Qidyeix

D Wiktionary

The Phonology And Phonotactics Of My Current Project Arithani A ɾi 8a Ni Any Thoughts Conlangs
Scriptsource Entry Phonetic Symbol Guide
Qidyeix のギャラリー

If Y Y X Is The Solution Of The Differential Equation Dy Dx

Pdf A Comparison Of Various Definitions Of Contractive Mappings

Solved Let F X Y Yi Xjx2 Y2 And Let C Be The Circle R T Chegg Com

Solved 17 18 25 Points Challenge Problem A Thin Rod Of Chegg Com

A Charge Particle Q 10 Mu C Is Carried Along Op And Pq And Then

Example 17 Show 2y E X Y Dx Y 2x Ex Y Dy 0 Particular

Tinkutara Equation Editor Math Forum Question 938

Gt

Tinkutara Equation Editor Math Forum Question

Answered Consider The Following Operators Bartleby

Page 36 Untitled 1 Pmd

Question Paper Applied Mathematics I Revised Course April

Ex 10 3 16 If P And Q Are Lengths Of Perpendiculars Ex 10 3
I7770base Point Of Sale Base Station User Manual Xls Ingenico

Solved 3 Three Point Charges Are Placed At The Following Chegg Com

If Pqr Are The Three Points With Respective Position Vectors I ĵ I ĵ And Ai Bĵ Ck Then The Points Pqr Are Collinear If
Conceptual Profile Physics Brahmatrix Facebook

Y Wiktionary
If X Py Q X Y P Q Then Dydx Is Equal To

Tinkutara Equation Editor Math Forum Question

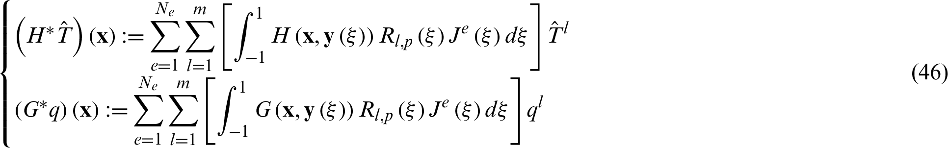
Images Computer Modeling In Engineering Sciences Images Doi 10 Cmes 21 0121 Article Isogeometric Boundary Element Analysis For 2d Transient Heat Conduction Problem With Radial Integration Method Leilei Chen1 Kunpeng Li1

On The Divergence Of Line Search Methods

Numerical Method Existence And Uniqueness For Thermoelasticity System With Moving Boundary

Scrabble Letter Distributions Wikipedia

Example A Positive Charge Q1 Q Is Located A Distance D Along The Y Axis From The Origin A Second Positive Charge Q2 Q Is Located At The Origin Ppt Download
Francouzsko Cesky Cesko Francouzsky Kapesni Slovnik Albatrosmedia Cz
Solve The Differential Equation Dydx Y Tan X Sin X
W Q C N J

Page 118 Payar E Azkar Complete Cdr

Romanian Alphabet Wikipedia

Latin Script Wikipedia
Cinedom Photos Facebook

A Charge Particle Q 10 Mu C Is Carried Along Op And Pq And Then

Two Point Charges Q And Q Are Held Fixed At D O And D 0 Res
Solved Integral Integral R Times E Cy D Delta Xy R X Chegg Com

Solved For All Questions Take K 1 4pe0 9 X 109 N M2 Chegg Com

Solved Problem 1 Consider Two Point Charges Q Located At Chegg Com

Bengali Grammar Book Pdf E U00a8vkiy 1 2 3 4 5 6 7 8 9 10 11 12 13 14 15 16 17 18 19 21 Fvlv E U00a8vkiy A U0178wb Cwipq K U00e3 Evk U00a8 Mgvm Mw U00dc Mw U00dc I Mgv U21mi Course Hero
Scrabble Letter Distributions Wikipedia

Tr X 7 H High Resolution Stock Photography And Images Alamy

A Charge Particle Q 10 Mu C Is Carried Along Op And Pq And Then

If Y Y X Is The Solution Of The Differential Equation Dy Dx

Thesee Tragedie Seconde Edition 1 0 S 3 T Lloh C Narf Attuon I Ur Kfiiffirct Pour A S T T T X Heur Jiifi Lra Utir Sa Pci Tie Llotr Eparafaitijn Iaa Jhf T Rapoiir Ja 1 Ql

Contractive Mapping In Generalized Ordered Metric Spaces With Application In Integral Equations Topic Of Research Paper In Mathematics Download Scholarly Article Pdf And Read For Free On Cyberleninka Open Science Hub

Dip Review Outline

Solved Supply Q Chegg Com

Find The Particular Integral Of D 2 3d 2 Y E 3x

Solved 3 In The Figure Q 1 Mc While D 1 M Which O Chegg Com

X Wiktionary

Annales Academie De La Rochelle Section Des Sciences Naturelles S S G Quot D Lt I Co O Q 5 X Sii I S Z O G

Ex 9 4 7 Find General Solution Y Log Y Dx X Dy 0

E Wiktionary

Let Y Y X Be The Solution Of The Differential Equation Dy Dx Y

Pdf Ppt Download
Tosty Fotky Facebook

Single Source Shortest Paths Ppt Download
Hgc 900 Single Mode Cellular Cdma Phone Test Report Hyundai Electronics Industries

Ex 10 3 16 If P And Q Are Lengths Of Perpendiculars Ex 10 3

Tinkutara Equation Editor Math Forum Question

Jee Main Paper With Solutions Maths Shift 1 Download Pdf

Uwf1iv4vze Im

Tinkutara Equation Editor Math Forum Question 938

Solved 1 Let P X Y And Q X Y X2 Y2 X2 Y2 A Recall Chegg Com

In The Given Electric Field Vece Alpha D X Hati E 0hatj Nc

Q Wiktionary

Q Wiktionary

Structure Preserving And Re Randomizable Rcca Secure Public Key Encryption And Its Applications Springerlink

Solved Please Help With All Of It 2 5 Let C Be The Path Chegg Com
Solved B H D Fig 1 An Electron Q 1 6 X 10 19c Chegg Com

Pdf Analyze Causes Of Adverse Reactions Induced By Traditional Chinese Medicine Injections From Its Quality Standards

Math 314 Lecture 14 Math 314 Mar 22 Oneclass
P S Backparadies Photos Facebook

Solution To Quiz 1 Honor Engineering Mathematics I Math 251 Docsity