Xbvabnx Ju

Let A B C Be The Sides Of A Triangle No Two Of Them Are Equal And
The Middle Term In The Expansion Of 1 X 2n Is

Urxvt Ranger Crashes When Opening Image Preview Issue 1053 Ranger Ranger Github
Xbvabnx Ju のギャラリー

If U 1 2 3 4 5 6 7 8 9 A 2 4 6 8 Andb 2 3

K A Hawlader Asst Professor Cambrian College K

Example 12 Simplify Tan 1 A Cos X B Sin X B Cos X

Heavy Hitters And The Structure Of Local Privacy

Pdf في أروقة التاريخ الجزء الأول محمد إلهامي Academia Edu

Ex 1 6 1 If X And Y Are Two Sets N X 17 N Y 23

Cophonologies By Ph R Ase Springerlink

Ux Ui Sailing App On Behance

If A X X Is A Natural Number B X X Is An Even Natural

Code 128 Wikipedia

K A Hawlader Asst Professor Cambrian College K

Example 3 Let A 1 2 3 B 3 4 And C 4 5 6

Help Ipa Wikipedia

Large Scale Cultivation Of The Bumblebee Gut Microbiota Reveals An Underestimated Bacterial Species Diversity Capable Of Pathogen Inhibition Praet 18 Environmental Microbiology Wiley Online Library

Evaluate The Product Ab Where A 1 1 0 2 3 4 0 1 2 And B

Iso Iec 59 1 Wikipedia

If The Coefficient Of X 7 In Ax 2 1 Bx 11 Is Equal To The

Let U 1 2 3 4 5 6 7 8 9 A 1 2 4 6 8 And B 2 3 5 7 Verify That I Au Youtube

If A 1 A 0 1 Then A N Where N In N Equals 1 N A

If A 1 A 0 1 Then A N Where N In N Equals 1 N A

If A Alpha0 1 1 And B 1 0 5 1 Find The Values Of Alpha For W
Solucionario Fisica Universitaria Volumen 2 Sears 11 Ed Pdf Plane Geometry Electric Field
Exploiting The T X Function In Fast Hysteresis Models For Transient Circuit Simulations Emerald Insight

The Potential Energy Of A Particle Of Mass 1 Kg Free To Move Along

Gkvkkw Y Evsjv Cg C Mvwn Z Cv

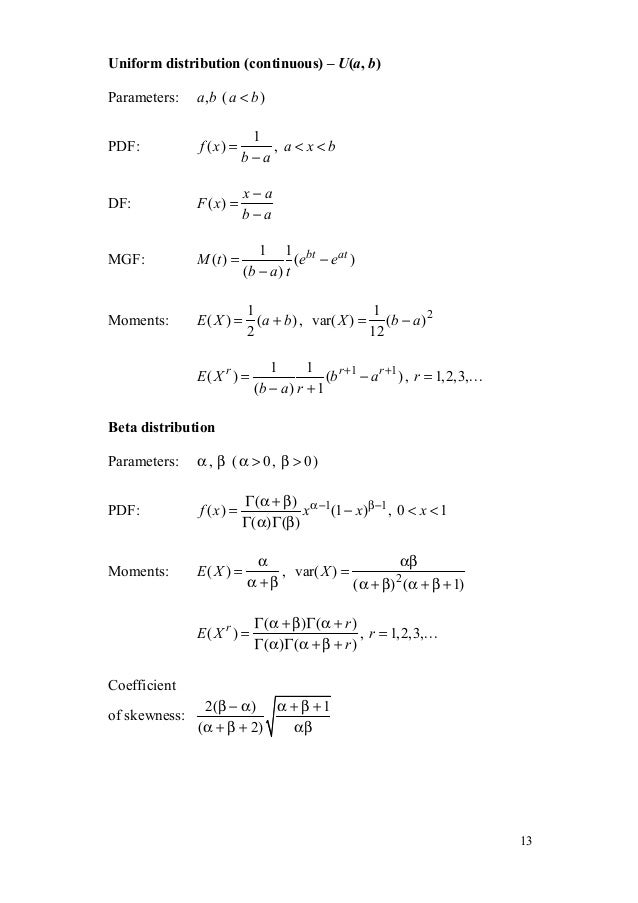
Docslide Us 02 Formulae And Tables

Example 3 Let A 1 2 3 B 3 4 And C 4 5 6

Gkvkkw Y Evsjv Cg C Mvwn Z Cv

Docslide Us 02 Formulae And Tables

List Of Unicode Characters Wikipedia

If A 1 3 5 7 9 11 13 15 17 B 2 4 18 And N The Set Of

Misc 15 If X A 2 Y B 2 C2 Prove 1 Dy Dx 2 3 2

Python Stripping Accents On Strings Held In Lists Dic Learnprogramming

If A X X Is A Natural Number B X X Is An Even Natural

Uwf1iv4vze Im

Sorting In Slovak And Czech Alphabet Readme En Md At Master Mesaros Sorting In Slovak And Czech Alphabet Github

If The Coefficient Of X 7 In Ax 2 1 Bx 11 Is Equal To The

6 Find The Dimensions Of A B In The Equation F A X Bt2 Where F Is Force X Is Distance And T Brainly In

Ex 4 3 2 Solve A 2 X 4 12 B 3 N 5 21 C 3 N 5

If The Coefficient Of X 7 In Ax 2 1 Bx 11 Is Equal To The

A Beturend Sutori

K A Hawlader Asst Professor Cambrian College K

Calculating Dot And Cross Products With Unit Vector Notation Video Khan Academy

Ex 3 1 9 Which Of X Y Make The Pair Of Matrices Equal

If A X X Is A Natural Number B X X Is An Even Natural

Altgr Key Wikiwand

Policy Driven And Agent Based Geospatial Information Services Composition Topic Of Research Paper In Civil Engineering Download Scholarly Article Pdf And Read For Free On Cyberleninka Open Science Hub

X Wiktionary

Example 12 Simplify Tan 1 A Cos X B Sin X B Cos X

Syllable Creator App In Zim

What Are The Navier Stokes Equations Simscale Numerics

Misc 15 If X A 2 Y B 2 C2 Prove 1 Dy Dx 2 3 2

Christy Janeczko Photography Eau Claire Wedding Photographers

Latin Script Wikipedia
Basel Problem Wikipedia

Avey Rvdi Ievqyjvni Avwg W Ksewi Kv Ejw

Calameo Wedase Mariam In Geez Amharic English ውዳሴ ማርያም

Concentration Diversified Magnetic And Electronic Properties Of Halogen Adsorbed Silicene Scientific Reports

Mechanics Of Materials 8th Edition Gere Solutions Manual

Example 25 Let F X 4x 2 12x 15 Show That F Is Invertible

Code 128 Wikipedia

Pdf Costs Efficiency Evaluation Using Life Cycle Costing As Strategic Method

Gkvkkw Y Evsjv Cg C Mvwn Z Cv

If X 1 X 3 Then X 6 1 X 6 A 927 B 414 C 364 D 322 Youtube

Example 3 Let A 1 2 3 B 3 4 And C 4 5 6

Avey Rvdi Ievqyjvni Avwg W Ksewi Kv Ejw

Let A 3x 2 1 6x B A B C And C X 2 2 5x 2 2x 5x

Variance Of A Binomial Variable Video Khan Academy
Chloe Kellys Avon Home Facebook

Let U 1 2 3 4 5 6 7 8 9 A 1 2 3 4 B 2 4 6 8 And C 3 4 Youtube

Molecules Free Full Text Hydroxytyrosol Tyrosol And Derivatives And Their Potential Effects On Human Health Html

Solved Consider A Set Of Wave Functions W X Which Of T Chegg Com

V Wiktionary