbr vqI lo pCI dhI\no vlovI no tom nKo ano Akrs kro pCI hI\g. K B s ˔ V _2438 ǂ C y ɁA A A k.
D A D A N T K L U B Úvod Dadantklub Eurodadant radost včelařit V roce 01 měl ing Vladimír Řeháček. Most of those who. Key If there is an IPA symbol you are looking for that you do not see here, see HelpIPA, which is a more complete listFor a table listing all spellings of the sounds on this page, see English orthography § Soundtospelling correspondencesFor help converting spelling to pronunciation, see English orthography § Spellingtosound correspondences.
Proof We guess that (AB) 1= B A 1 Since nd Bare invertible, we have, ABB 1A 1 = AA 1 = I Also, B 1A 1AB= B 1B= I Thus, ABis invertible and it’s inverse is B 1A 1 7 Problem 246 Prove that if Ais invertible and AB= O, then B= O Proof If Ais invertible, apply its inverse to the left hand side of both sides A 1B= A 1O)B= O 8 Problem 24. · b linux 1000 0 5K e bsd 1000 600 4M c win7 00 100 7G a mac 00 500 2K d winxp 4000 300 3G f SUSE 4000 300 6M g winxp 500 300 3G c Debian 600 0 8K 32 加n后,按照数值排序 sort t $'\t' k 3n sortlog. ̓h } i 50 j ` P ̐퍑 ` Ɍ I I ɐ Z Ï T K } b v X ^.

Study The Population Growth Curves In The Graph Given Below And An

3 Calculate The Frenet Apparatus T K N B And T Of The Following Curves A A S 1s 3 2 3 1 S 3 2 S S E 1 1 B A E Sint Cos T Ze Sint

Tkb Review Slingshot Alien Air The Kiteboarder Magazine
Ntk B のギャラリー

Spike E484k Mutation In The First Sars Cov 2 Reinfection Case Confirmed In Brazil Ncov 19 Genomic Epidemiology Virological
Brenda B Engineering Manager Ntk Linkedin

Band Gap Adjustment In Perovskite Type Eu1 Xcaxtio3 Via Ammonolysis

Quantitative Analysis Of A Transient Dynamics Of A Gene Regulatory Network Biorxiv

Columbia Country Club Home Page

C Map Nt Nt 128k Kb Memory User Data Card C Card Format Max Marine Electronics

Torsionbinormalnotes

Tongue Twisters P B M N T D K G F V By Teach Speech 365
Nsx T On Vds Vmware Kb

Role Of Models In Population Biology Understanding Predicting Implications For Empirical Work Days Density Rotifers After Halbach Ppt Download

Chapter 13 13 3 Arc Length And Curvature Flashcards Quizlet

Betainfluenzavirus Viralzone

Population Review Exponential Growth N T 1 N T B D I E Dn B D I E For A Closed Population Dn B D Ppt Download

In Situ Manipulation Of Van Der Waals Heterostructures For Twistronics Science Advances

A Next Generation Approach To Calculate Source Sink Dynamics In Marine Metapopulations Springerlink

A Structure Of Cbl Family Proteins Cbl Family Proteins In Mammals Download Scientific Diagram

Solved A First Order Differential Equation Known As The L Chegg Com

Pdf The Two Dimensional Hubbard Model In The Hartree Fock Approximation

C Map Nt Nt 128k Kb Memory User Data Card C Card Format Max Marine Electronics

Chapter 1 Classical And Quantum Mechanics Pdf 272 Kb

Can I Delete Windows Nt Folder Solved Windows 10 Forums

Nf Kb Signalling In T Cell Homeostasis Institute Of Immunity And Transplantation Ucl University College London

Ntkb What Does Ntkb Mean Slang Org

How To Install Ntk Performance Oxygen Sensor Front On Your F 150 Americantrucks

Anomalous Decay Of Quantum Resistance Oscillations Of 2d Helical Electrons In Magnetic Field Scientific Reports

Relation Between The Volume Of Gas 2 That Dissolves In A Fixed Vo

Handbid Logos And Artwork

Inflammatory Regulatory Network Mediated By The Joint Action Of Nf Kb Stat3 And Ap 1 Factors Is Involved In Many Human Cancers Pnas

Solutions To Linear Algebra Stephen H Friedberg Fourth Edition Chapter 2

Tongue Twisters P B M N T D K G F V By Teach Speech 365

Scp Shared Cache Partitioning For High Performance Gemm

B Tree Introduction To Btree Btrees Are Balanced

Sample Practice Exam 17 Questions And Answers Studocu

Magnetochemistry Free Full Text Surface Effects Leading To Unusual Size Dependence Of The Thermal Hysteresis Behavior In Spin Crossover Nanoparticles Html

Solved Two Assignments Exponential Growth Of Population S Chegg Com

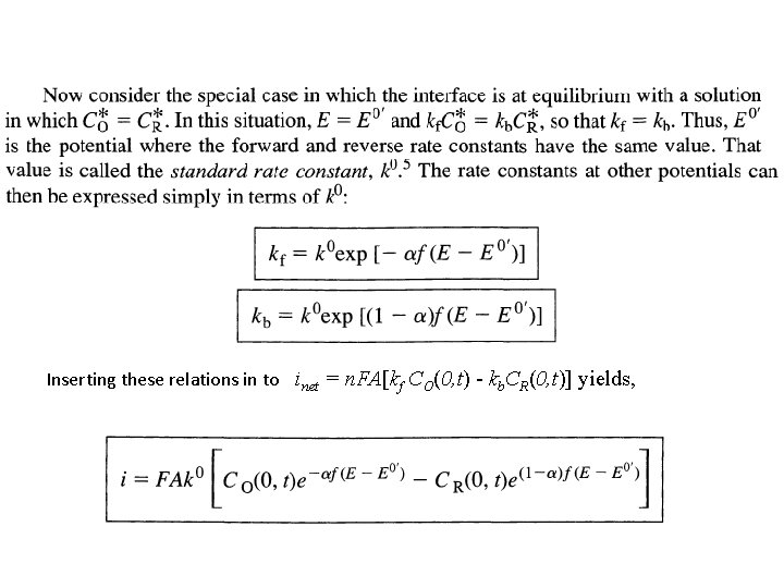
Electrode Kinetics Charge Transfer Control Activation Polarization Kf

Polish And Pigments Swatches Tkb S Reflecks Pigments
Tkbhome Single Dual Dimmer Switch Tz35s Tz35d Tz55s Tz55d Sku Tkbetz35 D Zwave Quickstart This Is A Dimmer For Europe To Run This Device Please Connect It To Your Mains Power Supply To Add This Device To Your Network Execute The
Tickets Ngk Ntk Nhra Four Wide Nationals Saturday Concord Nc At Ticketmaster

How To Install Ntk O2 Replacement Bung And Plug On Your Mustang Americanmuscle

Ntk Technical Tips From Component Distributors

Tkb Review 17 Ozone Reo V4 The Kiteboarder Magazine

On Optimally Partitioning Variable Byte Codes

The Functions Of Chloroplast Glutamyl Trna In Translation And Tetrapyrrole Biosynthesis Plant Physiology

Dynamics For A Tritrophic Impulsive Periodic Plankton Fish System With Diffusion In Lakes Liu Mathematical Methods In The Applied Sciences Wiley Online Library

Scheduling A Proportionate Flow Shop Of Batching Machines Springerlink

Fast And Accurate Approximation Of The Joint Site Frequency Spectrum Of Multiple Populations Biorxiv

Boltzmann Constant Wikipedia
Dameware Nt Utilities Dameware

Answered 1 True Or False T F Questions 1 2 Bartleby

S O V A Avtomat Bulkin Av 46 Tkb 415 Circa 46 47 Russia N Assault Rifle That Lost Out To Ak Is This 1 Of The 1st Side Folded Skeletal Stocks T Co Tkkghqrf5f

Chapter 13 13 3 Arc Length And Curvature Flashcards Quizlet

Problem Analysis Pbcl

Windows Nt 4 0 Wikipedia

Dose Dependent Action Of The Rna Binding Protein Fox 1 To Relay X Chromosome Number And Determine C Elegans Sex Elife

Midterm Exam I Calculus Iii Sample A 1

What Does Ntkb Mean Definition Of Ntkb Ntkb Stands For Need To Know Basis By Acronymsandslang Com

Ultra Wide Deep Nets And The Neural Tangent Kernel Ntk Machine Learning Blog Ml Cmu Carnegie Mellon University
Nsx T Backups Are Failing With Error Backup Operation Unknown Error Vmware Kb

Amazon Com Ntk Aj0087 Air Charge Temperature Sensor Automotive

Magnetochemistry Free Full Text Surface Effects Leading To Unusual Size Dependence Of The Thermal Hysteresis Behavior In Spin Crossover Nanoparticles Html
File Ntk Televison Logo Svg Wikimedia Commons
1 Vytah

Equation Sheet Final Test Phys 1171 Lab For Physics 1171 Studocu

The Effect Of Temperature On The Forward Bias Electrical Characteristics Of Both Pure Ni And Oxidized Ni Au Schottky Contacts On N Type Gan A Case Study Sciencedirect

Understanding The Neural Tangent Kernel Rajat S Blog A Blog About Machine Learning And Math

Solutions To Linear Algebra Stephen H Friedberg Fourth Edition Chapter 2
Tk B Food Home Facebook
Tkb Trading Llc Home Facebook

Sample Fortran Code Fragment From A Cray Supercomputer Chm Revolution

Analysis Of The Okazaki Fragment Distributions Along Single Long Dnas Replicated By The Bacteriophage T4 Proteins Molecular Cell
Onecut2 Upregulation Is Associated With Cpg Hypomethylation At Promoter Proximal Dna In Gastric Cancer And Triggers Acsl5

Pigment Color Recipes Using Tkb Trading The Conservatorie And Coastal Scents Pigments Pigment Coloring Elf Makeup Dupes Food Coloring

Tkb 0249 Crossbow Grenade Launcher 3d Model 9 Obj Max Fbx Free3d

Solved 2 Gompertz Growth Model The Gompertz Growth Cur Chegg Com

Connect Four Game For P T K B D G F V M N R R Blends L L Blends S S Blends Speech Therapy Speech Therapy Games Articulation Therapy Activities

Atoms In Motion Information For Educators
B Stock Rode Ntk Valve Condenser Mic Andertons Music Co

Ntk Academic Group To Host Ib Top Scorers Forum In Celebration Of Record Breaking Achievement South China Morning Post

Novel Burkholderiales 23s Rrna Genes Identified In Ileal Biopsy Samples From Children Preliminary Evidence That A Subtype Is Associated With Perianal Crohn S Disease Journal Of Clinical Microbiology

Function Object An Overview Sciencedirect Topics

Vibrations Of Rectangular Plates Chapter 8 Nonlinear Mechanics Of Shells And Plates In Composite Soft And Biological Materials

Rode Ntk Large Diaphragm Tube Condenser Microphone Sweetwater
Plos One Split Doa10 A Naturally Split Polytopic Eukaryotic Membrane Protein Generated By Fission Of A Nuclear Gene

The Binomial Theorem States That For A Positive In Chegg Com

Ntk News Your Source For The Need To Know
Solved Bacteria Grow In A Culture At A Rate Proportional To The Amount Present Initially 300 Strands Of The Bacteria Are In The Culture And After Course Hero

In Vitro Synthesis Of Gene Length Single Stranded Dna Scientific Reports