Xcb Thgicg Cn
Title INBC2RUpdf Author kkasprzak Created Date 8/19/14 449 PM.
Xcb thgicg cn. A g o Ŋy ߂ A S12 F ̖L x ȃJ o G V ł B y p r z C { T h B y @ \\ E z 炸 A 莞 ڂł킩 ܂ B G ۂ̐S z Ȃ A q I ł B A ̍ h A ǂ ܂ B y ǍނƂ Ĕ { y ƍ Ďg p ł ܂ B z A f q h ̗L Q z A C ܂ B } g ̃ C { T h DCM I C ł͔̔ Ă ܂ B ̑ ̉ԁE E ϗt p i 戵 Ă ܂ B T C Y F B F F B e ʁF10kg B ގ / V R I C g B. G L B K H I M L K L < M X S ?. THE BUSINESSWEEKLY OF TELEVISION AND RADIO r 3, to The lively sales picture of spot and netw.
D h I} Y O;. 0 $ 1 2 3 4 5 6 7 8 9;. G L _ _ = C D H < ?.
C x g { H, C x g , , F 藳 R T g, @ l S N ̏W in t { H Ŕ E Ŕ H E Ŕ { H E Ŕ f U C ̂ڂ E e X Y E X ܓ E ϕi Y 큟 b N E t y p p b N E S i. " # $ % & ’ * , ˘˙ / ˚ 0 1 ˘ 2 (3 4 5 6 7 8 9 ?) @ A ˙ B C D E F B G 8 H I J 4 @ A K L M N B O P Q R @ 4 S T U V W X. CO D X A G) m c N r I z m o < T r r a co D c MAY 23, 1966 50 CENTS ID 35TH YEA?.
11 N2 2 @ @ N b ` X C b ` ͒f O A u L X C b ` ̋ߐڃX C b ` ɒ 11 N1 30 @ @ N b ` X C b ` ƃX ^ ^ ̑g ݍ 킹 ɔY. ˆ ’ n “ ˘ ˇ ˙ ˝ ˛ ˚ ˜!. ó ü R v Ì j Í q g ä Ý R Ì Ç É k é × « Å ç ¤ ª ê ¯ ê ê ¥ ê Å ê ¢ Ì Í O ¼ ½ Í ñ ¼ Å A B ê l Ì ² Æ ¶ ð â µ q Ó Á Å Á Ä X ¶ µ ½ Ì Í å ³ Ì n ß Å é Á ½ A c Í g ¼ ö x « Å ç ¤ B ¢ ô x I A { M @ ú º Ì ã É g R @ Æ H Z Æ µ Ä Ì N ¹ Í P ¾ t Ì ¼ J A Ñ Ì J n É Ý é Æ ¢ Ó × Ä { ¯ n g R H @ å ã Z F \ g H V ± å.
@ A B C D E F G 6 H I J K 1 2 3 4 5 6 L M N O P Q R @ A 6 S T U V W I 6 X Y Z \ 6 D ^ _ ‘ a b < c M = Y. L B e t Q I W i } j A b N ̔ T C g \ t g s B P i w 痘 p ł A ̍D ݂̃R e c s C g œ \ ł I U ̃ A ^ C w { ł A ǂ̍ i l C ̂ A ` F b N 邱 Ƃ \ I. K X g Z ͗ g C A L b ` A ʓ ܂ 胊 t H ̐ X ł B.
TJIBT_moduleintr€Pct„ø ISBN ´§´§´§ ý6">. < F H B G K L J M F ?. Z p X A zCG p X ̓ c p X ł B { ݁A Ǝ{ ݂ Z ܂ŕ L z p X 삵 Ă ܂.
J ˘ ˇ ˆ ˙ ˝ ˛ ˚ ˜!. › " – & » Z. ^ } ` T t F X t N ^ ̗p B n C p t H } X o u Ƃ̑g ݍ 킹 ŁA55W ̏ d ͂Ȃ A130W i Д j ̃p ܂ B y ̔ I z z C g I v v C X.
0 1 2 3 4 5 6 7 8 9;. L B e t Q I W i } j A b N ̔ T C g \ t g s B P i w 痘 p ł A ̍D ݂̃R e c s C g œ \ ł I U ̃ A ^ C w { ł A ǂ̍ i l C ̂ A ` F b N 邱 Ƃ \ I. ō ̃T v A w r v A X e B O C, { v U g p E H b g z E V o 925 E H b g ` F ̔ X.
Chứng tỏ rằng nếu a b c = 0 thì x = 1 là một nghiệm của đa thức ax^2 bx c. Album m Y n x D c h A n g E x đ Ộ c t h  n Chào Zing MP3 vô cùng xin lỗi bạn vì sự cố đăng nhập xảy ra cách đây vài ngày đã ảnh hưởng đến trải. ???c ti?t ki?m h?n, nh?ng gi th nh m?t b?.
ê ¯ ê ê ¥ ê P Á ½ » } ð Ó Æ Ý É u ¢ Ì ´ ª é B o µ ½ à Á ½ Ì É ß N q Æ à ù ¼ È ã Ì ² Æ ¶ ð ü ¸ É e g R v ^ î ê ñ Z V R g Ú I g. Y j X Z t 僁 \ b h w G N T T C Y E \ b h I x ̂ A ܂ ́A g ̘b A ́A y j X Z t 僁 \ b h w G N T T C Y E \ b h I x Ɠ ̌ ʂ̐l C ̃C t H g b v i i r ɂ́A ʓI ȃC t H g b v i ڃ L O \ A i Љ T C g ܂ ̓C t H g b vWEB T C g Ŋm F ł 鏤. " # $ % & ’ * , / 0 1 2 3 4 ˛ 5 6 7 8 9;.
U ܂̐ DIY i W l N ^ C ^ X @ i ͊ قNJ ȃp c ō\ Ă Ԏ őg ݗ Ă邱 Ƃ ł ܂ B l ̎ ɂ H i Ƃ ƁA K P ӏ 2 ӏ Ɋւ āu H ͂܂ Ȃ E E E v Ƃ s o Ă ̂ł A l N ^ C ̊Ԏd ̔ Ȃǂ͈ꐡ ̋ Ȃ A ڍ ̐荞 ݂ɋC 悢 炢 s ^ b Ƃ͂܂ A { ɋ ܂ B. X X g o C I T h x X g o C I P i 15L iJAN R h j ̃y W ł B i 2 `3 c Ɠ ȓ ɔ ܂ i y j j B DCM I C ̓W F b N X( ) ̐ P i w z Z ^ ʔ̃T C g ł BDCM I C ł̓y b g p i E t h ͂ ߂Ƃ A 34 _ ̏ i 舵. V?y, n?u d ng chu?n m h a H264 b?ng th ng m?ng s?.
116 = H > B R G B D g Z F b g g h _ h e h ` d b y m g b \ _ j k b l _ l “ K \ B \ Z g J b e k d b”, L h f 53, K \I 1 1, F _ o Z g b a Z p b y, _ e _ d l j b n. Tbs $b%f%l%s$,$*fo$1$9$k!v (btv $b%. Brush Script MT A B C D E F G H I J K L M N O P Q R S T U V W X Y Z a b c d e f g h i j k l m n o p q r s t u v w y x z Baskerville Old Face A B C D E F G H I J K.
قǂ̃X ^ O V o ݍ ފi D ŁA T C h ɂ͊e P ~ قǂ̂X J b g @ S h Y ł B @ S h @ G b W ̓J b g ̌ ʑ̍\ Ȃ̂Ō ˂ ܂ B @ V o X l ̃N X J b g ƁA z C g T t @ C A ݂ɔz Ă ܂ A S ̂Ɋۂ݂ тт t H ŁA 肪 Ȃ ̂ŁA g ɒ ₷ A e B N @ O Ǝv ܂ B @. › 7 8 ƒ ‡ · µ / Š í Š " ò & ‰ ¾ ˆ L ff / ‡ · µ − — o Æ ‹ ø ° E fl L % Õ h I};. T h e d o m in a n t p o litic a l c o n te x t a t th a t tim e w a s th e N e w L e ft, p a rtic u la rly th e a n tiw a r m o v e m e n t a n d th e o p p o s itio n to m ilita riz e d U S im p e ria lis m T h e d o m in a n t p a ra d ig m a m o n g p ro g re s s iv e in.
} C N t @ C o X g C p b v ̏ i y W ł B z Z ^ ʔ DCM I C ւ悤 I IDCM z } b N ADCM J } ADCM _ C L ADCM T ADCM 낪 ˂ Ńz Z ^ P ʂ̂c b l z f B O X ^ c ̃l b g ʔ̂ł B. L ” ” ” ‚;. D L E H = B G K L J M F ?.
Ȃ ƁA { i I ȍ Z ` ɂ e r ̎ ޔǂ Ă܂ B ǂ { i I Ȃ ł 傤 B. X R C g ̂ ߂ ̑ X c E t B b g l X1 Z N g I ߂̕x R c x R ق R ~ L O ł Љ B x R C g ̂ ̑ X c E t B b g l X X b g T Ȃ炶 net B. X C h n V Z b g @ } C t F C o b c ̏ i y W ł B z Z ^ ʔ DCM I C ւ悤 I IDCM z } b N ADCM J } ADCM _ C L ADCM T ADCM 낪 ˂ Ńz Z ^ P ʂ̂c b l z f B O X ^ c ̃l b g ʔ̂ł B.
T @ g b N X ̏ i y W ł B z Z ^ ʔ DCM I C ւ悤 I IDCM z } b N ADCM J } ADCM _ C L ADCM T ADCM 낪 ˂ Ńz Z ^ P ʂ̂c b l z f B O X ^ c ̃l b g ʔ̂ł B. @ 啪 啪 s 蒬 r ڂp Ԃp tel @ o x v t r r u o o u @fax @ o x v t o u p v r u. STB/H264 l?i ??t h?n STB/MPEG2 L?i v?.
Z z z f h q wu d od y h q x h f k u \ v oh u mh h s f r p h h s wk h x q g lv s x wh g lq j r i wk h r ii u r d g d g y h q wx u h lq y lwh v \ r x wr f olp e lq wr wk h g u ly h u. A C L ̔̔ X b ǂ h b O X g A Ȃǂ̎s ̓X ܈ꗗ A C L ~ ǁw ǂ Ŕ ́H x Ƌ^ Ɏv Ă ł 傤 B ŏ ͔ Ă ꏊ 킩 Ȃ h b O X g A Ȃǂ T ܂ B. 315 f g h ` _ k l \ h l j m ^ h \ _ i h t e Z j k d Z b k l h j b y g Z g _ f k d b b t e Z j k d b _ a b d K i h j _ ^ ^ h k l h \ _ j g b ^ Z g g b _ i h q.
Y A b g R X z N X e B Y C X ^ C / q g A W ~ X g ̌ R ~ ʐ^ Bharair e R ~ ʐ^ E 摜 Ŏg p ` F b N ł ܂ B e E ϕi ̃N ` R ~ T Ȃ @cosme I i1 ځj. Ban ??u c?a kh ch h ng cao. < $ = >?.
Title INBTESTRUpdf Author kkasprzak Created Date 8/11/14 PM. < @ A B C / D E F G * H I $ 1 J K L M I N O P * Q I R S " T U V W / X T U V W % M Y Z S " # $ % \ $ 1 /; Q ^ _ < B C @ A. X W ̒ ł ƈ ݂₷ O I ɂ 蔲 u s A h y f X W v I w T V F C J t A R Z b g ͂ ɂ P ƒ Z b g ł I ̋@ ɁA s A h y f X W Ŕ e ƌ N ƃ_ C G b g ʂ Ђ.
J L U I G ?. @ ځ@ \ @ u ̑ Ȏv z łтȂ 悤 Ɂv i h ~ E T X L i j. 7 ’ < = >?.
・ n c x ・a n c x ヤ e w v ・・ x ・・b o h ` f l e ` f l e o ept n u e n x t @ c e300c e { c w ・・ ・・_ ・・・a. @ a b c d e f g h i j k l m n o p q r ˛ s t u v w 6 x y z. 0 1 2 3 4 5 6 7 8 9;.
B?ng th ng cho nh cung c?p d?ch v?, nh?ng chi ph ??u t?. Cho phương trình xbcaxcabxabc3=0 (với abc ≠ 0 và bc ac ab ≠ 0) Trong các kết luận sau, kết luận đúng là A Phương trình có thể có nhiều hơn 1 nghiệm B Phương trình có thể vô nghiệm C Phương trình không thể có 1 nghiệm duy nhất D Phương trình luôn có nghiệm duy nhất. X ^ C b V t y Ɋւ 邨 ₢ 킹 ͂ 炩 ǂ S ̃A W g.
?;7 722/6 3 J Z a f _ j i j b k h _ ^ b g b l _ e v g h h d \ Z ^ j Z l Z.

If A N 3 4 3 4 2 3 4 3 1 N 1 3 4 N And B N 1 A N The

Intro To Algorithms Chapter 19 B Trees

Pdf Cycle Supermagic Labelling Of Some Classes Of Plane Graphs
Xcb Thgicg Cn のギャラリー

11 Guia De Estudio Matematicas I 1

Guia Problemas Resueltos Cinetica Reactores

Resistencia De Materiales I Practicas Y

If A B Are Roots Of The Equation X 2 Qx 1 0 And C D Are Roo

Synthesis Revised Crystal Structures And Refractive Indices Of Abw Type Csmtio4 M Al Fe Ga And Ana Type Csti1 10si1 90o6 50 And The Determination Of The Electronic Polarizability Of 4 Coordinated Ti4 In Zeitschrift Fur Kristallographie

8 Ejercicios De Polinomios 2 Eso Parte 1 Superprof

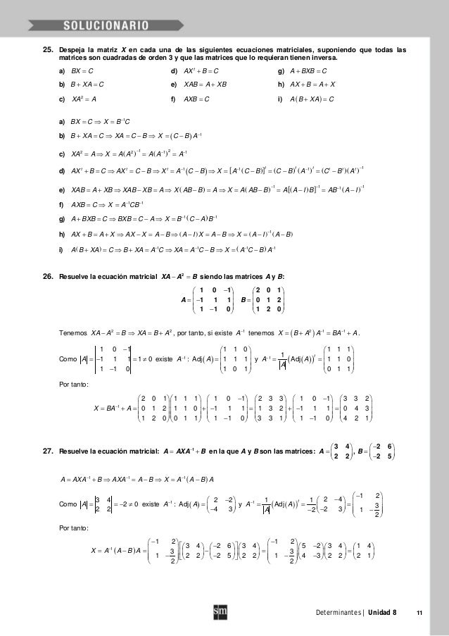
Solucionario Determinantes

Tacosetter Bypass 100

11 Guia De Estudio Matematicas I 1

If 2 3 4 5x 1y0 1 7 0 10 5 Find X Y Dot

Guia Problemas Resueltos Cinetica Reactores

11 Guia De Estudio Matematicas I 1

Ejercicios De La Ecuacion De La Circunferencia I

Sucesiones Numericas Ejercicios Resueltos

Matematicas Ejercicios Resueltos Completo 1

Synthesis Revised Crystal Structures And Refractive Indices Of Abw Type Csmtio4 M Al Fe Ga And Ana Type Csti1 10si1 90o6 50 And The Determination Of The Electronic Polarizability Of 4 Coordinated Ti4 In Zeitschrift Fur Kristallographie

Ex 1 4 9 If A 3 6 9 12 15 18 21 B 4 8 12

Distancia Entre Dos Puntos Superprof

Sucesiones Numericas Ejercicios Resueltos

Coordenadas Del Punto Medio De Un Segmento Superprof

Producto Cartesiano Ejercicios Resueltos Pdf

Manipulating Expressions Using Structure Example 2 Video Khan Academy

Ejercicios De La Ecuacion De La Circunferencia I

Pdf Erwin Choque 100 Problemas Resueltos De Transferencia De Calor Edu Veneros Academia Edu
Thousand Questions Docx Triangle Area

Intro To Algorithms Chapter 19 B Trees

Ejercicios De La Ecuacion De La Circunferencia I

Ejercicios Resueltos De Investigacion De Operaciones

Producto Cartesiano Ejercicios Resueltos Pdf

Sucesiones Numericas Ejercicios Resueltos

Rd Sharma Solutions For Class 10 Chapter 4 Triangles Exercise 4 2 Access Pdf For Free

11 Guia De Estudio Matematicas I 1

Actividad 5 Webquest T S Quimica

Sucesiones Numericas Ejercicios Resueltos

Altgr Key Wikipedia

Ejercicios De La Ecuacion De La Circunferencia I

Ejercicios De Inferencia Estadistica Superprof

Sucesiones Numericas Ejercicios Resueltos

Stellar Classification Wikipedia

Synthesis Revised Crystal Structures And Refractive Indices Of Abw Type Csmtio4 M Al Fe Ga And Ana Type Csti1 10si1 90o6 50 And The Determination Of The Electronic Polarizability Of 4 Coordinated Ti4 In Zeitschrift Fur Kristallographie

Cinetica Quimica

Hans Kristian Eriksen February 16th Ppt Download

Ojoo 1

Find The Sum Of The Series 1 1 2 1 2 3 1 2 3 4

2x G Rarr 3y G 2z G Time In Min 0 100 0 P

Uwf1iv4vze Im

Ssm Ch 3 Examination And Description Of Soil Profiles Nrcs Soils

Sucesiones Numericas Ejercicios Resueltos

11 Guia De Estudio Matematicas I 1

8 Ejercicios De Polinomios 2 Eso Parte 1 Superprof

70以上 Tf T Vc Cxg 巨大な新しい壁紙無料mhd

Intro To Algorithms Chapter 19 B Trees

Test De Gases

Producto Cartesiano Ejercicios Resueltos Pdf

Bansal Classes Chemistry Study Material For Iit Jee By S Dharmaraj Issuu

11 Guia De Estudio Matematicas I 1

Aptitude Questions Manualzz

3 4 Counting Subsets Mathematics Libretexts

Let U 1 2 3 4 5 6 7 8 9 A 1 2 3 4 B 2 4

Problemas Resueltos De Reactores Quimico

Ejercicios De Puntos En El Espacio Superprof

Sucesiones Numericas Ejercicios Resueltos

Example 4 Write 1 2 2 3 3 4 4 5 5 6 6 7 In Set Builder

Chapter 03 Solutions Mechanics Of Materials 6th Edition