Evyngl
0 Lmn Lo L Pq R L Stu V W Xy Z 1 A B Cd Efgh Bij Ekgh Leemnopqrst U5 Vswx Y Bgz

Planilla Aplicacion Wisc Ii

Y Wiktionary
Evyngl のギャラリー

G Wiktionary

Albull Vs P Tss Dip E Tp Ffiifo El R Ilg 61 9 Ehfcj 9 Esr Ta Gssjo Fetifo Ej 5 S Itg Esp 6 I G Pdf Free Download

Tecnica De Trompeta De Allen Vizzutti 1

Gggg Fotos E Imagenes De Stock Alamy

Jenna Sutela

Iso Iec 59 1 Wikipedia
Rammala Grama Niladhari Office රම මල ග න

Pdf Large Scale Distributed Deep Networks

Page Henri Iv Lettres Missives Tome6 Djvu 734 Wikisource

Solucionario Del Chrurchill Variable Compleja

Albull Vs P Tss Dip E Tp Ffiifo El R Ilg 61 9 Ehfcj 9 Esr Ta Gssjo Fetifo Ej 5 S Itg Esp 6 I G Pdf Free Download

Yu Lk Evil S Wings Enjoy Weightless Fun In Unlimited Positions S E X S W I V El S W I N G For A A D U L T D O O R Ce I L Ing Wo M E N With Stand F U R N I Ture S W I N Gs B O N D A Ge Buy Online In Mauritius At Mauritius Desertcart Com Productid

Page 25 23期

H Flam Fotos E Imagenes De Stock Alamy

Z L M N O P Q R S T U V W

Tho Tinh Hoc Tro

Fancy Letters ꭿ น ꭿ ℊ ℬ Copy And Paste Unicode Character Table

Pdf Equation Of Sediment Transport For Slope Flows

Alfabeto Mongol Tradicional Wikipedia La Enciclopedia Libre

7 L G Vxvc Nx J Knn A Nxx V Xe Vx Kx K X E Dx N Yx

Octubre

Pallas Athena Twitterissa The Glagolitic Was Croatian The Oldest Texts Are Croatian T Co Rrrodk1w3y

Y Wiktionary

4 Serpentine Gallery Y Sus Pabellones Efimeros

Spanish Orthography Wikipedia

Estadistica Uc001

Z L M N O P Q R S T U V W

Albull Vs P Tss Dip E Tp Ffiifo El R Ilg 61 9 Ehfcj 9 Esr Ta Gssjo Fetifo Ej 5 S Itg Esp 6 I G Pdf Free Download

Pdf Observed Climate Variability And Change

Cadmus Fotos E Imagenes De Stock Pagina 7 Alamy

Ernesto Lopez Baeza Representing The Climatology From Satellites Group Servicio De La Universitat De Valencia

Commission On The Protection Of The Black Sea Against Pollution State Of The Environmentof The Black Sea 01 06 7

Nunez Josue Antonio Pdf Descargar Libre

Alfabeto Latino Wikipedia La Enciclopedia Libre

Decoration Of G C3n4 Nanosheets By Mesoporous Cofe2o4 Nanoparticles For Promoting Visible Light Photocatalytic Hg Ii Reduction Sciencedirect
0 Lmn Lo L Pq R L Stu V W Xy Z 1 A B Cd Efgh Bij Ekgh Leemnopqrst U5 Vswx Y Bgz

Appendix M Conversion 2 Layer Model For Rigid Pavements Subroutine Proposed Enhancements To Pavement Me Design Improved Consideration Of The Influence Of Subgrade And Unbound Layers On Pavement Performance The National

Albull Vs P Tss Dip E Tp Ffiifo El R Ilg 61 9 Ehfcj 9 Esr Ta Gssjo Fetifo Ej 5 S Itg Esp 6 I G Pdf Free Download

Futhark Antiguo Wikipedia La Enciclopedia Libre

Amadi Tragedie Proserpine Cadmus W V 1 Y 1 Tettit Ebuteeles Efev Nelle J Voulu La Ejus I 3 Tetfrbleujdjl Cvue Lc J Gt Tirj Tppyoiuce Ejuen Ta Cju Uant

John 14

The V I P S Fotos E Imagenes De Stock Pagina 176 Alamy

L Vov Fotos E Imagenes De Stock Alamy

V I P Fotos E Imagenes De Stock Pagina 257 Alamy

Kimkat1021e Welsh English Dictionary Section G Y Gwe Eiriadur Geiriadur Cymraeg A Saesneg

Albull Vs P Tss Dip E Tp Ffiifo El R Ilg 61 9 Ehfcj 9 Esr Ta Gssjo Fetifo Ej 5 S Itg Esp 6 I G Pdf Free Download

Ppfmqlhno0dhcm

Zil 133 High Resolution Stock Photography And Images Alamy

Jazz Ltd Fakebook

Jenna Sutela

Z L M N O P Q R S T U V W

Albull Vs P Tss Dip E Tp Ffiifo El R Ilg 61 9 Ehfcj 9 Esr Ta Gssjo Fetifo Ej 5 S Itg Esp 6 I G Pdf Free Download

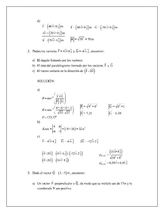
Fisicavectorial Vallejozambrano
Thorn Letter Wikipedia

12 Diciembre

Solucionario Del Chrurchill Variable Compleja

Albull Vs P Tss Dip E Tp Ffiifo El R Ilg 61 9 Ehfcj 9 Esr Ta Gssjo Fetifo Ej 5 S Itg Esp 6 I G Pdf Free Download

Catalogo Mady

Reglas Ortograficas La G Y La J Leon Hunter

6z5dsdqmlikhum

Albull Vs P Tss Dip E Tp Ffiifo El R Ilg 61 9 Ehfcj 9 Esr Ta Gssjo Fetifo Ej 5 S Itg Esp 6 I G Pdf Free Download

Ome Ai Yi Zvgvk K H Ivm Jv N Q V Ko Ozvgv Ki Avuq V K H Ivm Jv N Q V Ko

Answered Respect To X Ng Sides Of Supplementary Bartleby

Tacha Y Rodea L Y N Definitivo

Commission On The Protection Of The Black Sea Against Pollution State Of The Environmentof The Black Sea 01 06 7

5 Embryo De La Langue Note Prise Lors D Un Cours Studocu

Rtj Fotos E Imagenes De Stock Pagina 4 Alamy

Translation 27

Bookpublisherparisduchesne Fotos E Imagenes De Stock Alamy

E Dre Fotos E Imagenes De Stock Pagina 7 Alamy

Z L M N O P Q R S T U V W

Pieces De Clavecin M 2 Jw3 Fe Ri 1 Tetr C I M J Cofi1

Alfabeto Latino Wikipedia La Enciclopedia Libre
Apikit Odata Example Example Sql At Master Mulesoft Apikit Odata Example Github

Spanish Orthography Wikipedia

G Ser Fotos E Imagenes De Stock Pagina 7 Alamy

Qw0jh Owgxrltm

John 14
0 Lmn Lo L Pq R L Stu V W Xy Z 1 A B Cd Efgh Bij Ekgh Leemnopqrst U5 Vswx Y Bgz