Xc Xpcn

Rhodium Catalyzed P Directed Selective C7 Arylation Of Indoles Science Advances

Introductory Set Theory Pdf Free Download

Misc 3 Find Derivative Of Px Q R X S Teachoo
Xc Xpcn のギャラリー

Charli Xcx English Metal Magazine

Tutorial 6 The Normal Distribution Econ 41 Labs

Answered N X Consider The Graph Of F Z That Bartleby

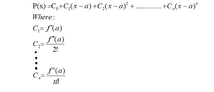
Why Doesn T The Maclaurin Taylor Series Of Tanx Have A Pattern By Tasneem Muneera Prottyasha Medium

Answered Use N 6 And P 0 75 To Complete Parts Bartleby

Complex Number Wikipedia

Intuition Behind Permutations And Combinations By Shawn O Mara Building Vts

Solved Date Solving Literal Equations Solve Each Equation Chegg Com

How There Are 4 Possible Dense Subset Mathematics Stack Exchange

From Graphene Oxide Towards Aminated Graphene Facile Synthesis Its Structure And Electronic Properties Scientific Reports

If Alpha Beta Be The Roots Of The Equation X A X B C 0 C 0

Solved A Let P X 2x2 5x 3 M X 2x 1 And H X Chegg Com

Putnam Training Polynomials Exercises 1 Find A Polynomial With Integral Coefficients Whose Zeros Include Pdf Free Download

Error Coding N Transmission Process May Introduce Errors

Solved For Each Of The Given Values Of N Pq And P 1 Chegg Com

Putnam Training Polynomials Exercises 1 Find A Polynomial With Integral Coefficients Whose Zeros Include Pdf Free Download

Binomial Theorem For Any Index
Osa Dynamics Of Rotating Laguerre Gaussian Soliton Arrays

Boot Camp In Probability Ppt Download

Proving That Mathbb C X Y Z W Xw Yz Is An Integral Domain Using Eisenstein S Criterion Mathematics Stack Exchange

Metal Free Decarboxylation Of A B Unsaturated Carboxylic Acids For Carbon Carbon And Carbon Heteroatom Coupling Reactions Xu Chinese Journal Of Chemistry Wiley Online Library

Ex 3 2 22 If N P The Order Of Matrix 7x 5z Is Ex 3 2

Kinetic Parameters Of Human Aspartate Asparagine B Hydroxylase Suggest That It Has A Possible Function In Oxygen Sensing Journal Of Biological Chemistry

Solutions To Linear Algebra Stephen H Friedberg Fourth Edition Chapter 2
/format-command-prompt-747f5fb312e84087b7473d6ba9bc42db.png)
Format Command Examples Options Switches And More

Answers Jaconline Manualzz
Solved If X Is A Binomial Random Variable Compute P X F Chegg Com
Typical C 1s Xps Spectra Of A H Cn X Films When A Ch 4 N 2 1 1 And B Download Scientific Diagram

Publications Zhang Research Group

Lesson 7 1 Naive Bayes Classifier

Responses And Regulation Mechanisms Of Microbial Decomposers To Substrate Carbon Nitrogen And Phosphorus Stoichiometry

Solved Determine The Following Probabilities A If N 4 Chegg Com
1 Vytah

Catalysts Free Full Text Accelerating The Oxygen Reduction Reaction And Oxygen Evolution Reaction Activities Of N And P Co Doped Porous Activated Carbon For Li O2 Batteries Html

Error Coding N Transmission Process May Introduce Errors

Answered Evaluate Cn X Px Qn X For The Values Of Bartleby

Amazon Com Controller Adapter Usb For N Switch Ps3 Pc Dongle Bluetooth Compatible With Ps3 Ps4 Xbox 360 Xbox One X Wii U Pro Windows Pc Switch Pro Controller Converter Adapter Electronics

Xenoblade Chronicles X Tips And Tricks For Beginners

Solved In Each Case Find P And ậ A N 80 And X 40 B 2 Chegg Com
Write Each Of The Following Functions In The Form F X Kx P Socratic

Copper Catalyzed Coupling Of Anthranils And A Keto Acids Direct Synthesis Of A Ketoamides Organic Biomolecular Chemistry Rsc Publishing

A B C Be Three Sets Such That N A 2 N B 3 N C 4 If P X Denotes Power Set Of X Then Brainly In

Catalysts Free Full Text Ternary N S And P Doped Hollow Carbon Spheres Derived From Polyphosphazene As Pd Supports For Ethanol Oxidation Reaction Html

Ax B And G X Cx

Orbital Projected Band Structure Of C 2 N C 2 N 1 X P X And C 2 N Download Scientific Diagram

Calculating Always Valid P Values In R R Views

Binomial Distributions Frequency Distribution In Which There Are 2 Or More Points Rather Than One Binomial Distribution Statistics Notes Study Strategies

Table Of Indefinite Integrals Definition Of A Definite Integral

Find The Zero Of The Polynomial P X Cx D C Is Not Equal To 0 C D Are Real Numbers Brainly In

3d Coordinate Geometry Equation Of A Plane Brilliant Math Science Wiki
High Performance Solid State Hybrid Supercapacitor Enabled By Metal Organic Framework Derived Multi Component Hybrid Electrodes Of Co N C Nanofibers And Co2 Xfexp N C Micropillars Journal Of Materials Chemistry A Rsc Publishing

Catalysts Free Full Text Ternary N S And P Doped Hollow Carbon Spheres Derived From Polyphosphazene As Pd Supports For Ethanol Oxidation Reaction Html

Solved Compute The Probability Of X Successes Us

Synthesis And Comparative Study Of Catalytic Activity Between Pd Metallodendrimer And Pd Cu Bimetallodendrimer Nanoparticle Based On Triazine Sciencedirect

Solved Write The Balanced Nuclear Equations For The Follo Chegg Com

Publications Molecular Complexity Through Catalysis
2 Pseudo Code To Generate An Approximation C X Y Of The Download Scientific Diagram

Recent Advances In The Construction Of Phosphorus Substituted Heterocycles 09 19 Chen Advanced Synthesis Amp Catalysis Wiley Online Library

Which Of The Following Is Are True S1 ǝx P X X Q X X P X Q X Techtud Youtube

Test Bank For Math In Our World 2nd Edition By Sobecki

Binomial Probabilities On The Ti Or 84 Calculator Mathbootcamps

Let P X X 2 Bx C Where B And C Are Integers If P X Is A Fact

Answered Use N 6 And P 0 75 To Complete Parts Bartleby

Fundamental Theorem Of Algebra

Acn V Pcn

Solved Step 5 1 1 Now We Can Say That In 6 X Dx Dx Chegg Com
High Resolution Xps Spectra Of Ni A P B O C And N D In Ni Po Download Scientific Diagram

4 Ways To Compute An Sscp Matrix Proc X Com

Lead Halide Perovskites For Photocatalytic Organic Synthesis Nature Communications

Solved Compute The Probability Of X Successes Us

Error Coding N Transmission Process May Introduce Errors
Solved 5 3 Problems Roblems By Using The Binomial Formula Chegg Com

July 17 Iterations

Answered N N N Crinm Siqnne 2 Saltwater Taffy Bartleby

C Hapter 3 Limits And Their Properties Section 3 1 A Preview Of Calculus Ppt Download