Wabnx E Cy

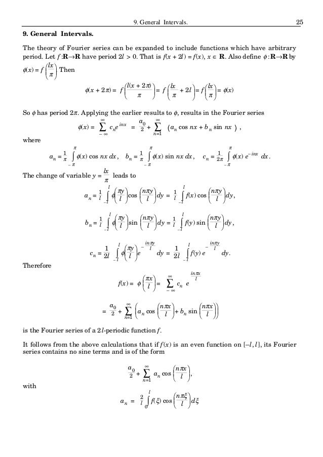
Clarke Fourier Theory 62s

Erds Conjecture On Multiciplities Of Complete Subgraphs Revisited

Y Mx C High Resolution Stock Photography And Images Alamy
Wabnx E Cy のギャラリー
0 Lmn Lo L Pq R L Stu V W Xy Z 1 A B Cd Efgh Bij Ekgh Leemnopqrst U5 Vswx Y Bgz

Prediction Accuracy Of Direct And Indirect Approaches And Their Relationships With Prediction Ability Of Calibration Models Journal Of Dairy Science

Clarke Fourier Theory 62s

Pdf The Van Der Pol Equation

Bird Cylinder Coming In Contact With Rotating Turbofan Blades And Local Download Scientific Diagram

Ex 3 1 9 Which Of X Y Make The Pair Of Matrices Equal
0 Lmn Lo L Pq R L Stu V W Xy Z 1 A B Cd Efgh Bij Ekgh Leemnopqrst U5 Vswx Y Bgz

Chit Ko Gyi Vk

Solved 4 Let X1 X N 2 Be A Random Sample From Chegg Com

Pdf Matlab An Introduction With Applications Arun Kumar Academia Edu

Altgr Weur Layout
Hgc 900 Single Mode Cellular Cdma Phone Test Report Hyundai Electronics Industries
Osa Imaging With A Longitudinal Electric Field In Confocal Laser Scanning Microscopy To Enhance Spatial Resolution
Solved Question 3 30 Points 6 For Each Part The Veloc Chegg Com
E O ƒ O Dire Negarit Gazeta

Y Mx C High Resolution Stock Photography And Images Alamy

Erds Conjecture On Multiciplities Of Complete Subgraphs Revisited

Br Portuguese Upper Stepping Stone
Tne Cxg 人気の最高の壁紙無料whd

Calameo Wedase Mariam In Geez Amharic English ውዳሴ ማርያም

Ex 10 2 9 In Fig Xy And X Y Are Two Parallel Tangents
I7770base Point Of Sale Base Station User Manual Xls Ingenico

Y Mx C High Resolution Stock Photography And Images Alamy

Misc 15 If X A 2 Y B 2 C2 Prove 1 Dy Dx 2 3 2
Osa Imaging With A Longitudinal Electric Field In Confocal Laser Scanning Microscopy To Enhance Spatial Resolution

70以上 An G X 人気の新しい最高の壁紙無料whd

Ppfmqlhno0dhcm

Pdf The Van Der Pol Equation
Osa Rayleigh Backscattering Theory For Single Mode Optical Fibers

If Cc Abc What Are A B And C Youtube
Scriptsource Entry Phonetic Symbol Guide
Problem 2 Suppose You Have A Sample Of N Observat Chegg Com

8 9 A 1 1 6 B 1 V2 7 B 7 2 8 B Homeworklib
Interplay Of Orbital Hopping And Perpendicular Magnetic Field In Anisotropic Phase Transitions For Bernal Bilayer Graphene And Hexagonal Boron Nitride Physical Chemistry Chemical Physics Rsc Publishing

Erds Conjecture On Multiciplities Of Complete Subgraphs Revisited

Y Mx C High Resolution Stock Photography And Images Alamy
9249r User Manual Manual Taiyo

Npda For The Language L W A B W Contains Equal No Of A S And B S Geeksforgeeks

Vitorr In Given Figure Xy And X Y Are Two Parallel Tangents To A Circle With Centre O And Another Tangent Ab

Pdf Stearoyl Coa Desaturase 2 In Murine Development Metabolism And Disease

Br Portuguese Lower Stepping Stone

Y Mx C High Resolution Stock Photography And Images Alamy

C Wiktionary

Pdf Probability Audrey Wu Academia Edu

Pdf Third Edition Advanced Mathematics And Mechanics Applications Using Daiane Pacheco Academia Edu

6z5dsdqmlikhum

Solved Problem 3 33 Transform The Vector A E Sine Coso Chegg Com
0 Lmn Lo L Pq R L Stu V W Xy Z 1 A B Cd Efgh Bij Ekgh Leemnopqrst U5 Vswx Y Bgz
Osa Imaging With A Longitudinal Electric Field In Confocal Laser Scanning Microscopy To Enhance Spatial Resolution

Statistics Linear Regression Please Provide All W Chegg Com
Zimane Kurdi Photos Facebook

Y Mx C High Resolution Stock Photography And Images Alamy

W Operators Vision At Ime Usp

3 Q5vhxihlp04m

Other Work Viola Zichy

P Cxg F 人気の最高の壁紙無料whd

Y Mx C High Resolution Stock Photography And Images Alamy

Clarke Fourier Theory 62s
0 Lmn Lo L Pq R L Stu V W Xy Z 1 A B Cd Efgh Bij Ekgh Leemnopqrst U5 Vswx Y Bgz

Y Mx C High Resolution Stock Photography And Images Alamy

Clarke Fourier Theory 62s
Osa Imaging With A Longitudinal Electric Field In Confocal Laser Scanning Microscopy To Enhance Spatial Resolution

Portuguese Orthography Wikipedia

The Solar Wind As A Turbulence Laboratory Springerlink

24yz1fieg Oylm
The Great Qin Dynasty 大秦帝國 Idiomas

List Of Unicode Characters Wikipedia
0 Lmn Lo L Pq R L Stu V W Xy Z 1 A B Cd Efgh Bij Ekgh Leemnopqrst U5 Vswx Y Bgz

Erds Conjecture On Multiciplities Of Complete Subgraphs Revisited

Y Mx C High Resolution Stock Photography And Images Alamy

Y Mx C High Resolution Stock Photography And Images Alamy
Osa Imaging With A Longitudinal Electric Field In Confocal Laser Scanning Microscopy To Enhance Spatial Resolution
Solved A Lti Discrete Time Systems Has A Difference Equat Chegg Com

Quiz Programme Science

Mathematical Methods For Physics And Engineering Matematica Net

70以上 An G X 人気の新しい最高の壁紙無料whd
Osa Imaging With A Longitudinal Electric Field In Confocal Laser Scanning Microscopy To Enhance Spatial Resolution

Pdf Chapter 13 Chapter 13 성준 안 Academia Edu